Чтение онлайн

на главную - закладки

Жанры

Удивительная палеонтология. История земли и жизни на ней
Шрифт:

Но вот экваториальная область планеты нагрелась до оговоренных 5°C, и тут на сцене появляются наши маргаритки – ТМ и СМ в примерно равной пропорции. При этом в тех местах, где доля темных цветов случайно окажется выше средней, локальное альбедо будет несколько уменьшаться, а грунт прогреваться до более высокой температуры, т.е. более близкой к оптимальным для маргариток 20°C. В итоге ТМ получат селективное преимущество перед СМ и доля последних уменьшится до предела. С этого момента в системе складывается положительная обратная связь: темные цветы несколько понижают суммарное альбедо планеты; прогретая до 5°C (и пригодная для жизни маргариток) область расширяется от экватора, что вызывает дальнейшее понижение альбедо, и т.д. Но вот наступает время, когда на планете, уже полностью заселенной ТМ, температура на экваторе переваливает за 20°C в результате усиления светимости Солнца. С этого момента селективные

преимущества оказываются на стороне светлых цветов, увеличивающих локальное альбедо и понижающих температуру своих местообитаний. Расселение по планете СМ, вытесняющих ТМ, происходит по точно такой же схеме (от экватора к полюсам) и тоже с положительной обратной связью. Светимость Солнца тем временем продолжает расти; наступает момент, когда возможности СМ по кондиционированию среды обитания оказываются исчерпанными; температура переваливает за 40°C, и планета опять становится безжизненной. Так вот, расчеты Лавлока показали, что на протяжении почти всего времени между этими двумя критическими моментами температура поверхности планеты будет практически постоянной – около 20°C (рис. 15), несмотря на непрерывное возрастание светимости Солнца.

Рис. 15. «Маргаритковый Мир» Лавлока. Изменения температуры поверхности планеты с изменением светимости Солнца (1,0 – нынешнее состояние) при наличии единственной морфы маргариток (а) и при двух, «светлой» и «темной», способных кондиционировать среду обитания (б) (по Lovelock, 1982)

Даже такая суперпримитивная биосфера (состоящая из единственного вида растений, которые всего-то и умеют, что варьировать цвет своих лепестков) способна создавать эффект вполне космического характера – глобально менять температуру поверхности планеты. Однако более существен не факт изменения температуры, а то, что планета превращается в гомеостат и поддерживает свою температуру постоянной вопреки внешним изменениям (светимости Солнца). Замечательно и то, что система как целое работает с отрицательной обратной связью, хотя каждый из ее элементов – с положительной; это является характерной особенностью именно живых систем (вспомним, например, систему «хищник – жертва»).

Следует упомянуть еще об одном обстоятельстве. Многие биологические журналы не принимают к публикации статьи по проблеме происхождения жизни (это как с проектами вечного двигателя). А журналы по лингвистике не принимают статьи о «происхождении языка». Наука имеет дело лишь с неединичными, повторяющимися явлениями, вычленяя их общие закономерности и частные особенности. Например, биологическая эволюция является предметом науки лишь постольку, поскольку представлена совокупностью отдельных эволюционных актов, хотя такие явления, как Жизнь и Разум, известны нам как уникальные, возникшие однократно в конкретных условиях Земли. И до тех пор, пока мы не разрушим эту уникальность (например, обнаружив жизнь на других планетах или синтезировав реального гомункулуса), проблема возникновения жизни обречена оставаться предметом философии, богословия, научной фантастики – чего угодно, но только не науки (невозможно строить график по единственной точке). Именно поэтому большинство биологов относится к обсуждению этой проблемы с нескрываемой неприязнью: профессионалу, заботящемуся о своей репутации, всегда претит высказывать суждения в чужой для себя области. Выдающийся генетик Н. В. Тимофеев-Ресовский, к примеру, имел обыкновение на все вопросы о происхождении жизни на Земле отвечать: «Я был тогда очень маленьким и потому ничего не помню. Спросите-ка лучше у академика Опарина».

Дополнение к главе 4

Термодинамические подходы к сущности жизни. Второе начало термодинамики, энтропия и диссипативные структуры.

Нам придется начать издалека. В 1847 году Г. Гельмгольц сформулировал закон сохранения энергии (ЗСЭ). Следует помнить, что ЗСЭ является всего лишь эмпирическим обобщением: вообще говоря, никто не знает, почему энергию нельзя ни сотворить из ничего, ни уничтожить – просто этого не происходит ни в каких (сколь угодно хитроумных) наблюдениях и экспериментах. Однажды ЗСЭ основательно пошатнулся – когда возникла необходимость объяснить, отчего светит Солнце (см. главу 1), однако тут подоспело открытие Эйнштейном эквивалентности массы и энергии, и все опять встало на свои места. Именно поэтому ни одно патентное бюро не станет рассматривать проект устройства для получения бо?льшей энергии, чем оно потребляет; такое

устройство получило название вечный двигатель первого рода.

Первой машиной для превращения тепла в механическую энергию стал паровой двигатель. Это устройство производит работу путем перемещения энергии в форме тепла из горячего резервуара (с паром) в холодный резервуар (с водой). Поэтому раздел физики, занимающийся взаимными превращениями работы и энергии, назвали термодинамикой, а паровой двигатель очень долго оставался его основной моделью. Первое начало термодинамики можно выразить так: если резервуар с паром содержит некоторое количество энергии, то от паровой машины нельзя получить больше работы, чем допускает запас этой энергии. Мы видим, что оно является одной из формулировок ЗСЭ.

