Чтение онлайн

на главную - закладки

Жанры

Денежно-весовые системы домонгольской Руси и очерки истории денежной системы средневекового Новгорода
Шрифт:

Несоответствие теоретической величины гривны, выведенной выше для XI в., в применении к системе X в. обнаруживается с полной очевидностью, если обратиться к единственному письменному источнику X в., в какой-то степени дающему возможность говорить о денежно-весовой системе этого раннего времени, – договорам с греками.

Рис. 3. Весовая диаграмма слитков северного веса XIV в. По 279 экз., опубликованным Н. П. Бауером в книге «Die Silber– und Goldbarren des russischen Mittellalters»

В обоих договорах – 911 и 945 гг. – за нанесение удара «мечем, или …кацем любо съсудом» полагался штраф в 5 литр серебра: «до того деля греха заплатить серебра литр 5, по закону Русскому» [110] . «Закон Русский», под которым можно понимать только обычное русское право X в., был записан впервые в первой половине XI в. Уже в наиболее ранней его редакции «Древнейшей Правде», время возникновения которой М.

Н. Тихомиров относит к 1036 г. [111] , имеется статья, довольно близко соответствующая месту, цитированному из договоров с греками: «Аще ли кто кого ударить батогом, или жердью, или пястью, или чашею, или рогом, или тылеснею, то 12 гривен… Аще утнеть мечем, а не вьнез его, любо рукоять(ю), то 12 гривн за обиду» [112] .

110

Договоры русских с греками и предшествовавшие заключению их походы русских на Византию. Ч. I. M., 1912. Табл. 5; Ч. II. С. 12.

111

ТихомировМ. Н. Исследование о Русской Правде. М.; Л., 1941. С. 48–61.

112

Тихомиров М. Н. Пособие для изучения Русской Правды. С. 76, ст. 3, 4.

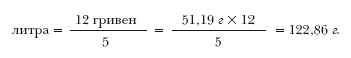
Сопоставление штрафов в византийском и русском весовом выражении дает следующее равенство: 5 литр = 12 гривнам.

Если посчитать за гривну X в. теоретическую величину гривны, выведенную выше для XI в., то результат получится следующий:

Полученная величина литры не находит никакого соответствия ни в письменных, ни в вещественных источниках и является совершенно фантастической.

Однако и подстановка в это уравнение величины хорошо известной по литературе византийской литры весом 327,456 г не давала реальных результатов. Попытки вычислить величину русской гривны X в. таким путем были предприняты в свое время П. С. Казанским [113] , П. Н. Мрочек-Дроздовским [114] , В. О. Ключевским [115] , а в советское время Н. П. Бауером [116] . Подстановка в уравнение указанной величины литры определяет искомую норму гривны в 136,44 г. Расчет фракций полученной таким образом «гривны» – куны (1/25), ногаты (1/20), резаны (1/50) – давал соответственно величины: 5,45 г, 6,82 г, 2,48 г. Куны, ногаты и резаны получались настолько тяжеловесными и несоответствующими реальным весовым данным монет, встречающихся в кладах X в., что сама возможность полного сопоставления данных Договоров и Русской Правды была взята под сомнение.

113

Казанский П. С. Указ. соч. С. 114.

114

Мрочек-Дроздовский П. Н. Указ. соч. С. 74.

115

Ключевский В. О. Курс русской истории. Ч. I. Пг., 1918. С. 267.

116

Бауер Н. П. Денежный счет Русской Правды. С. 211–212.

Наиболее сжато скептический взгляд на возможность полного соответствия был сформулирован В. И. Сергеевичем: ««По закону Русскому» относится не к определенному количеству литр, как это уже было замечено Эверсом, а к денежной плате вообще, так как по греческим законам оскорбление действием наказывалось иначе» [117] . Не менее последователен и скептицизм И. И. Кауфмана. Последний в обоснование своего мнения о том, что «попытки привести домонгольскую гривну в связь с византийской литрой» совершенно не состоятельны и далеко не заслуживают «той чести, которая им оказывается в нашей исторической литературе» [118] , обратил внимание на серьезные разночтения разбираемого места договоров в разных редакциях летописи. Сумма штрафа, показанная в договоре 945 г., не всегда выражается 5 литрами. В некоторых редакциях летописи вместо пяти стоит десять литр. И. И. Кауфман воспользовался этим разночтением только для того, чтобы взять под сомнение достоверность летописного свидетельства вообще [119] . Пути и причины возникновения разночтений не были им исследованы.

