Чтение онлайн

на главную - закладки

Жанры

Большая Советская Энциклопедия (СК)
Шрифт:

С 1932 преподавал в Московском инженерно-строительном институте, в Военно-инженерной академии им. В. В. Куйбышева и в других вузах. Основные труды связаны с исследованием свойств и совершенствованием технологии бетона и минеральных вяжущих. С. разработаны теоретические основы прочности бетона, новые виды бетонов, методика расчёта их состава. Государственная премия СССР (1950). Награжден 4 орденами, а также медалями.

Соч.: Строительные материалы, 6 изд., М., 1953 (совм. с др.); Крупнопористый бетон и его применение в строительстве, М., 1955; Испытание прочности бетона в образцах, изделиях и сооружениях, М., 1964 (совм. с М. Ю. Лещинским).

Скрантон

Скра'нтон (Scranton), город в США, в штате Пенсильвания. 104 тыс. жителей (1970).

Узел железных и шоссейных дорог. Центр района угледобычи. Электронная, текстильная, швейная, машиностроительная и другая промышленность. Университет. Основан в 1788.

Скрап

Скрап (англ. scrap), вторичный металл, металлическое сырьё в виде лома и отходов производства, предназначаемое для переплавки с целью получения годного металла.

Скрап-процесс

Скрап-проце'сс, разновидность мартеновского процесса; см. в ст. Мартеновское производство .

Скрап-рудный процесс

Скрап-ру'дный проце'сс, разновидность мартеновского процесса; см. в ст. Мартеновское производство .

Скрауп Зденко Ханс

Скра'уп (Skraup) Зденко Ханс (3.3. 1850, Прага, — 10.9.1910, Вена), австрийский химик. Профессор Высшей технической школы в Граце (1886—1906) и университета в Вене (с 1906). Основные трулы посвящены выяснению строения и синтезу алкалоидов группы хинина. В 1880 получил хинолин нагреванием смеси анилина, глицерина и серной кислоты в присутствии нитробензола (см. Скраупа реакция ). Известны его исследования в области изомерных пиридинкарбоновых кислот. С. изучал также углеводы и белки; открыл целлобиозу (1901).

Лит.: Schr"otter Н., Dem Andenken an Zdenko Hans Skraup, «Berichte der Deutschen chemischen Gesellschaft», 1910, Jg. 43, Bd 3, S. 3683.

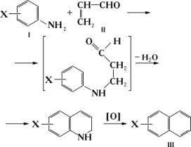
Скраупа реакция

Скра'упа реа'кция, синтез хинолина (III), его аналогов и производных взаимодействием анилина (1), соответственно его аналогов и производных, с глицерином в присутствии дегидратирующего агента (обычно серной или фосфорной кислоты) и окислителя (чаще всего нитробензола или его производного, соответствующего взятому производному анилина). Под действием дегидратирующего агента глицерин превращается в акролеин (II), который и участвует в основной реакции:

(X — органический радикал, галоген, —NO2 или другая группа).

Реакция открыта З. Х. Скраупом в 1880; применяется в лабораторной практике и в промышленности для синтеза фармацевтических препаратов и фотосенсибилизаторов.

Скребицкий Александр Ильич

Скреби'цкий Александр Ильич [2(14).5.1827 — сентябрь 1915], русский историк, врач-окулист. Окончил юридический факультет Петербургского университета (1849), доктор медицины Деритского университета (1859). Изучал историю крестьянства, материалы редакционных комиссий по подготовке крестьянской реформы 1861. Его капитальный труд «Крестьянское дело в царствование императора Александра II» (т. 1—4, 1862—68), являющийся подробным историческим комментарием к Положениям 19 февраля 1861, удостоен Уваровской премии Петербургской АН (1871). Изучал глазные болезни и причины их распространённости в России.

Лит.: Маркс К., Заметки о реформе 1861 и пореформенном развитии России, Маркс К. и Энгельс Ф., Соч., 2 изд., т. 19; его же, Выписки из работы Скребицкого «Крестьянское дело в царствование императора Александра II». в кн.: Архив Маркса и Энгельса, т. 12, М., 1952.

Скребковый

конвейер

Скребко'вый конве'йер, см. в ст. Конвейер .

Скребло

Скребло', каменное орудие, распространённое в палеолите ; особенно характерно для мустьерской культуры , но встречается также в более ранние и более поздние эпохи палеолита. Представляет собой отщеп камня овальных, близких к прямоугольным или неправильных очертаний, у которого тщательной оббивкой или нажимами получено слегка выпуклое или прямое рабочее лезвие по одному или обоим длинным краям. Служило для скобления и резания шкур животных и дерева. Некоторые С., возможно, имели деревянные рукоятки.

