Чтение онлайн

на главную - закладки

Жанры

Анализ финансово-хозяйственной деятельности
Шрифт:

Для детализации обобщающего факторного показателя на его составляющие, которые представляют интерес для аналитических расчетов, используют прием удлинения факторной системы.

Если исходная факторная модель:

а:

то модель примет вид:

Для выделения

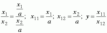
некоторого числа новых факторов и построения необходимых для расчетов факторных показателей применяют прием расширения факторных моделей. При этом числитель и знаменатель умножаются на одно и тоже число:

Для построения новых факторных показателей применяют прием сокращения факторных моделей. При использовании данного приема числитель и знаменатель делят на одно и то же число.

Детализация факторного анализа во многом определяется числом факторов, влияние которых можно количественные оценить, поэтому большое значение в анализе имеют многофакторные мультипликативные модели. В основе их построения лежат следующие принципы:

• место каждого фактора в модели должно соответствовать его роли в формировании результативного показателя;

• модель должна строиться из двухфакторной полной модели путем последовательного расчленения факторов, как правило качественных, на составляющие;

• при написании формулы многофакторной модели факторы должны располагаться слева направо в порядке их замены.

Построение факторной модели – первый этап детерминированного анализа. Далее определяют способ оценки влияния факторов.

Способ цепных подстановок заключается в определении ряда промежуточных значений обобщающего показателя путем последовательной замены базисных значений факторов на отчетные. Данный способ основан на элиминировании. Элиминировать – значит устранить, исключить воздействие всех факторов на величину результативного показателя, кроме одного. При этом исходя из того, что все факторы изменяются независимо друг от друга, т. е. сначала изменяется один фактор, а все остальные остаются без изменения. потом изменяются два при неизменности остальных и т. д.

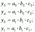
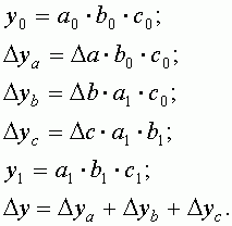
В общем виде применение способа цепных постановок можно описать следующим образом:

где a0, b0, c0 – базисные значения факторов, оказывающих влияние на обобщающий показатель у;

a1, b1, c1 – фактические значения факторов;

ya, yb, – промежуточные изменения результирующего показателя, связанного с изменением факторов а, b, соответственно.

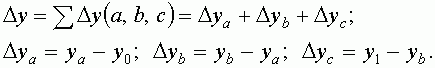
Общее изменение у = у1 – у0 складывается из суммы изменений результирующего показателя за счет изменения каждого фактора при фиксированных значениях остальных факторов:

Рассмотрим пример:

Таблица 2. Исходные данные для факторного анализа

Анализ влияния на

объем товарной продукции количества работников и их выработки проведем описанным выше способом на основе данных табл.2. Зависимость объема товарной продукции от данных факторов можно описать с помощью мультипликативной модели:

Тогда влияние изменения величины количества работников на обобщающий показатель можно рассчитать по формуле:

Далее определим влияние изменения выработки работников на обобщающий показатель:

Таким образом, на изменение объема товарной продукции положительное влияние оказало изменение на 5 человек численности работников, что вызвало увеличение объема продукции на 730 тыс. руб. и отрицательное влияние оказало снижение выработки на 10 тыс. руб., что вызвало снижение объема на 250 тыс. руб. Суммарное влияние двух факторов привело к увеличению объема продукции на 480 тыс. руб.

Преимущества данного способа: универсальность применения, простота расчетов.

Недостаток метода состоит в том, что, в зависимости от выбранного порядка замены факторов, результаты факторного разложения имеют разные значения. Это связано с тем, что в результате применения этого метода образуется некий неразложимый остаток, который прибавляется к величине влияния последнего фактора. На практике точностью оценки факторов пренебрегают, выдвигая на первый план относительную значимость влияния того или иного фактора. Однако существуют определенные правила, определяющие последовательность подстановки:

• при наличии в факторной модели количественных и качественных показателей в первую очередь рассматривается изменение количественных факторов;

• если модель представлена несколькими количественными и качественными показателями, последовательность подстановки определяется путем логического анализа.

Под количественным факторами при анализе понимают те, которые выражают количественную определенность явлений и могут быть получены путем непосредственного учета (количество рабочих, станков, сырья и т. д.).

Качественные факторы определяют внутренние качества, признаки и особенности изучаемых явлений (производительность труда, качество продукции, средняя продолжительность рабочего дня и т. д.).

Способ абсолютных разниц является модификацией способа цепной подстановки. Изменение результативного показателя за счет каждого фактора способом разниц определяется как произведение отклонения изучаемого фактора на базисное или отчетное значение другого фактора в зависимости от выбранной последовательности подстановки:

Способ относительных разниц применяется для измерения влияния факторов на прирост результативного показателя в мультипликативных и смешанных моделях вида у = (а – в). с. Он используется в случаях, когда исходные данные содержат определенные ранее относительные отклонения факторных показателей в процентах.

Для мультипликативных моделей типа у = а. в. с методика анализа следующая:

• находят относительное отклонение каждого факторного показателя:

• определяют отклонение результативного показателя у за счет каждого фактора:

Поделиться:
Популярные книги

Барон Дубов 4

Карелин Сергей Витальевич
4. Его Дубейшество
Фантастика:
юмористическое фэнтези
аниме
сказочная фантастика
фэнтези
5.00
рейтинг книги
Барон Дубов 4

Надуй щеки! Том 2

Вишневский Сергей Викторович
2. Чеболь за партой
Фантастика:
попаданцы
дорама
фантастика: прочее
5.00
рейтинг книги
Надуй щеки! Том 2

Любимая учительница

Зайцева Мария
1. совершенная любовь
Любовные романы:
современные любовные романы
эро литература
8.73
рейтинг книги
Любимая учительница

Мастер 6

Чащин Валерий
6. Мастер
Фантастика:
боевая фантастика
попаданцы
аниме
5.00
рейтинг книги
Мастер 6

Искатель 2

Шиленко Сергей
2. Валинор
Фантастика:
фэнтези
попаданцы
рпг
5.00
рейтинг книги
Искатель 2

Наследник в Зеркальной Маске

Тарс Элиан
8. Десять Принцев Российской Империи
Фантастика:
городское фэнтези
попаданцы
аниме
5.00
рейтинг книги
Наследник в Зеркальной Маске

Московское золото или нежная попа комсомолки. Часть Вторая

Хренов Алексей
2. Летчик Леха
Фантастика:
попаданцы
5.00
рейтинг книги
Московское золото или нежная попа комсомолки. Часть Вторая

Протокол "Наследник"

Лисина Александра
1. Гибрид
Фантастика:
фэнтези
попаданцы
аниме
5.00
рейтинг книги
Протокол Наследник

Последний Паладин. Том 4

Саваровский Роман
4. Путь Паладина
Фантастика:
фэнтези
попаданцы
аниме
5.00
рейтинг книги
Последний Паладин. Том 4

Мичман Империи. Часть первая

Четвертнов Александр
4. Внутренняя сила
Фантастика:
боевая фантастика
космическая фантастика
5.00
рейтинг книги
Мичман Империи. Часть первая

Попаданка

Ахминеева Нина
Любовные романы:
любовно-фантастические романы
5.00
рейтинг книги
Попаданка

Я не князь. Книга XIII

Дрейк Сириус
13. Дорогой барон!
Фантастика:
юмористическое фэнтези
попаданцы
аниме
5.00
рейтинг книги
Я не князь. Книга XIII

Вперед в прошлое 4

Ратманов Денис
4. Вперед в прошлое
Фантастика:
попаданцы
5.00
рейтинг книги
Вперед в прошлое 4

Специалист по нечисти

Билик Дмитрий Александрович
2. Бедовый
Фантастика:
юмористическая фантастика
городское фэнтези
мистика
5.00
рейтинг книги
Специалист по нечисти