Чтение онлайн

на главную - закладки

Жанры

Инновационный менеджмент
Шрифт:

11.3. Динамические показатели оценки экономической эффективности инновационных проектов

Динамические показатели оценки эффективности основаны на дисконтировании денежных потоков. К их числу относятся чистый дисконтируемый доход, внутренняя норма рентабельности, модифицированная внутренняя норма рентабельности, дисконтируемый срок окупаемости инвестиций.

Величина чистого дисконтируемого дохода ( ЧДД ) рассчитывается как разность дисконтируемых денежных потоков доходов и расходов, производимых в процессе реализации инвестиций за прогнозируемый период.

Суть критерия состоит в сравнении текущей стоимости будущих денежных поступлений от реализации проекта с инвестиционными расходами, необходимыми для его реализации. Чистый дисконтируемый доход (ЧДД или NPV ) для постоянной нормы дисконта и разовыми первоначальными инвестициями определяют по следующей формуле:

где I0 – величина

первоначальных инвестиций;

Сt  – денежный поток от реализации инвестиций в момент времени t;

t – шаг расчета;

i – ставка дисконтирования.

Положительное значение NPV свидетельствует о целесообразности принятия решения о финансировании и реализации проекта, а при сравнении альтернативных вариантов вложений экономически выгодным считается вариант с наибольшей величиной NPV.

...

Пример. Определить NPV проекта, который при первоначальных единовременных инвестициях в 1500 ден. ед. будет генерировать следующий денежный поток доходов: 100; 200; 250; 1300; 1200 ден. ед. Ставка дисконта 10 %.

...

Данный проект следует принять.

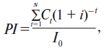
Индекс рентабельности инвестиций (прибыльности, доходности) – PI – рассчитывается как отношение чистой текущей стоимости денежного притока к чистой текущей стоимости денежного оттока (включая первоначальные инвестиции):

где I0 – инвестиции предприятия в момент времени 0;

Сt  – денежный поток предприятия в момент времени t;

i – ставка дисконтирования.

Правилом принятия решений об экономической привлекательности проекта является условие, что если PI > 1, то проект считается экономически выгодным.

...

Пример. Рассчитать индекс рентабельности инвестиций. Исходные данные те же, что и в предыдущем примере.

...

Проект экономически выгоден.

Под внутренней нормой рентабельности ( IRR ) понимают значение ставки дисконтирования, при котором NPV проекта равен нулю:

IRR = i ,

при котором NPV=f ( i ) = 0.

Смысл расчета этого коэффициента при анализе эффективности планируемых инвестиций заключается в следующем: IRR показывает максимально допустимый относительный уровень расходов, которые могут быть ассоциированы с данным проектом. Например, если проект полностью финансируется за счет ссуды коммерческого банка, то значение IRR показывает верхнюю границу допустимого уровня банковской процентной ставки, превышение которой делает проект убыточным.

На практике любое предприятие финансирует свою деятельность из различных источников. В качестве платы за пользование авансированными в деятельность предприятия финансовыми ресурсами оно уплачивает проценты, дивиденды, вознаграждения и т. п., т. е. несет некоторые обоснованные расходы на поддержание своего экономического потенциала. Показатель, характеризующий относительный уровень этих доходов, можно назвать ценой авансированного капитала ( СС ). Этот показатель отражает сложившийся на предприятии минимум возврата на вложенный в его деятельность капитал, его рентабельность и рассчитывается по формуле средней арифметической взвешенной.

Если IRR > СС, то проект следует принять.

Для расчета IRR с помощью таблиц дисконтирования выбираются два значения коэффициента дисконтирования i 1 < i 2 таким образом, чтобы в интервале (i1, i2) функция NPV=f ( i ) меняла свое значение с «+» на «—» или с «—» на «+». Далее применяют формулу:

где i 1 – значение коэффициента дисконтирования, при котором f ( i 1) > 0 [ f ( i 1) < 0];

i 2 – значение коэффициента дисконтирования, при котором f ( i 2) < 0 [ f ( i 2) > 0].

...

Пример. Рассчитать значение показателя IRR для проекта, рассчитанного на 3 года, требующего инвестиций в размере 2000 ден. ед. и имеющего предполагаемые денежные поступления в размере 1000; 1500 и 2000 ден. ед.

Для расчета IRR с помощью таблиц дисконтирования выбираем два произвольных коэффициента дисконтирования, например, i 1 = 40 %, i 2 = 50 % и рассчитаем значение функции NPV = f ( i ). Получаем NPV = f (40 %) = 207$, NPV = f (50 %) = -75. Тогда

Дисконтируемый срок окупаемости инвестиции, DPP устраняет недостаток статического метода срока окупаемости инвестиций и учитывает стоимость денег во времени.