117

Сергеевич В. И. Лекции и исследования по древней истории русского права. 4-е изд. СПб., 1910. С. 654.

118

Кауфман И.И. Русский вес… С. 168–169.

119

Там же.

Необходимости подобного исследования у И. И. Кауфмана и не могло возникнуть, т. к. его вывод был принципиально предрешен сочувственным цитированием работы В. И. Сергеевича. Между тем, предположение последнего о возможности неконкретного сопоставления статей закона кажется мало вероятным. В толковании В. И. Сергеевича, «закон Русский» устанавливает

такие принципы, как кровная месть или денежный штраф. Конкретные же нормы ответственности за преступление являются для него якобы делом второстепенным. Такое толкование «закона Русского» как нормы, допускающей произвольное изменение ставок штрафа, или как права, допускающего абстрактное решение и безразличного к размеру штрафа, совершенно несовместимо с самими принципами раннефеодального права. Если это так, то дальнейшие поиски в решении нашего уравнения необходимы.

Разночтения, отмеченные И. И. Кауфманом, дают возможность направить эти поиски по другому руслу.

Тексты договоров 911 и 945 гг. приведены в девяти редакциях русской летописи: Лаврентьевской, Ипатьевской, Новгородской IV, Новгородской V, Софийской I, Воскресенской, Тверской, Львовской и Типографской. Чтение «10 литр» содержится в трех редакциях: Новгородской IV, Новгородской V и Софийской I (во всех списках последней, за исключением списка Царского), т. е. во всех новгородских редакциях «Повести временных лет» и только в них. Важной особенностью новгородского летописания является то, что оно использовало «Повесть временных лет» не во второй редакции (Сильверста), легшей в основу всех остальных русских летописей, а в третьей редакции (Мстислава), относящейся к 1118 г. [120]

120

Повесть временных лет. Ч. 2. М.; Л., 1950. Схема взаимоотношения основных летописных сводов, включивших в свой состав «Повесть временных лет» – табл. в конце книги.

Следовательно, чтение «5 литр» является первоначальным, а разночтение появилось только в начале XII в. Но оно не может быть объяснено простой ошибкой переписчика – настолько различны написания цифр Е (5) и I (10). Более вероятным кажется предположение о сознательной замене цифр редактором «Повести». Замена эта, однако, не могла не быть ошибочной, т. к. пропорция

дает еще более невероятное решение, определяя вес русской гривны X в. в 272,88 г, а вес ее фракций – в 10,90 г (куна), 4,96 г (резана) и 13,64 г (ногата)! 

Причина замены, таким образом, могла быть вызвана не действительным несоответствием первоначальных 5 литр 12 гривнам, а каким-то недоразумением в терминологии. Единственное объяснение этому недоразумению может заключаться в том, что домонгольская Русь наряду с византийской литрой знала другую, более привычную, ошибочный пересчет на которую и был сделан Мстиславом.

Если Мстислав принял первоначальные «5 литр» «Повести» за византийские, то удваивая их количество, он засвидетельствовал существование на Руси другой литры, которая была ровно вдвое меньше византийской. Но допустим, что ошибочность его поправки заключается в том, что первоначальный текст «Повести» имел в виду уже не византийские, а как раз малые литры, вдвое меньшие по весу.

Подстановка величины такой малой литры (163,728 г) в первоначальное уравнение

дает величину гривны в 68,22 г, а величину ее фракций – куны, ногаты и резаны – соответственно в 2,73 г, 3,41 г и 1,36 г.

Существуют ли какие-либо основания, кроме приведенных выше, чтобы предполагать бытование в древней Руси домонгольского времени литры, равной 1/2 византийской литры?

Слиток с таким весом был в значительной степени распространен в домонгольское время в южной Руси. Это известная шестиугольная «киевская гривна». Топографическое размещение кладов и отдельных находок этих слитков дает очень незначительную территорию: они сосредоточены на Киевщине и прилегающих к ней частях Волыни, Полтавщины, Черниговщины и Смоленщины (подробно см. рис. 48). Вопрос о происхождении веса этой гривны и об его теоретической норме в литературе чрезвычайно запутан. Для характеристики сущности разногласий в оценке природы этого слитка следует остановиться на двух работах последних лет, которые излагают основные точки зрения по этому вопросу.