Скребмашина

Скребмаши'на, предназначается для удаления щетины со свиных туш. В зависимости от расположения обрабатываемой туши С. подразделяют на горизонтально-поперечные (периодического действия), горизонтально-продольные и вертикальные (непрерывного действия). В СССР применяют горизонтально-поперечные С., представляющие собой каркас с расположенными внутри тремя горизонтальными барабанами со стальными скребками, вращающимися в одном направлении с различной скоростью. При работе С. щетина снимается скребками и удаляется горячей водой; обработанная туша выгружается на приёмный стол. Производительность такой С. 100 туш/ч. В горизонтально-продольных С. обрабатываемые туши перемещаются вдоль очистного барабана вращающимися шнековыми валами, расположенными по длине машины. В вертикальных С. туши, подвешенные за задние ноги, перемещаются движущимся конвейером и одновременно очищаются скребками от щетины.

Скребни

Скре'бни, колючеголовые (Acanthocephala), класс паразитических беспозвоночных типа первичнополостных червей ; обитают в кишечнике позвоночных. Тело вытянутое, длиной 1—65 см; хоботок способен вворачиваться в особое влагалище, несёт крючки и служит для прикрепления к стенке кишки хозяина. Кишки нет, питание осмотическое — всей поверхностью тела. Органы выделения — протонефридии . Нервная система состоит из мозгового узелка и отходящих от него нервов. С. раздельнополы. Парные яичники распадаются на множество «яйцевых комков», плавающих в обширной первичной полости тела и состоящих из развивающихся яиц. Половой проток самки начинается маточной воронкой, открытой в полость тела и вылавливающей зрелые яйца, которые затем выводятся наружу. Развитие с метаморфозом и сменой хозяев. Промежуточные хозяева — ракообразные и насекомые. При сильном заражении С. могут вызывать гибель рыб, птиц и млекопитающих. Известны случаи заражения человека.

Лит.: Жизнь животных, т. 1, М., 1968; Догель В. А., Зоология беспозвоночных, 6 изд., М., 1975.

А. В. Иванов.

Скребень Acanthocephalus lucii из окуня: 1 — хоботок; 2 — влагалище хоботка; 3 — семенники.

Скребок

Скребо'к, каменное орудие, распространённое в позднем палеолите , мезолите и неолите ; изредка встречается в древнем палеолите и в эпоху бронзы. Изготовлялось из удлинённой пластинки камня, части такой пластинки или из небольшого отщепа камня. Наиболее характерны т. н. концевые С., имеющие на узком конце выпуклое или почти прямое рабочее лезвие. Встречаются также овальные и округлые С., у которых рабочее лезвие целиком или почти целиком опоясывает отщеп камня. С. служили для скобления шкур, дерева и кости. Часто употреблялись с рукоятками из кости, рога, дерева.

Поделиться:
Популярные книги

Сын Тишайшего 5

Яманов Александр
5. Царь Федя
Фантастика:
попаданцы
альтернативная история
фэнтези
7.50
рейтинг книги
Сын Тишайшего 5

Один на миллион. Трилогия

Земляной Андрей Борисович
Один на миллион
Фантастика:
боевая фантастика
8.95
рейтинг книги
Один на миллион. Трилогия

Черный Маг Императора 4

Герда Александр
4. Черный маг императора
Фантастика:
юмористическое фэнтези
попаданцы
аниме
5.00
рейтинг книги
Черный Маг Императора 4

Идеальный мир для Лекаря 14

Сапфир Олег
14. Лекарь
Фантастика:
юмористическое фэнтези
попаданцы
аниме
5.00
рейтинг книги
Идеальный мир для Лекаря 14

Имя нам Легион. Том 14

Дорничев Дмитрий
14. Меж двух миров
Фантастика:
боевая фантастика
рпг
аниме
фантастика: прочее
5.00
рейтинг книги
Имя нам Легион. Том 14

Барон Дубов

Карелин Сергей Витальевич
1. Его Дубейшество
Фантастика:
юмористическое фэнтези
аниме
сказочная фантастика
фэнтези
5.00
рейтинг книги
Барон Дубов

Темный Лекарь 11

Токсик Саша
11. Темный Лекарь
Фантастика:
попаданцы
аниме
фэнтези
5.00
рейтинг книги
Темный Лекарь 11

Сирийский рубеж

Дорин Михаил
5. Рубеж
Фантастика:
попаданцы
альтернативная история
5.00
рейтинг книги
Сирийский рубеж

Кодекс Охотника. Книга XII

Винокуров Юрий
12. Кодекс Охотника
Фантастика:
боевая фантастика
городское фэнтези
аниме
7.50
рейтинг книги
Кодекс Охотника. Книга XII

Путь Шедара

Кораблев Родион
4. Другая сторона
Фантастика:
боевая фантастика
6.83
рейтинг книги
Путь Шедара

Кукловод

Злобин Михаил
2. О чем молчат могилы
Фантастика:
боевая фантастика
8.50
рейтинг книги
Кукловод

Проводник

Кораблев Родион
2. Другая сторона
Фантастика:
боевая фантастика
рпг
7.41
рейтинг книги
Проводник

Тот самый сантехник. Трилогия

Мазур Степан Александрович
Тот самый сантехник
Приключения:
прочие приключения
5.00
рейтинг книги
Тот самый сантехник. Трилогия

Господин следователь. Книга 4

Шалашов Евгений Васильевич
4. Господин следователь
Детективы:
исторические детективы
5.00
рейтинг книги
Господин следователь. Книга 4