11.4. Оценка состава и структуры инновационных затрат

Затраты в инновационной деятельности делятся на части. Одна часть затрат идет на выполнение и реализацию конкретных исследований, разработок и проектов, другая – на содержание и функционирование инновационных предприятий и организаций. (Инновационным предприятием может быть НИИ, ведущий фундаментальные исследования, ОКР, или проектная организация, разрабатывающая техническую документацию, или производственное предприятие, осваивающее новую технологию или массовый выпуск новой продукции.) В соответствии со ст. 253 главы 25 Налогового кодекса РФ расходы, связанные с производством и реализацией, включают в себя расходы на научные исследования и опытно-конструкторские разработки.

Затраты на выполнение и реализацию конкретных исследований (инноваций) – это выраженные в денежной форме расходы, связанные с проведением различных видов инновационной деятельности, выполняемой в масштабе инновационного предприятия. В составе этих затрат выделяются текущие и капитальные затраты. Текущие затраты включают затраты на оплату труда работников, занятых разработкой и внедрением технологических инноваций, отчисления на социальные нужды (единый социальный налог – ЕСН) и другие расходы, не относящиеся к капитальным затратам, а именно затраты на приобретение сырья, материалов, оборудования и прочие расходы, необходимые для обеспечения инновационной деятельности. Капитальные вложения представляют собой долгосрочные инвестиции. Это ежегодные затраты на создание, увеличение размеров, а также приобретение внеоборотных активов длительно – го пользования (свыше одного года), они не предназначены для продажи, осуществляются в связи с разработкой и внедрением технологических инноваций. Сюда включаются затраты на приобретение машин, оборудования, сооружений, земельных участков, объектов природопользования для проведения инновационной деятельности.

На практике существует несколько классификаций затрат на инновации. Наиболее представительная классификация затрат представлена в учебно-методическом пособии «Инновационный менеджмент»

По виду инновационной деятельности разделяют затраты:

1) на НИР, ОКР, они связаны с внедрением новых продуктов и технологических процессов;

2) приобретение прав промышленной собственности и прочих научно-технических нематериальных активов;

3) производственное проектирование;

4) инструментальную подготовку, организацию и пуск производства, в том числе на программные средства, на подготовку и переподготовку персонала, на опытное производство и испытания;

Поделиться:
Популярные книги

Имя нам Легион. Том 8

Дорничев Дмитрий
8. Меж двух миров
Фантастика:
боевая фантастика
рпг
аниме
5.00
рейтинг книги
Имя нам Легион. Том 8

Адвокат

Константинов Андрей Дмитриевич
1. Бандитский Петербург
Детективы:
боевики
8.00
рейтинг книги
Адвокат

Адвокат империи

Карелин Сергей Витальевич
1. Адвокат империи
Фантастика:
городское фэнтези
попаданцы
фэнтези
5.75
рейтинг книги
Адвокат империи

Тринадцатый IV

NikL
4. Видящий смерть
Фантастика:
боевая фантастика
попаданцы
5.00
рейтинг книги
Тринадцатый IV

Путь Шедара

Кораблев Родион
4. Другая сторона
Фантастика:
боевая фантастика
6.83
рейтинг книги
Путь Шедара

Личный аптекарь императора. Том 4

Карелин Сергей Витальевич
4. Личный аптекарь императора
Фантастика:
городское фэнтези
попаданцы
аниме
фэнтези
5.00
рейтинг книги
Личный аптекарь императора. Том 4

Ведунские хлопоты

Билик Дмитрий Александрович
5. Бедовый
Фантастика:
юмористическое фэнтези
городское фэнтези
мистика
5.00
рейтинг книги
Ведунские хлопоты

Инженер Петра Великого 4

Гросов Виктор
4. Инженер Петра Великого
Фантастика:
попаданцы
альтернативная история
5.00
рейтинг книги
Инженер Петра Великого 4

Виконт. Книга 4. Колонист

Юллем Евгений
Псевдоним `Испанец`
Фантастика:
фэнтези
попаданцы
аниме
7.50
рейтинг книги
Виконт. Книга 4. Колонист

Как я строил магическую империю 2

Зубов Константин
2. Как я строил магическую империю
Фантастика:
попаданцы
аниме
5.00
рейтинг книги
Как я строил магическую империю 2

Искатель 2

Шиленко Сергей
2. Валинор
Фантастика:
фэнтези
попаданцы
рпг
5.00
рейтинг книги
Искатель 2

Восход. Солнцев. Книга I

Скабер Артемий
1. Голос Бога
Фантастика:
фэнтези
попаданцы
аниме
5.00
рейтинг книги
Восход. Солнцев. Книга I

Студент из прошлого тысячелетия

Еслер Андрей
2. Соприкосновение миров
Фантастика:
героическая фантастика
попаданцы
аниме
5.00
рейтинг книги
Студент из прошлого тысячелетия

Мастер 11

Чащин Валерий
11. Мастер
Фантастика:
боевая фантастика
попаданцы
технофэнтези
аниме
фэнтези
5.00
рейтинг книги
Мастер 11