Чтение онлайн

на главную - закладки

Жанры

Большая Советская Энциклопедия (ОР)
Шрифт:

В 1869 И. Вислиценус показал, что явление изомерии наблюдается и при совершенно одинаковой последовательности сцепления атомов в молекуле. Он доказал идентичность строения обычной молочной кислоты и мясо-молочной и пришёл к выводу, что тонкие различия в свойствах молекул с одинаковой структурой следует искать в различном расположении их атомов в пространстве. В 1874 Я. Вант-Гофф и французский химик Ж. Ле Бель создали теорию пространств. расположения атомов в молекуле — стереохимию. В основе этой теории, по Вант-Гоффу, лежит представление о тетраэдрической модели четырёхвалентного атома углерода и о том, что оптическая изомерия является следствием пространственной асимметрии молекулы, в которой атом углерода соединён с четырьмя различными заместителями (см. Асимметрический атом). Вант-Гофф высказал также предположение о возможности др. вида пространственной изомерии при отсутствии в молекуле асимметричного атома углерода. Вскоре Вислиценус доказал, что фумаровая кислота, которую ранее считали полимером малеиновой

кислоты, представляет собой её геометрический изомер (геометрическая, или цис-транс– изомерия). Ясно, что стереохимическое учение могло быть создано только на основе представлений о строении (структуре) молекулы в бутлеровском понимании.

К конце 19 в. накопился большой фактический материал, в том числе и по ароматическим соединениям; в частности, широко была изучена химия бензола, открытого М. Фарадеем в 1825. Первая т. н. «бензольная теория» строения ароматических соединений была создана в 1865 Кекуле. В ней высказывается мысль о том, что атомы углерода в органических соединениях могут образовывать кольца. Согласно этой теории, бензол обладает симметричной структурой вследствие кольцеобразного строения сцепленных попеременно простыми и двойными связями шести метиновых СН-групп. Однако, исходя из строения бензола по Кекуле, следовало допустить наличие двух орто-замещённых гомологов или производных бензола, чего на самом деле не наблюдалось. Устойчивость бензола к сильным окислителям и некоторые др. т. н. ароматическим свойства бензола и его производных также противоречили предложенной формуле. Поэтому Кекуле ввёл (1872) представление об осцилляции (быстром перемещении) двойных связей и устранил формальные различия между двумя орто-положениями. Несмотря на то, что строение бензола по Кекуле находилось в противоречии с данными о его физических и химических свойствах, оно долгое время без всяких изменений принималось подавляющим числом химиков. Т. о., остался ряд вопросов, не разрешимых с точки зрения «классической» теории строения. К этим вопросам относится и своеобразие свойств многих др. соединений с сопряжёнными системами связей. Строение бензола и др. ароматических систем могло быть установлено лишь с появлением физических методов исследования и с развитием квантово-химических представлений о строении органических веществ.

Электронные представления [В. Коссель (1916) и Г. Льюис (1916)] придали физическое содержание понятию химической связи (пара обобщённых электронов); однако в том виде, в каком они были сформулированы, эти представления не смогли отразить тонких переходов от ковалентной к ионной связи и в О. х. оставались в значительной степени формальными. Только с помощью квантово-химического учения было вложено принципиально новое содержание в правильные в основном представления электронной теории.

Представления Льюиса о паре электронов, образующих связь и всегда строго локализованных на этой связи, оказались приближёнными и в большинстве случаев не могли быть приняты.

Современные представления теории строения и значение О. х. Учёт квантовых свойств электрона, представления об электронной плотности и о взаимодействии электронов в сопряжённых системах открыли новые возможности для рассмотрения вопросов о строении, взаимном влиянии атомов в молекуле и о реакционной способности органических соединений (см. Электронные теории в органической химии, Квантовая химия). В насыщенных углеводородах одинарные связи С—С (s-связи) действительно реализуются парой электронов; в симметричных углеводородах электронная плотность в пространстве между соединившимися атомами С—С больше суммы соответствующих электронных плотностей тех же изолированных атомов и симметрично распределена относительно оси, соединяющей центры атомов. Увеличение электронной плотности — результат перекрывания электронных облаков атомов по прямой, соединяющей их центры. В несимметричных парафинах появляется возможность неполной симметрии в распределении электронной плотности; однако эта асимметрия столь незначительна, что дипольные моменты всех парафиновых углеводородов почти не обнаруживаются. То же касается и симметрично построенных непредельных углеводородов (например, этилена, бутадиена), у которых атомы С соединены друг с другом двойной связью (s- и p-связью). Введение в молекулы этих веществ электронодонорной метильной группы вследствие высокой поляризуемости p-связи приводит к смещению электронной плотности к крайнему атому углерода, и пропилен (I) уже имеет дипольный момент 0,35 Д, а 1-метилбутадиен — 0,68 Д. Распределение электронной плотности в этих случаях принято изображать одной из следующих схем:

(Знаки d+ и d показывают возникающие частичные заряды на атомах С)

В представления о распределении электронной плотности хорошо укладывается ряд эмпирических правил О. х. Так, из приведённой выше формулы пропилена следует, что при гетеролитическом присоединении к нему галогеноводородов протон должен фиксироваться в месте наибольшей электронной плотности, т. е. у наиболее «гидрогенизированного» атома углерода (см. Марковникова правило). Значительно сильнее сказывается введение в молекулы углеводородов атомов или групп, сильно отличающихся по электроотрицательности от атомов углерода или водорода. Например, введение электрофильного заместителя в молекулы углеводородов ведёт к изменению подвижности атомов водорода в связях С—Н, О—Н и др. Подобного рода взаимное влияние атомов, также объяснимое изменением распределения электронной плотности, быстро затухает у насыщенных соединений и почти без затухания передаётся по цепи сопряжённых связей (см. Сопряжение связей).

