Чтение онлайн

на главную - закладки

Жанры

Стимулирование продаж
Шрифт:

Пример 2.41

Школа английского языка Дениса Рунова из Санкт-Петербурга Runov School активно и удачно применяет для продвижения своих услуг такой вид презентации, как открытый урок. В то время как другие школы рекламируют стоимость обучения и высокую квалификацию преподавателей, школа Рунова – автора собственной методики активного обучения – наглядно показывает слушателям все преимущества разработанного метода. Открытые уроки проводятся примерно один раз в две недели, слушатели приглашаются на них бесплатно через рекламу в газетах. Школа Дениса Рунова и ее преподаватели уверены в оригинальности и действенности своей методики и поэтому не сомневаются в результате открытых уроков. Дополнительно для всех

участников уроков, которые сразу после окончания заключают договор на обучение, предоставляется скидка 10 %.

2.12. Удаленные коммуникации со стимулируемыми

Кроме прямого взаимодействия face-to-face при стимулировании применяются также и другие методы коммуникации:

• SMS-общение;

• общение и вручение призов и подарков по почте;

• телефон;

• электронная почта.

Все более популярными становятся SMS-игры, викторины, конкурсы. Развивается целая индустрия, которая уже превратилась в отдельный вид бизнеса, никак не связанный с проведением мероприятий по стимулированию. Ниже показано сочетание методов прямого и телекоммуникационного общения в мероприятиях по стимулированию.

Пример 2.42 [11]

Очень удачным был в свое время рекламный ход пива Foster's. «Законы Foster's» («Твоя девушка уехала – закон жизни, но ее подружка осталась – закон Foster's», «Весна снова запаздывает – закон жизни. Есть время подготовиться к пляжному сезону – закон Foster's!» и т. д.) повсюду окружали нас и старались быть в центре внимания. Вовлечение населения происходило по полной программе. Потребители могли сами придумывать «законы Foster's» и оставлять их на официальном сайте. Самые остроумные, конечно, получали несколько литров освежающего напитка или другие памятные призы в виде сувенирной продукции с характерной ярко-синей символикой. Пиво Foster's являлось обязательным участником всех самых модных вечеринок двух столиц. Милые девушки в коротких юбках, купальниках Foster's или костюмах body-art с удовольствием дарили вам и вашим друзьям по бутылочке австралийского пива за оригинальный наряд, танец или пару безрассудных поступков на радость всем гостям ночной тусовки.

11

Рекламные Идеи, 2005. – № 4.

Пример 2.43 [12]

Французский обувной бренд Palladium устроил игру во всепланетном масштабе, чтобы проявить себя на американском рынке. Участникам предлагалось с помощью наводящих подсказок и новейших технологий ориентирования (GPS) найти тайник, извлечь оттуда спрятанные сокровища (крупную сумму денег, или пару обуви, или одну старую монетку), заменить их на свои и записаться в лежащий рядом журнал. «Ключи» к разгадкам и промежуточные результаты команд вывешивались на сайте компании palladiumschoes.com. Так люди смогли наблюдать за игрой, «болеть» за свою команду и участвовать в он-лайн-соревновании по ориентированию. Победителю – скутер и 10 тысяч долл. Целевая группа – так называемые «городские кочевники» в возрасте 22 – 38 лет. Слоган кампании, направленный на эту группу потребителей, звучал так: «Место назначения – путешествие».

12

Рекламные Идеи, 2005. – № 2.

Глава 3

Оценка эффекта и эффективности мероприятий по стимулированию

3.1. Что можно рассматривать в качестве эффекта от проведения мероприятий по стимулированию?

Определим понятия «эффект» и «эффективность». Эффект – результат,

полученный от проведения кампании или мероприятия по стимулированию с учетом применения определенных бонусов и средств коммуникации. Эффективность – соотношение результата и затрат, вызвавших данный результат.

Итоговым, конечным показателем экономического эффекта от стимулирования является дополнительная прибыль при проведении мероприятий, по сравнению с прогнозируемой прибылью без стимулирования за этот же период:

где W1– фактический объем продаж при стимулировании, руб.; Q1– фактический объем продаж при стимулировании, шт.; P1– цена за единицу товара при стимулировании, руб.; W – прогноз объема продаж без стимулирования, руб.; Q– прогноз объема продаж без стимулирования, шт.; P– цена за единицу товара без стимулирования, руб.; W– прирост объема продаж от стимулирования, руб.; F1– фактическая прибыль при стимулировании, руб.; Fпрогноз прибыли без стимулирования, руб.; Z – суммарные затраты, относимые к приросту объема продаж от стимулирования, руб.; Z1 фактические суммарные затраты при стимулировании (себестоимость), руб.; Z – прогноз суммарных затрат без стимулирования (себестоимость), руб.; F – дополнительный объем прибыли от стимулирования, руб.; PC – производственно-коммерческие затраты на стимулирование, руб.; COM – коммуникационные затраты на стимулирование, руб.

