Чтение онлайн

на главную - закладки

Жанры

Журнал «Компьютерра» №46 от 15 декабря 2005 года
Шрифт:

Другой важный вопрос, который задает себе фотолюбитель, особенно если его в техническом вузе научили инженерному подходу к действительности: а сколько их надо, этих мегапикселов? И в каких случаях это действительно важно, а в каких нет? Недавно Роман Косячков показал мне карточку 10х15, отпечатанную на термосублимационном принтере. Отличного качества отпечаток, хоть в журнале помещай. Секрет состоял в том, что исходное изображение скачано из Интернета, и его размер был 700х466 точек - 0,3 мегапиксела! Даже если принять сей факт за лишнее подтверждение того, что нас всех обувают, как лохов, - но не в такой же степени?!

Далее мы попробуем в этом разобраться. И для начала подчеркнем, что физический размер матрицы и количество мегапикселов в ней - это параметры, которые имеют важное значение каждый сам по себе, вне прямой зависимости друг от друга.

Почему большие матрицы лучше маленьких

Рассматривать

влияние физических размеров матрицы на качество снимков мы все же начнем со взаимосвязи этого параметра с числом мегапикселов - то есть сначала разберемся с чувствительностью и шумами. Действительно, продвинутая «мыльница» Olympus Camedia C-770 имеет 4-мегапиксельную матрицу типоразмером 1/2,5”. Ее линейный размер - 5,76х4,29 мм (см. таблицу), и простейший подсчет показывает, что на один элемент приходится квадратик 2,5х2,5 мкм. Эти величины вполне сравнимы с длиной волны видимого света (0,7 мкм для красного), причем надо иметь в виду, что из расчетной площади на собственно сенсор приходится едва ли половина, остальное занимают электрические схемы. То есть в размеры одного сенсора укладывается всего-навсего пара световых волн!

Совсем другое дело в случае полноразмерной матрицы (36х24 мм). Даже для 16-мегапиксельной камеры (Canon Mark II) на каждый сенсор приходится 7,2х7,2 мкм, вдобавок площадь, занятая собственно сенсором, там существенно выше. Так почему я утверждаю, что в настоящее время фактор шумов не имеет особого значения? А потому, что прогресс не стоит на месте - маленькая матрица, выпущенная сегодня, на много порядков лучше, чем большая, но изготовленная в году этак 1999-м. И сами матрицы, и технологии подавления шумов стали совершеннее. Разумеется, при непосредственном сравнении C-770 проиграет Mark II, но так ли уж это важно для тех, кто покупает С-770? Учтем еще, что даже заметный шум скрадывается при печати на принтере. Наконец, прогресс в этой области в стенку совсем не уперся - пока нет особых причин, по которым новые поколения матриц не должны шуметь все меньше и меньше.

Глубина резкости

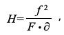
Еще одно обстоятельство, которое часто упоминают, рассуждая о недостатках небольших матриц, - чрезмерная глубина резкости. Фокусное расстояние «нормального» объектива примерно равно диагонали матрицы (или чуть превышает ее). Поэтому «нормальным» для того же С-770 будет объектив с фокусным расстоянием около 9 мм, что мы и наблюдаем - камера имеет 10-кратный зум и диапазон фокусных расстояний 6,3-63 мм (38-380 мм в 35-миллиметровом эквиваленте), то есть немного в сторону широкоугольности при минимальном зуме. Глубина резкоизображаемого пространства находится в квадратичной зависимости от фокусного расстояния. Не углубляясь в подробности, приведем только конечную формулу этой функции:

где H - гиперфокальное расстояние (расстояние до передней границы резкоизображаемого пространства при наводке на бесконечность), f - фокусное расстояние объектива, F - значение диафрагмы, а #948; - величина так называемого допустимого кружка рассеяния, которая для кадра 24х36 мм обычно принимается равной 0,05 мм. Матрица у нас много меньше пленочного кадра, поэтому примем #948; = 0,01 мм. Если подсчитать гиперфокальное расстояние, например, при фокусном расстоянии 7 мм и диафрагме 2,8, которая имеет место для рассматриваемого объектива, то получим 1,75 м. Таким образом, все, что дальше 1,75 м, будет отображаться резко без специальной наводки! На самом деле, как мы увидим дальше, нас устроит допущение относительно кружка рассеяния и в 0,05 мм, то есть фактически такой камерой можно снимать, вообще не наводя на резкость на коротком фокусе - зачем? Оттого-то и снимки выходят плоскими и невыразительными, объекты теряются на фоне, и хороший портрет или предметный снимок сделать такой камерой трудно.

Конечно, на длинном фокусе вы получите значительно большие величины. Но на максимальном фокусном расстоянии никто портретов не делает - при обычных освещенностях нужен штатив, да и расстояние слишком велико. Для обычного «портретника» характерно фокусное расстояние около 100 мм, что в пересчете на данную матрицу составит 15 мм, и приемлемого размытия фона вы не получите. При кружке рассеяния 0,05 мм гиперфокальное расстояние составит всего 1,5 м, а такой кружок при увеличении в двадцать раз (для получения снимка размером 10х15) даст минимально различимые детали снимка 1 мм, что визуально воспринимается не как размытие, а лишь как некоторая нечеткость. Обычный (f = 50 мм) достаточно светосильный (Fmax = 2) объектив для компактной пленочной камеры имеет гиперфокальное расстояние 25 м при том же кружке рассеяния. Но даже там получить достаточно размытый фон на портрете не всегда удается.

Это, конечно, крупный недостаток. Зато, во-первых, снимки из категории «групповой

портрет на фоне Колизея», наоборот, автоматически получаются качественными и специально об управлении глубиной резкости заботиться не нужно. Поэтому неопытному любителю это может и не показаться недостатком. Да и далеко не любитель Козловский снимает уже страшно сказать сколько лет «Олимпусом» с матрицей 2/3”, диагональ которой (11 мм) непринципиально отличается от рассматриваемой, и ничего, не жалуется. А во-вторых, это может показаться даже достоинством, поскольку аппараты получаются компактными - не надейтесь встретить аппарат толщиной с записную книжку, имеющий матрицу размером с пленочный кадр.

Вот оно

Настоящая собака зарыта в принципиальном ограничении на качество снимков, которое накладывает разрешающая способность объектива, и влияние этого фактора растет пропорционально уменьшению размеров матрицы. Именно в этом настоящее преимущество Nikon D70 с матрицей 23,7х15,6 мм перед Nikon Coolpix P1 с матрицей 1/1,8” (5,3х7,2 мм). Обратимся к цифрам и фактам.

Качественные и дорогие профессиональные объективы для камер 6х7 см имеют резкость в середине кадра приблизительно 70-80 лин./мм, по краям - всего до 40. За счет уменьшения поля изображения и диаметра линз приличный 50-миллиметровый объектив для камер 36х24 дает 90-100 лин./мм. Если мы приложим такую величину (которая примерно соответствует разрешающей способности пленки) к миниатюрной матрице и еще раз посмотрим на таблицу физических размеров, то увидим, что в длинную сторону уложится всего-навсего 500-800 линий, в короткую - 400-600. Выходит, изображение на «мыльницах» эквивалентно примерно полмегапикселу? Нет, конечно, это не так. Потому что мы не учитываем двух обстоятельств: во-первых, разрешение объективов в цифровых камерах выше, а во-вторых, нужно специально рассмотреть вопрос о том, как правильно пересчитывать линии в пикселы.

Реальная разрешающая способность…

Объективы для маленьких матриц при одинаковой светосиле должны иметь меньший диаметр линз, так как поле изображения у них существенно меньше. Потому их производство упрощается, что позволяет достигать более высокого качества при меньших затратах. Кроме того, разрешение объективов для обычных камер снижается за счет интерференционных явлений в эмульсионном слое, которого матрицы лишены. То есть следует ожидать, что объективы для маленьких матриц будут иметь более высокое разрешение, и это действительно так. Хотя маркетологи редко расщедриваются на то, чтобы обнародовать такие подробности, как разрешение объектива, по некоторым просачивающимся из недр корпораций сведениям можно установить, что конструкторы объективов для приличных камер среднего класса ориентируются на разрешение порядка 130-150 лин./мм. Кое-какие эксперименты с фотографированием миры качественными бюджетными камерами Canon и Sony показывают, что при 15-процентной контрастности разрешение может достигать 120 лин./мм["Четырехмегапиксельный конструктор (сравнение камер Canon G2 и Sony S85 )». При интерпретации приведенных в статье результатов не забывайте, что указываемые 1400-1600 штрихов на длинную сторону матрицы 1/1,8” надо делить на два (см. врезку)]. Похожий на правду результат также приведен, например, в тесте передовой для своего времени камеры Olympus Camedia E-10 , которая имеет Мп матрицу размером 2/3”. Для нее фотографирование миры показало разрешение в привычных для нас единицах лишь чуть больше 100 лин./мм. Лучший результат получен на Olympus Camedia C-5050[Журнал «foto amp;video» №5, май 2003 г.] - при матрице 1/1,8” разрешение по короткой стороне составило 1800 двойных штрихов, что дает 170 лин./мм.

Что такое разрешающая способность?

Разрешающая способность объективов - это максимальное количество линий на миллиметр в поле изображения, при котором линии еще не сливаются. Формулировка эта не очень строгая, поскольку не всегда можно точно определить, где кончается черная линия и начинается белый промежуток. На практике линии по мере уменьшения их толщины сливаются в сплошное серое поле постепенно. Чтобы получить объективную характеристику, надо рассматривать не одну численную величину, а график зависимости контраста между серединой черной линии и серединой белого промежутка от количества линий на миллиметр (причем линии в этом методе нечеткие, и их яркость меняется синусоидально). Такой график называется MTF (Modulation Transfer Function). Методика с использованием MTF позволяет оценить, кроме собственно разрешения (которое оценивается по величине контраста 1,1:1, то есть при 10-процентной разнице в яркости линий), как минимум еще одну не менее важную характеристику - наклон кривой MTF. Два объектива с одинаковым разрешением (скажем, 50 лин./мм) могут иметь разные кривые MTF. У одного график опускается сразу от 1 лин./мм вниз, плавно достигая 10% при 50 лин./мм, а у другого - лишь начиная с 40 лин./мм круто падает вниз. Естественно, при формально одинаковой разрешающей способности второй объектив даст гораздо более жесткий, резкий рисунок. Но чтобы не путаться, мы в эти тонкости вдаваться не будем.

Поделиться:
Популярные книги

Неудержимый. Книга XVII

Боярский Андрей
17. Неудержимый
Фантастика:
фэнтези
попаданцы
аниме
5.00
рейтинг книги
Неудержимый. Книга XVII

Воин-Врач

Дмитриев Олег
1. Воин-Врач
Фантастика:
попаданцы
альтернативная история
историческое фэнтези
6.00
рейтинг книги
Воин-Врач

Ваше Сиятельство 3

Моури Эрли
3. Ваше Сиятельство
Фантастика:
фэнтези
попаданцы
аниме
5.00
рейтинг книги
Ваше Сиятельство 3

Огненный князь 3

Машуков Тимур
3. Багряный восход
Фантастика:
фэнтези
боевая фантастика
попаданцы
5.00
рейтинг книги
Огненный князь 3

Инженер Петра Великого 4

Гросов Виктор
4. Инженер Петра Великого
Фантастика:
попаданцы
альтернативная история
5.00
рейтинг книги
Инженер Петра Великого 4

Долг

Кораблев Родион
7. Другая сторона
Фантастика:
боевая фантастика
5.56
рейтинг книги
Долг

Гримуар темного лорда IX

Грехов Тимофей
9. Гримуар темного лорда
Фантастика:
попаданцы
альтернативная история
аниме
фэнтези
5.00
рейтинг книги
Гримуар темного лорда IX

Идеальный мир для Лекаря 9

Сапфир Олег
9. Лекарь
Фантастика:
боевая фантастика
юмористическое фэнтези
6.00
рейтинг книги
Идеальный мир для Лекаря 9

Имя нам Легион. Том 6

Дорничев Дмитрий
6. Меж двух миров
Фантастика:
боевая фантастика
рпг
аниме
5.00
рейтинг книги
Имя нам Легион. Том 6

Идеальный мир для Демонолога 8

Сапфир Олег
8. Демонолог
Фантастика:
боевая фантастика
юмористическая фантастика
аниме
5.00
рейтинг книги
Идеальный мир для Демонолога 8

Газлайтер. Том 1

Володин Григорий
1. История Телепата
Фантастика:
попаданцы
альтернативная история
аниме
5.00
рейтинг книги
Газлайтер. Том 1

Росток

Ланцов Михаил Алексеевич
2. Хозяин дубравы
Фантастика:
попаданцы
альтернативная история
фэнтези
7.00
рейтинг книги
Росток

Воронцов. Перезагрузка. Книга 2

Тарасов Ник
2. Воронцов. Перезагрузка
Фантастика:
попаданцы
альтернативная история
фэнтези
5.00
рейтинг книги
Воронцов. Перезагрузка. Книга 2

Стражи душ

Кас Маркус
4. Артефактор
Фантастика:
городское фэнтези
попаданцы
аниме
5.00
рейтинг книги
Стражи душ