Чтение онлайн

на главную

Жанры

Воронка продаж в интернете. Инструмент автоматизации продаж и повышения среднего чека в бизнесе
Шрифт:

Но если же на основании психологических принципов поведения клиентов выстроить систему и соединить необходимые для ее реализации инструменты продаж в Интернете, мы приобретаем ту самую соковыжималку для бизнеса, которая позволяет получать больше сока с прежнего количества фруктов.

Становится возможным общаться с каждым пользователем лично, присылая то, что ему интересно, делая нужные ему предложения на протяжении неограниченного временного промежутка и, главное, – автоматически.

Именно это имел в виду Михаил Дашкиев, говоря о тоннелях в предисловии. Создавая воронку продаж, мы учитываем основные сегменты нашей аудитории и готовим стратегию общения с каждым отдельно. Так, чтобы после привычной регистрации на сайте система начала общаться с человеком и продавать ему.

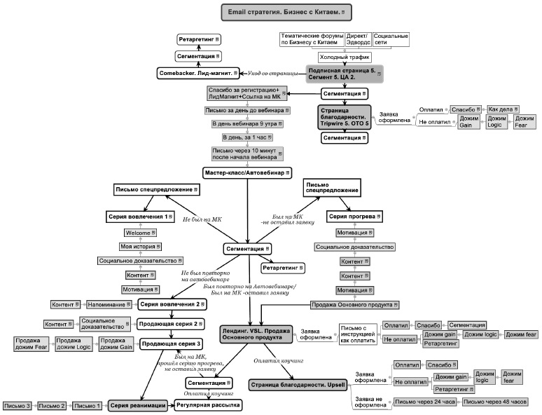
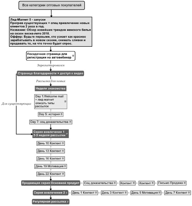
И если раньше воронка клиентов занимала час-два, то теперь

она может длиться годами. И выглядеть не как рисунок выше, а так:

Впечатляет? К концу книги вы поймете, что это, из чего состоят воронки и как их создавать.

Таким образом, благодаря развитию современных инструментов продаж и коммуникаций в Интернете воронка больше является сужающейся книзу последовательностью трех-пяти шагов.

Автоматизированная воронка продаж – это последовательность онлайн-инструментов, построенных на основе психологических особенностей клиентского поведения, для оптимизации и автоматизации поведенческого пути пользователя с целью увеличения продаж и прибыли.

Интересно, как это реализуется на практике? Предлагаю начать с изучения принципов построения автоворонок.

Глава 2

Принципы воронки продаж

Люди бывают разные: принимающие решения быстро и делающие это медленно; любители экономить и ценители самого дорогого и элитного; предпочитающие индивидуальный подход и инновации; сторонники неизведанных тропинок «как все». Важно научиться работать с каждой из категорий.

На лендинг загоняется 100 % трафика, и если 10 % с него конвертируется, то это считается очень хорошим результатом. 10 % конверсии – это круто. Из ста человек десять стали клиентами.

Но что с теми 90 % людей, которые не совершили заказ?

Важный вопрос: почему эти 90 % посетителей ушли?

У них нет денег? Не факт, может, они просто пока еще вам недостаточно доверяют.

Они вам не доверяют? Не факт, быть может, на этот продукт денег не хватило, а другой бы купили, но вы не предложили.

Им не нужен ваш товар? Да ладно, вы же не с потолка направляли на это предложение трафик, возможно, они не могут заказать прямо сейчас, а через месяц – пожалуйста.

Единственной причины ухода нет. Они у каждого свои.

Люди бывают разные: принимающие решения быстро и делающие это медленно;

любители экономить и ценители самого дорогого и элитного; предпочитающие индивидуальный подход и инновации; сторонники неизведанных тропинок «как все». Важно научиться работать с каждой из категорий. Ведь вы платите за каждого, каждого посетителя, а не только за 10 %, заказавших в лучшем случае, так зачем же прорабатывать только одну категорию?

Из этого вытекает первый принцип настоящей воронки продаж, а не потери денег: вариативность.

Важно наперед предусматривать разные сценарии поведения пользователя. И самый простой, который есть в любом случае, – это «нет» или «да».

На каждом шаге вы что-то предлагаете. Не обязательно продаете за деньги, быть может – заполнить форму, оставить контакты, перезвонить и т. п. И всегда у человека есть только два выбора: принять предложение или нет. Рычаг повышения эффективности в бизнесе будет работать с человеком не только если он говорит «да», но и если реагировать на его предложение по поводу «нет». Потому что таких гораздо больше. Например, если человек покупает и говорит «да», мы это всегда прорабатываем. Дальше даем заявку, звонок менеджера. Если «да», то у нас всегда что-то запланировано. А если «нет»? Если он не купил сразу основной продукт? Может, ему нужно предложить что-то поменьше? Например, товар подешевле, или рассрочку, или хотя бы бесплатно подписать на рассылку и 3 месяца общаться, пока он не будет готов покупать.

Эту штуку Михаил Дашкиев назвал атомом воронки. Действительно, вся воронка, то, что мы предлагаем клиенту, строится на таких микрорешениях. И, реагируя в каждом случае, мы активируем разные типы людей, а не только тех, кто готов принять решение сразу – здесь и сейчас.

