Чтение онлайн

на главную - закладки

Жанры

Шрифт:

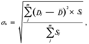
где Dj – товарооборот на душу населения j-го региона;

D — средний товарооборот на душу населения по всем регионам;

Sj – численность населения j-го региона;

m – число j-х регионов.

Коэффициент региональной товарности (КМт) рассчитывается как отношение вывоза из региона

данной продукции к ее региональному производству.

где Pij, – цена i-го товара в j-м регионе;

S – численность жителей j-го региона;

n – число i-х товаров;

m – число j-х регионов.

Если расчетные показатели больше или равны единице, то такая отрасль является отраслью рыночной специализации района.

4. Показатели, определяющие эффективность специализации районов

Одним из важнейших критериев размещения отраслей хозяйства на конкретной территории экономического района является показатель их экономической эффективности. Для определения экономической эффективности принят главный критерий получения намеченных объектов продукции с наименьшими затратами. В качестве показателей эффективности размещения производств принимаются себестоимость продукции с учетом ее доставки потребителю, удельные капиталовложения на единицу мощности и прибыль.

Наряду с этими показателями по каждой отрасли производства района разрабатывается система технико-экономических показателей ее размещения Эта система включает:

1) удельные расходы основных видов сырья, топлива, энергии, воды на единицу продукции;

2) выход производственных отходов на единицу продукции;

3) трудовые затраты на единицу продукции;

4) удельные затраты основных фондов. Использование показателей эффективности рационального размещения производств в районе способствует установлению оптимальных пропорций между ними.

Важнейшим методом исследования в регионоведении является системный анализ, позволяющий изучать комплексное развитие района, внутренние связи и их взаимодействие. Системный анализ – это всесторонний анализ, использующий принцип поэтапности начиная от постановки цели, определения задач, формулировки научной гипотезы, всестороннего изучения особенностей оптимального варианта размещения производства. При этом критерием является наибольшее удовлетворение потребностей населения. В настоящее время, особенно в период становления рыночных отношений, проблемы размещения становятся все более сложными, а отраслевые и территориальные связи – все более трудно управляемыми. Поэтому возникает необходимость в применении нового метода исследования – экономико-математического моделирования. Этот метод позволяет определить территориальные пропорции развития экономики России, составить модель оптимального размещения отраслей хозяйства, составить модель формирования хозяйственных комплексов регионов. Использование этого метода с применением ЭВМ дает возможность с минимальными затратами труда и времени обрабатывать огромные массивы исходных данных и выбирать оптимальные решения в соответствии с поставленной целью.

5. Задачи научной дисциплины «Регионоведение»

Важнейшей

задачей
регионоведения является разработка теоретических основ формирования и развития экономических районов в условиях становления и развития рыночных отношений, разработка программ развития экономических районов в условиях рынка.

При этом главными ориентирами, особенно в развитии предпринимательства, создании социальной инфраструктуры, охране и рациональном использовании природных ресурсов, являются:

1) учет специфики каждого региона в осуществлении структурной, инвестиционной, финансовой, социальной, внешнеэкономической перестройки;

2) перенос основных направлений рыночных реформ на региональный уровень.

Одной из задач в проведении региональных экономических реформ являются разработка мер по пространственной интеграции экономики России, создание механизма вертикальных и горизонтальных взаимодействий органов управления, разработка мероприятий по преодолению распада межрегиональных хозяйственных связей, сохранению единого рыночного пространства.

Главная цель региональной политики – обеспечение достойного уровня благосостояния в каждом регионе.

Следует выделить следующие стратегические задачи регионального развития.

Для старопромышленных районов и крупных городских агломераций главная задача заключается в конверсии оборонных отраслей, модернизации инфраструктуры, утверждении многообразия форм собственности, оздоровлении экологической обстановки. Для районов Нечерноземья, Южного Урала, Сибири, Дальнего Востока наиболее актуально преодоление кризиса в аграрной сфере, возрождение малых городов и сел, развитие производственной и социальной инфраструктуры, освоение заброшенных земель. Необходимы разработки программ по самообеспечению населения продовольствием.