Г. Б. Федоров, признавший шестиугольный слиток своего рода международной монетой, отмечает: «Правильным… является высказанное еще В. Н. Татищевым и разделяемое почти всеми последующими исследователями мнение, что киевская гривна в 36 зол. возникла под влиянием торговых сношений с Византией и для этих сношений; по своему весу она являлась половиной греческой литры в 72 зол.» [121] .

Б. А. Романов придерживается иного взгляда: «Средний вес этих слитков, – пишет он, – 159 г (от 135 до 169 г). Форма их очень однообразная и потому чрезвычайно пригодная для обращения их в качестве денег; она несомненно автохтонна. Сказать это же об их весе никак нельзя. Обычно его выводят из половинной римской либры или византийской литры. В начале XX в. это мнение стало оспариваться, с чем следует согласиться, так как половинный вес либры нигде и никогда не встречался, да он к тому же и выше 159 г» [122] . Далее Б. А. Романов сближает полученный им средний вес шестиугольного слитка с некоторыми западноевропейскими весовыми единицами [123] .

121

Федоров Г. Б. Указ. соч. С. 145.

122

Романов Б. А. Деньги и денежное обращение. С. 392.

123

Романов Б. А. Указ. соч. С. 392 и сл.

Поделиться:
Популярные книги

Кротовский, сколько можно?

Парсиев Дмитрий
5. РОС: Изнанка Империи
Фантастика:
попаданцы
аниме
5.00
рейтинг книги
Кротовский, сколько можно?

Я Гордый часть 7

Машуков Тимур
7. Стальные яйца
Фантастика:
попаданцы
аниме
фэнтези
5.00
рейтинг книги
Я Гордый часть 7

Восход. Солнцев. Книга VI

Скабер Артемий
6. Голос Бога
Фантастика:
фэнтези
попаданцы
аниме
5.00
рейтинг книги
Восход. Солнцев. Книга VI

Испытание славой

Распопов Дмитрий Викторович
5. 30 сребреников
Фантастика:
попаданцы
альтернативная история
фэнтези
фантастика: прочее
5.00
рейтинг книги
Испытание славой

Черный Маг Императора 10

Герда Александр
10. Черный маг императора
Фантастика:
юмористическое фэнтези
попаданцы
аниме
сказочная фантастика
фэнтези
5.00
рейтинг книги
Черный Маг Императора 10

Фиктивный брак

Завгородняя Анна Александровна
Фантастика:
фэнтези
6.71
рейтинг книги
Фиктивный брак

Лидер с планеты Земля

Тимофеев Владимир
2. Потерявшийся
Фантастика:
боевая фантастика
космическая фантастика
6.00
рейтинг книги
Лидер с планеты Земля

Черный Маг Императора 17

Герда Александр
17. Черный маг императора
Фантастика:
юмористическое фэнтези
попаданцы
аниме
фэнтези
фантастика: прочее
5.00
рейтинг книги
Черный Маг Императора 17

Кодекс Охотника. Книга ХХХ

Винокуров Юрий
30. Кодекс Охотника
Фантастика:
попаданцы
аниме
фэнтези
5.00
рейтинг книги
Кодекс Охотника. Книга ХХХ

Восход. Солнцев. Книга VIII

Скабер Артемий
8. Голос Бога
Фантастика:
фэнтези
попаданцы
аниме
5.00
рейтинг книги
Восход. Солнцев. Книга VIII

Офицер

Земляной Андрей Борисович
1. Офицер
Фантастика:
боевая фантастика
7.21
рейтинг книги
Офицер

Кодекс Охотника. Книга XXVI

Винокуров Юрий
26. Кодекс Охотника
Фантастика:
попаданцы
5.00
рейтинг книги
Кодекс Охотника. Книга XXVI

Темный Лекарь 6

Токсик Саша
6. Темный Лекарь
Фантастика:
аниме
фэнтези
5.00
рейтинг книги
Темный Лекарь 6

Газлайтер. Том 15

Володин Григорий Григорьевич
15. История Телепата
Фантастика:
боевая фантастика
попаданцы
5.00
рейтинг книги
Газлайтер. Том 15