Присмотритесь: схемы воронок выше состоят из «да» или «нет». Например, у вас есть основной лендинг. Из него человек может сделать заявку или не сделать. Если он сделал заявку, то показывает, что заинтересован. Попробуйте продать ему что-то большее. Если он согласился купить, например, платье, предложите купить полностью образ: платье, туфли, сумочку и шарф. Если дальше, то – купить одежду на весь сезон. Вам это предложение ничего не стоит, потому что человек уже у вас в воронке, он уже привлечен. Вы уже за этот лид заплатили, но можете заработать в десятки раз больше, не привлекая дополнительных инвестиций. Все гениальное – просто.

Если он говорит «нет», не хочет покупать именно это платье, предложите более доступный вариант. Если и там – «нет», просто возьмите его контакты, предложив взамен бесплатно список самых модных вещей этого лета. Что-то бесплатное, на что человек оставит свои контакты, и вы сможете с ним общаться. Это поможет вам наладить доверие.

Согласно статистике, 98 % женщин в возрасте от 18 до 35 лет если еще не замужем, то очень хотят.

Значит ли это, что 9 из 10 ответят «да», если вдруг вполне приличный мужчина зайдет в помещение, где находятся именно такие леди, подойдет к любой и скажет: «Привет, вот справка от врача – я здоров, и еще с работы – я трудоустроен и нормально зарабатываю, в принципе неплох собой – выйдешь за меня?»?

Правда же, когда представляешь такую ситуацию, становится смешно? По-моему, самая адекватная реакция незнакомки на такое «предложение» – уйти или залепить пощечину.

Хотя большинство компаний ведет себя с клиентом точно таким же образом. Они заявляют: «У нас 567 098 клиентов, 48 лет опыта и качественный товар. Покупай!» – и ждут, что у них будут покупать. Ведь предлагают целевой аудитории релевантное предложение.

На самом деле эта метафора и бизнес очень взаимосвязаны. Мировые авторитеты в области интернет-маркетинга, которые работали в то или иное время в нише пикапа, создали теорию под названием кисметрика, то есть метрика поцелуев (сейчас даже есть одноименный аналитический сервис). В пикапе есть такое правило: до того как ты уложишь девушку в постель, ее нужно определенное количество раз поцеловать, а до этого еще пригласить на кофе, на ужин, сделать комплименты, подарить цветы. И только потом можно предположить постель.

Поделиться:
Популярные книги

Мастер 7

Чащин Валерий
7. Мастер
Фантастика:
фэнтези
боевая фантастика
попаданцы
технофэнтези
аниме
5.00
рейтинг книги
Мастер 7

Мастер 10

Чащин Валерий
10. Мастер
Фантастика:
боевая фантастика
попаданцы
аниме
5.00
рейтинг книги
Мастер 10

Герцог и я

Куин Джулия
1. Бриджертоны
Любовные романы:
исторические любовные романы
8.92
рейтинг книги
Герцог и я

Громовая поступь. Трилогия

Мазуров Дмитрий
Громовая поступь
Фантастика:
фэнтези
рпг
4.50
рейтинг книги
Громовая поступь. Трилогия

Убивать чтобы жить 3

Бор Жорж
3. УЧЖ
Фантастика:
героическая фантастика
боевая фантастика
рпг
5.00
рейтинг книги
Убивать чтобы жить 3

Идеальный мир для Лекаря 29

Сапфир Олег
29. Лекарь
Фантастика:
юмористическое фэнтези
аниме
фэнтези
5.00
рейтинг книги
Идеальный мир для Лекаря 29

Наследник и новый Новосиб

Тарс Элиан
7. Десять Принцев Российской Империи
Фантастика:
городское фэнтези
попаданцы
аниме
5.00
рейтинг книги
Наследник и новый Новосиб

Неверный

Тоцка Тала
Любовные романы:
современные любовные романы
5.50
рейтинг книги
Неверный

Кровь на клинке

Трофимов Ерофей
3. Шатун
Фантастика:
боевая фантастика
попаданцы
альтернативная история
6.40
рейтинг книги
Кровь на клинке

70 Рублей - 2. Здравствуй S-T-I-K-S

Кожевников Павел
Вселенная S-T-I-K-S
Фантастика:
боевая фантастика
постапокалипсис
5.00
рейтинг книги
70 Рублей - 2. Здравствуй S-T-I-K-S

Личный аптекарь императора. Том 2

Карелин Сергей Витальевич
2. Личный аптекарь императора
Фантастика:
городское фэнтези
попаданцы
аниме
5.00
рейтинг книги
Личный аптекарь императора. Том 2

Служанка царского лекаря

Семина Дия
Фантастика:
фэнтези
5.00
рейтинг книги
Служанка царского лекаря

Диверсант

Вайс Александр
2. Фронтир
Фантастика:
боевая фантастика
космическая фантастика
5.00
рейтинг книги
Диверсант

Законы Рода. Том 11

Андрей Мельник
11. Граф Берестьев
Фантастика:
юмористическое фэнтези
аниме
фэнтези
5.00
рейтинг книги
Законы Рода. Том 11