Для экстремальных районов Крайнего Севера и горных районов важнейшими задачами являются стабилизация социально-экономического положения, создание условий для возрождения малочисленных народов при основательной государственной поддержке.

Для всех регионов России важнейшей задачей является стимулирование развития экспортных и импорто-заменяющих производств, формирование свободных экономических зон, создание технополисов как региональных центров внедрения достижений отечественной и мировой науки, ускорения экономического и социального прогресса.

Для приграничных районов необходимы программы по переспециализации, ускоренному развитию инфраструктуры с учетом потенциальных переселенцев и передислокации воинских частей.

Важной задачей регионоведения на современном этапе является разработка мер по преодолению чрезмерного отставания в уровне и качестве жизни населения отдельных республик и областей России.

6. Исконные особенности регионального развития России

Исконные особенности (культурные, природные)

1. Огромная территория – Россия по-прежнему остается самой большой страной в мире.

2. Суровая природа – Россия расположена в суровом северо-восточному углу Евразии, три четверти ее территории покрыты тундрой и тайгой на вечной мерзлоте, лишь пятая часть пригодна для распашки, да и то половина этой части лежит в зоне рискованного земледелия.

Почти все окружающие моря замерзают, почти все границы безлюдны, проходят по горам и густым лесам, так что страна выглядит изолированной от соседей самой природой.

Поделиться:
Популярные книги

Вторая жизнь майора. Цикл

Сухинин Владимир Александрович
Вторая жизнь майора
Фантастика:
героическая фантастика
боевая фантастика
попаданцы
5.00
рейтинг книги
Вторая жизнь майора. Цикл

На границе империй. Том 8

INDIGO
12. Фортуна дама переменчивая
Фантастика:
космическая фантастика
попаданцы
5.00
рейтинг книги
На границе империй. Том 8

Сотник

Ланцов Михаил Алексеевич
4. Помещик
Фантастика:
альтернативная история
5.00
рейтинг книги
Сотник

Сатисфакция

Уленгов Юрий
4. Гардемарин ее величества
Фантастика:
боевая фантастика
попаданцы
альтернативная история
аниме
5.00
рейтинг книги
Сатисфакция

Барон Дубов 2

Карелин Сергей Витальевич
2. Его Дубейшество
Фантастика:
юмористическое фэнтези
аниме
сказочная фантастика
фэнтези
5.00
рейтинг книги
Барон Дубов 2

Попаданка 3

Ахминеева Нина
3. Двойная звезда
Любовные романы:
любовно-фантастические романы
5.00
рейтинг книги
Попаданка 3

Князь Серединного мира

Земляной Андрей Борисович
4. Страж
Фантастика:
фэнтези
попаданцы
5.00
рейтинг книги
Князь Серединного мира

Неудержимый. Книга XVIII

Боярский Андрей
18. Неудержимый
Фантастика:
фэнтези
попаданцы
аниме
5.00
рейтинг книги
Неудержимый. Книга XVIII

Испытание системы

Котов Артем
Фантастика:
постапокалипсис
рпг
фэнтези
фантастика: прочее
5.00
рейтинг книги
Испытание системы

Проданная Истинная. Месть по-драконьи

Белова Екатерина
Любовные романы:
любовно-фантастические романы
5.00
рейтинг книги
Проданная Истинная. Месть по-драконьи

Барон не играет по правилам

Ренгач Евгений
1. Закон сильного
Фантастика:
фэнтези
попаданцы
аниме
5.00
рейтинг книги
Барон не играет по правилам

Изгой

Майерс Александр
2. Династия
Фантастика:
фэнтези
попаданцы
рпг
аниме
5.00
рейтинг книги
Изгой

Я еще князь. Книга XX

Дрейк Сириус
20. Дорогой барон!
Фантастика:
юмористическое фэнтези
попаданцы
аниме
5.00
рейтинг книги
Я еще князь. Книга XX

Третий Генерал: Том IV

Зот Бакалавр
3. Третий Генерал
Фантастика:
городское фэнтези
попаданцы
аниме
5.00
рейтинг книги
Третий Генерал: Том IV