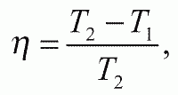
Согласно первому началу термодинамики, создать вечный двигатель первого рода нельзя. Ну а всю работу, что содержится в паре, мы можем извлечь? (Имеется в виду: если полностью устранить трение и всякие иные потери.) Увы, оказывается, нет. Даже в идеальном случае нельзя не то что выиграть, а хотя бы «получить свое». В 1824 году С. Карно установил, что доля тепловой энергии, которая может быть (даже в идеале!) превращена в работу, зависит от разности температур горячего и холодного резервуаров. Максимально возможный КПД (идеальная отдача) определяется так:

где Т1 и Т2 – температура холодного и горячего резервуаров (в градусах абсолютной шкалы Кельвина).

Пусть, например, Т2 = 400 К (= 127°С), а Т1 = 300 К (= 27°С). В этом случае ? = (400 – 300) / 400 = 0,25. Значит, даже в этом идеализированном случае лишь четверть энергии сможет быть превращена в работу, а остальные три четверти бесполезно пропадут.

Если же у нас имеется только один резервуар (он горячий и он же холодный), то идеальная отдача будет равна нулю: энергии-то в этом резервуаре с паром сколько угодно, но никакая часть ее не может быть превращена в работу. Все это полностью относится и к другим видам энергии. Например, работа, которую может совершить камень, падающий с края обрыва, зависит от высоты последнего (т.е. от разности потенциальных энергий камня), однако камень, лежащий посреди плоскогорья на высоте 5 км, никакой работы совершить не может. В этом и состоит одна из формулировок второго начала термодинамики (ВНТ): ни одно устройство не может извлечь работу из системы, которая целиком находится на одном потенциальном уровне.

Устройство, предназначенное для извлечения работы из системы, имеющей единственный энергетический уровень (и, соответственно, нарушающее ВНТ), называется вечным двигателем второго рода. Представляете, как было бы здорово – откачать, например, энергию теплового движения молекул кастрюльки с водой (кастрюлька-то пусть при этом замерзнет – закон сохранения энергии мы чтим!) и перевести ее в механическую, электрическую или еще какую-нибудь путную форму. Но ничего из этой затеи не выйдет. Вечный двигатель второго рода невозможен точно так же, как и первого.

Как только в системе появляются два энергетических уровня, энергия тут же начинает перетекать от более высокого уровня к низкому: тепло переходит от горячего тела к холодному, камень падает с обрыва, ток начинает течь от анода к катоду и т.д. (поэтому существует и другая формулировка ВНТ: поток энергии всегда направлен от высокого потенциального уровня к низкому). В случае, если наша паровая машина представляет собой замкнутую систему (т.е. никакое вещество и энергия не могут ни проникнуть в нее извне, ни покинуть ее), горячий резервуар будет постепенно остывать, а холодный – нагреваться, т.е. в течение всего времени, пока в системе совершается работа, разность температур резервуаров будет неуклонно падать. Тогда, в соответствии с соотношением Карно, доля содержащейся в системе энергии, которую можно обратить в работу, будет уменьшаться, а доля той «омертвленной» энергии, что недоступна для такого превращения, – необратимо расти. Поэтому ВНТ может быть сформулировано еще и так: в любом самопроизвольном процессе (когда энергии открыт путь для перетекания с более высокого уровня на низкий) количество недоступной энергии со временем увеличивается.

Поделиться:
Популярные книги

Внешники

Кожевников Павел
Вселенная S-T-I-K-S
Фантастика:
боевая фантастика
попаданцы
5.00
рейтинг книги
Внешники

Как я строил магическую империю 2

Зубов Константин
2. Как я строил магическую империю
Фантастика:
попаданцы
аниме
5.00
рейтинг книги
Как я строил магическую империю 2

Черный Маг Императора 9

Герда Александр
9. Черный маг императора
Фантастика:
юмористическое фэнтези
попаданцы
аниме
5.00
рейтинг книги
Черный Маг Императора 9

Санек

Седой Василий
1. Санек
Фантастика:
попаданцы
альтернативная история
4.00
рейтинг книги
Санек

Мастер 11

Чащин Валерий
11. Мастер
Фантастика:
боевая фантастика
попаданцы
технофэнтези
аниме
фэнтези
5.00
рейтинг книги
Мастер 11

Твое сердце будет разбито. Книга 1

Джейн Анна
Любовные романы:
современные любовные романы
5.50
рейтинг книги
Твое сердце будет разбито. Книга 1

Отмороженный 6.0

Гарцевич Евгений Александрович
6. Отмороженный
Фантастика:
боевая фантастика
постапокалипсис
рпг
5.00
рейтинг книги
Отмороженный 6.0

Я Гордый часть 5

Машуков Тимур
5. Стальные яйца
Фантастика:
городское фэнтези
попаданцы
альтернативная история
аниме
5.00
рейтинг книги
Я Гордый часть 5

Отмороженный 8.0

Гарцевич Евгений Александрович
8. Отмороженный
Фантастика:
постапокалипсис
рпг
аниме
5.00
рейтинг книги
Отмороженный 8.0

Запрети любить

Джейн Анна
1. Навсегда в моем сердце
Любовные романы:
современные любовные романы
5.00
рейтинг книги
Запрети любить

Система Возвышения. (цикл 1-8) - Николай Раздоров

Раздоров Николай
Система Возвышения
Фантастика:
боевая фантастика
4.65
рейтинг книги
Система Возвышения. (цикл 1-8) - Николай Раздоров

Князь

Мазин Александр Владимирович
3. Варяг
Фантастика:
альтернативная история
9.15
рейтинг книги
Князь

Пушкарь. Пенталогия

Корчевский Юрий Григорьевич
Фантастика:
альтернативная история
8.11
рейтинг книги
Пушкарь. Пенталогия

Солдат Империи

Земляной Андрей Борисович
1. Страж
Фантастика:
попаданцы
альтернативная история
6.67
рейтинг книги
Солдат Империи