Принято различать два

вида электронного влияния заместителей: индуктивное — по цепи s-связей и влияние сопряжения — по цепи с сопряжёнными связями. Так, увеличение кислотности хлоруксусной кислоты (II) по сравнению с уксусной СН3СООН объясняется индуктивным влиянием атомов хлора, а подвижность атомов водорода метильных групп в уксусном (III) или сорбиновом (IV) альдегиде — влиянием сопряжения:

Перераспределение электронной плотности, особенно в момент реакции, происходит не только в связях, которые затрагиваются реакцией, но и в др. частях молекулы. Кажущаяся ненормальность солеобразования n– диметиламиноазобензола (V) с фиксацией протона слабоосновным атомом азота азогруппы объясняется перемещением реакционного центра молекулы вследствие сдвига электронной плотности в момент реакции в направлении, указанном стрелками:

Влияние сопряжения проявляется и в тех случаях, когда два возможных направления реакции органических веществ не обусловлены таутомерией. Так, алкилирование натрийенолятов по атому углерода происходит вследствие перемещения реакционного центра благодаря сопряжению связей:

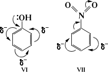
Взаимное влияние атомов в результате сопряжения связей проявляется также в ароматических соединениях (см. Ориентации правила). При электрофильном замещении электронодонорные (нуклеофильные) заместители (VI) ориентируют в орто- и пара– положения, электроноакцепторные (электрофильные) заместители (VII) — в мета– положение:

Т. о., на основании современных квантово-химических представлений разнообразные процессы О. х. нашли естественное объяснение. Теоретические представления О. х. окрепли и получили предсказательные возможности.

В результате развития теоретических и физических методов исследования был окончательно решен вопрос о строении ароматических систем, в том числе и бензола. Строение последнего описывается следующим образом: шесть атомов углерода бензольного кольца находятся в одной плоскости и соединены s-связями; шесть p-электронов составляют единую подвижную электронную систему. Следствием этого является полная подтверждаемая опытом равноценность связей С—С и высокая симметрия бензола с осью шестого порядка. Из этих положений следует, что бензол неполярен и обладает анизотропией диамагнитной восприимчивости. Аналогичными свойствами характеризуются все ароматические системы, у которых число p-электронов равно 4n + 2 (правило Хюккеля). Бензол — далеко не единичный пример соединений с выравненными двойными и простыми связями; аналогичная картина наблюдается у трополона, тропилийбромида, ферроцена, дифенилполиенов и др. Вполне удачного графического изображения строения бензола и др. ароматических соединений выработать не удалось. Для описания их строения используют набор валентных схем (VIII), впервые предложенных Л. Полингом в его резонанса теории, или систему обозначения (IX), где изогнутые стрелки показывают также выравненность связей (впервые применена в теории мезомерии):

Этими же обозначениями пользуются для графической интерпретации равномерного распределения электронной плотности в симметричных ионах, например в карбоксилат-анионе (соответственно Х и XI), при объяснении слабоосновных свойств амидов кислот (XII и XIII) и в др. случаях:

Приблизительно со 2-й половины 20 в. О. х. вступила в новую фазу. Многие направления её развивались столь интенсивно, что выросли в большие специализированные разделы, называется по научному или прикладному признаку (стереохимия, химия полимеров, природных веществ, антибиотиков,витаминов, гормонов,металлоорганических соединений,фторорганических соединений,красителей и др.).

Успехи теории и развитие физических методов исследования (например, рентгенографии молекул, ультрафиолетовой и инфракрасной спектроскопии, раманспектроскопии, ядерного магнитного резонанса, химически индуцированной динамической поляризации ядер, масс-спектрометрии), а также методов идентификации и разделения различных веществ с помощью хроматографии сделали возможным быстрый структурный анализ сложнейших органических соединений и быстрое решение многих важных проблем. Применение физических методов для исследования кинетики реакций органических веществ (см. Кинетика химическая) позволяет изучать реакции с периодом полупревращения 10– 8—10– 9сек. Корреляционные уравнения, основанные на принципе линейности свободной энергии, дают возможность количественной оценки зависимостей между строением и реакционной способностью органических соединений, даже тех, которые обладают физиологическим действием.

Поделиться:
Популярные книги

Барону наплевать на правила

Ренгач Евгений
7. Закон сильного
Фантастика:
боевая фантастика
попаданцы
аниме
5.00
рейтинг книги
Барону наплевать на правила

Идеальный мир для Лекаря 28

Сапфир Олег
28. