Чтение онлайн

на главную - закладки

Жанры

Авиация и космонавтика 2000 05-06
Шрифт:

Ла-7 находились в мае 1945 г., прежде всего, на вооружении гвардейских полков: 2-го, 9-го, 30-го, 31-го, 40-го, 63-ю, 111-го, 171-й, 176-го, 177-го, 179- го.

Истребители Лавочкина в ВВС других стран

ЛаГГи, как ни странно, использовались только нашими противниками в Великой Отечественной войне – немцами и финнами. Конечно же, это были трофеи. Немцы советскую авиатехнику использовали в боях чрезвычайно редко – наиболее известен случай с "кубанскими" Яками, точно также – для ведения свободной охоты и ведения разведки более чем эпизодически использовались ЛаГГи. Захваченные немцами ЛаГГ-3, в конечном итоге, оказались в Финляндии. ВВС этого государства собирали "с бору по сосенки" парк боевых самолетов был очень пестрым. Причем трофейная техника, даже если количество машин исчислялось единицами, использовалась активно. ЛаГГи

поступили на вооружение LeLv-32. Еще как минимум один ЛаГГ-3 совершил вынужденную посадку в финском тылу (машина принадлежала 524-му ИАП ВВС Красной Армии), истребители отремонтировали, перекрасили и предали в LeLv-32. На ЛаГГе с бортовым номером LG-1 летчики Е.Кохинен 15 февраля 1944 г. сбил краснозвездный ЛаГГ-3.

Ла-5ФН 1-го чехословацкого авиаполка

Ла-9 румынских ВВС в бухарестском музее

В 1942 г. один ЛаГГ-3 перелетел в Маньчжурию, японцы провели оценочные испытания этого самолета.

Ла-5 и Ла-7 использовались в ВВС Чехословакии. Весной 1944 г. была сформирована авиационная эскадрилья, вскоре развернутая в 1-й истребительный авиационный полк ВВС Чехословакии. Полк получил на вооружение истребители Ла-5ФН, переучивание чешские и словацкие пилоты проходили в Кубинке. Подготовка к боям продолжилась на аэродроме Проскуров после того как в июле 1944 г. полк вошел в состав 2-й воздушной армии. Боевое крещение 16 наиболее подготовленных летчиков во главе с командиром полка майором Франтишеком Файтлом приняли в небе своей Родины. 17 сентября "Лавочкины" взлетели с аэродрома Перемышль и взяли курс на небольшой, затерянный в горах Словакии, аэродром Три Дуба. Эта площадка осенью 1944 г. стала известна многим летчикам союзников. Через Три Дуба шло снабжение по воздуху Словацкого национального восстания.

Боевую работу летчиков 1-го чехословацкого авиаполка обеспечивал переброшенный в Словакию на транспортных Ли-2 436-й батальон аэродромного обслуживания под командованием инженер-подполковника Рубцова. Более месяца летчики 1-го полка работали с аэродромов Три Дуба и Зольна (район Зволена), совершив около 500 боевых вылетов. В небе Словакии отличились Йозеф Стеглик, Леопольд Шром, Франтишек Хабера, Франтишек Штычка, Людвиг Коза. Чехословацкие летчики уничтожили в воздушных боях и на земле более 20 фашистских самолетов. За бои в Словакии 1-му полку было присвоено почетное наименование "Зволенский". Словацкое восстание потерпело поражение, и в октябре 1-й полк вынужден был перебазироваться обратно в Перемышль.

Между тем, чехословацкие ВВС, действовавшие в составе ВВС РККА, наращивали свою численность: в декабре удалось сформировать 1-ю чехословацкую смешанную авиационную дивизию в составе 1-го и 2-го истребительных авиаполков на Ла-5ФН и 3-го штурмового авиаполка на Ил-2. Дивизия была интернациональной – в ее составе служило около 600 чехов и словаков, около 300 русских, 100 украинцев, представители других народов. Командовал дивизией подполковник Людвиг Будин, комиссар – капитан Людвиг Когут, начальник штаба – штабс-капитан Я.Клан. истребительными полками командовали Ф.Файтл и И.Галузицкий. Советское командование оказывало максимально возможную помощь товарищам по оружию, так 41-й отдельный учебно-тренировочный авиаполк 2-й воздушной армии полностью переключился на переподготовку братьев-славян. Боевая подготовка дивизии завершилась в феврале 1945 г. Летчики дивизии в составе 8-й воздушной армии приняли участие в Моравско-Остравской наступательной операции 4-го украинского фронта. Чаще всего истребители 1-го и 2-го полков прикрывали Илы 3-го полка. При вылете на сопровождение Ил-2, штурмовавших 16 апреля 1945 г. переправу через Одру в районе г. Ольза, истребители Ла-5, ведомые надпоручником Франтишеком Ха- берой, сбили два Bf 109. Закончила войну 1-я чехословацкая смешанная авиадивизия в составе 2-й воздушной армии в Праге.

После войны истребители Ла-5 продолжали оставаться на вооружении ВВС Чехословакии. Из СССР были также поставлены более современные Ла-7. Первые Ла-7 летчики 1-й авиадивизии получили еще до окончания войны – в апреле 1945 г. Полное перевооружение на Ла-7 началось осенью 1946 г., к этому времени количество исправных Ла-5ФН резко уменьшилось, так в 1-м полку числилось пригодными к полетам 11 Ла- 5ФН, во 2-м – 13 Ла-5ФН и три Ла-5 УТИ. Ла-7 под обозначением S-97 оставались на вооружении до 50-х годов;

Ла-5ФН и Ла-5УТИ имели в ВВС Чехословакии обозначение S-95

и CS-95. Чехам принадлежит рекорд по длительности эксплуатации Ла-5: двухместный "УТИ" с бортовым номером В-4998 списали только в 1950 г., по-видимому, это был последний в мире летающий Ла-5.

ЛаГГи и Ла на фоне соперников

Сравнения истребителей военного времени современными авторами во многом умозрительны. Даже самые опытные и именитые оперируют сухими цифрами технических характеристик, а вот "почувствовать" машины, узнать, как метко выразился (правда, по поводу совсем других самолетов) летчик-испытатель В.Е.Меницкий "их вкусовые ощущения", уже не дано никому. Тех же, кому эти ощущения знакомы остается все меньше… Спор о том: какой самолет лучше Як или Ла ведется давно, и конца ему не видно. Тем важнее свидетельство П.А.Пологова, сбившего за войну в сумме 36 самолетов противника и летавшего на всех типах истребителей ВВС РККА, от И-16 до Як-9. Пологов служил в вооруженном Яками 163-м ИАП, техникам полка удалось восстановить один Ла-5, на котором стал летать Павел Андреевич. Его фразу приводит в своей замечательной книге "Советские асы" Николай Бодрихин:"Прикрывал на Ла-5 свои Яки."

ЛаГГ-3 выделялся на фоне Як-1 и МиГ-3 мощным вооружением – пушка, крупнокалиберный пулемет и два ШКАСа. ЛаГГ по мощности вооружения был сравним с Bf 109 (две крыльевые 20-мм пушки и два синхронных пулемета калибра 7,9 мм) и превосходил Bf 109F (одна пушка и два пулемета). Зато по летным характеристикам уступал всем своим соперникам, мало того, что самолет имел плохую скороподъемность и большое время выполнения виража (24-26 с), варианты ЛаГГов без предкрылков имели тенденцию к сваливанию в штопор при выполнении виража. Особенно неблагоприятными характеристики истребителя были у земли – на основных рабочих высотах советско-германского фронта. В конечном итоге, за счет установки более мощных М-105П и М-105ПФ, аэродинамических ухищрений, характеристики ЛаГГов последних серий удалось поднять до уровня Яков, однако время было упущено, да и Ла-5 превосходили ЛаГГ по всем статьям.

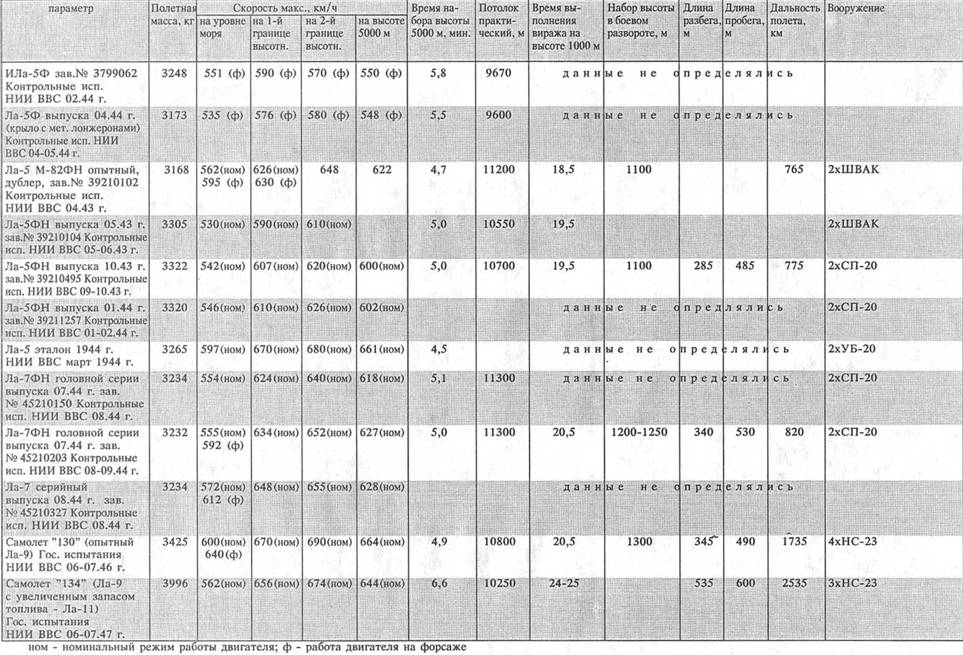
ЛЕТНЫЕ ДАННЫЕ ИСТРЕБИТЕЛЕЙ ЛаГГ-3, Ла-5/7/9/11 по результатам испытаний в ГК НИИ ВВС

Ла-9 северокорейских ВВС

В кабине Ла-9 И.Н.Кожедуб. Именно возглавляемый им авиакорпус последним использовал истребители Лавочкина в боевых действиях на Корейском полуострове

Ла-5, особенно Ла-5ФН, и Ла-7 стали машинами качественно иного уровня. На рабочих высотах они могли на равных драться с "мессерами" и "фоккерами". С появлением этих истребителей исчезла необходимость эшелонировать боевые порядки по высоте, "Лавочкины" превосходили по скороподъемности немецкие самолеты и легко могли догнать их на горке. По сравнению с самым маневренным вариантом "Мессершмитта" – Bf 109G – истребитель Ла- 5Ф имел превосходства в вертикальном и горизонтальном маневре до высоты 3500 м, выше преимущество переходило к "мессеру", а вот FW 190 по маневренности "Лавочкин" превосходил во всем диапазоне высот. Ла-5ФН превосходил "Густава" уже до высот порядка 5000 м.

На Ла-7 летчики легко догоняли FW 190 как в горизонтальном полете, так и на вертикали, а превосходство в маневренности позволяло зайти "фок- керу" в хвост на третьем-четвертом вираже. FW 190 превосходил Ла-7 только в скорости пикирования, за счет чего немцы могли вовремя "унести ноги" с места схватки. Более серьезным противником являлся FW 190D, имевший за счет впрыска водно-метаноловой смеси в цилиндры двигателя большую максимальную скорость горизонтального полета. Впрочем, преимущество немецких истребителей в скорости сохранялось практически всю войну. Проблема заключалась в неспособности советской промышленности "выдать на гора" мощные двигатели. Одной из причин являлась низкая культура производства. Даже не уступавшие зарубежным аналогам АШ-82 сохраняли свои характеристики на малых и средних высотах – выше из-за увеличения зазоров падало давление в цилиндрах, соответственно "проваливалась" мощность мотора.

Поделиться:
Популярные книги

Господин следователь

Шалашов Евгений Васильевич
1. Господин следователь
Детективы:
исторические детективы
5.00
рейтинг книги
Господин следователь

Имя нам Легион. Том 10

Дорничев Дмитрий
10. Меж двух миров
Фантастика:
боевая фантастика
рпг
аниме
5.00
рейтинг книги
Имя нам Легион. Том 10

Тринадцатый XII

NikL
12. Видящий смерть
Фантастика:
попаданцы
аниме
фэнтези
фантастика: прочее
7.00
рейтинг книги
Тринадцатый XII

Кодекс Охотника XXVIII

Винокуров Юрий
28. Кодекс Охотника
Фантастика:
фэнтези
боевая фантастика
попаданцы
5.00
рейтинг книги
Кодекс Охотника XXVIII

Тринадцатый III

NikL
3. Видящий смерть
Фантастика:
фэнтези
попаданцы
аниме
5.00
рейтинг книги
Тринадцатый III

Мастер...

Чащин Валерий
1. Мастер
Фантастика:
героическая фантастика
попаданцы
аниме
6.50
рейтинг книги
Мастер...

Идеальный мир для Лекаря 21

Сапфир Олег
21. Лекарь
Фантастика:
фэнтези
юмористическое фэнтези
аниме
5.00
рейтинг книги
Идеальный мир для Лекаря 21

Изгой Проклятого Клана

Пламенев Владимир
1. Изгой
Фантастика:
попаданцы
аниме
фэнтези
5.00
рейтинг книги
Изгой Проклятого Клана

Ваше Сиятельство 9

Моури Эрли
9. Ваше Сиятельство
Фантастика:
боевая фантастика
попаданцы
стимпанк
аниме
фэнтези
5.00
рейтинг книги
Ваше Сиятельство 9

Отмороженный 12.0

Гарцевич Евгений Александрович
12. Отмороженный
Фантастика:
боевая фантастика
попаданцы
рпг
фантастика: прочее
5.00
рейтинг книги
Отмороженный 12.0

На границе империй. Том 10. Часть 3

INDIGO
Вселенная EVE Online
Фантастика:
боевая фантастика
космическая фантастика
попаданцы
5.00
рейтинг книги
На границе империй. Том 10. Часть 3

Наследник и новый Новосиб

Тарс Элиан
7. Десять Принцев Российской Империи
Фантастика:
городское фэнтези
попаданцы
аниме
5.00
рейтинг книги
Наследник и новый Новосиб

Страж Кодекса. Книга VII

Романов Илья Николаевич
7. КО: Страж Кодекса
Фантастика:
фэнтези
попаданцы
аниме
5.00
рейтинг книги
Страж Кодекса. Книга VII

Знойные ветры юга. Часть 1

Чайка Дмитрий
8. Третий Рим
Фантастика:
попаданцы
альтернативная история
5.00
рейтинг книги
Знойные ветры юга. Часть 1