Графически типы кривых по увеличению объемов продаж при стимулировании показаны в следующем разделе.

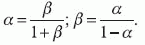
В экономическом анализе используются два основных показателя эффективности: рентабельность затрат и рентабельность продаж. Рентабельность затрат – это отношение прибыли к затратам (себестоимости), обычно выражается «в рублях прибыли на рубль затрат», может выражаться в процентах. Рентабельность продаж, или норма прибыли – это отношение прибыли к объему продаж в рублях (выручке). Выражается в процентах и показывает долю прибыли в выручке. Выразим оба показателя через обозначения, причем рентабельность затрат представим не в процентах, а в виде коэффициента от 0 до 1:

= П / З;

= П / В;

П = В – З,

где – рентабельность издержек, рублей на рубль; П – прибыль, руб.; 3 – затраты, руб.; рентабельность продаж, коэффициент от 0 до 1 долл. прибыли в выручке; В – выручка, руб.

Путем несложных вычислений можно выразить один показатель через другой:

Если выражать показатели  и в процентах, формула будет выглядеть следующим образом:

Экономическая эффективность всегда связана с типом оцениваемых затрат. Показатели экономической эффективности кампании по стимулированию в целом – это эффективность совокупных коммуникационных затрат, а также суммарных производственно-коммерческих и коммуникационных затрат:

Поделиться:
Популярные книги

Страж Кодекса. Книга V

Романов Илья Николаевич
5. КО: Страж Кодекса
Фантастика:
фэнтези
попаданцы
аниме
5.00
рейтинг книги
Страж Кодекса. Книга V

Неучтенный элемент. Том 1

NikL
1. Антимаг. Вне системы
Фантастика:
городское фэнтези
фэнтези
5.00
рейтинг книги
Неучтенный элемент. Том 1

Здравствуй, 1984-й

Иванов Дмитрий
1. Девяностые
Фантастика:
альтернативная история
6.42
рейтинг книги
Здравствуй, 1984-й

Моя простая курортная жизнь 3

Блум М.
3. Моя простая курортная жизнь
Юмор:
юмористическая проза
5.00
рейтинг книги
Моя простая курортная жизнь 3

Тринадцатый IV

NikL
4. Видящий смерть
Фантастика:
боевая фантастика
попаданцы
5.00
рейтинг книги
Тринадцатый IV

Кодекс Крови. Книга II

Борзых М.
2. РОС: Кодекс Крови
Фантастика:
фэнтези
попаданцы
аниме
5.00
рейтинг книги
Кодекс Крови. Книга II

Отмороженный 5.0

Гарцевич Евгений Александрович
5. Отмороженный
Фантастика:
боевая фантастика
рпг
5.00
рейтинг книги
Отмороженный 5.0

Пиратский граф

Распопов Дмитрий Викторович
3. 30 сребреников
Фантастика:
попаданцы
альтернативная история
фэнтези
фантастика: прочее
5.00
рейтинг книги
Пиратский граф

Неучтенный элемент. Том 2

NikL
2. Антимаг. Вне системы
Фантастика:
городское фэнтези
фэнтези
5.00
рейтинг книги
Неучтенный элемент. Том 2

За Горизонтом

Вайс Александр
8. Фронтир
Фантастика:
боевая фантастика
космическая фантастика
космоопера
5.00
рейтинг книги
За Горизонтом

Крысиный бег II

А.Морале
2. Крысиный бег
Фантастика:
городское фэнтези
аниме
4.25
рейтинг книги
Крысиный бег II

Найденыш

Шмаков Алексей Семенович
2. Светлая Тьма
Фантастика:
юмористическое фэнтези
городское фэнтези
аниме
5.00
рейтинг книги
Найденыш

Золотой ворон

Сакавич Нора
5. Все ради игры
Фантастика:
зарубежная фантастика
5.00
рейтинг книги
Золотой ворон

Адвокат Империи 3

Карелин Сергей Витальевич
3. Адвокат империи
Фантастика:
городское фэнтези
попаданцы
аниме
фэнтези
фантастика: прочее
5.00
рейтинг книги
Адвокат Империи 3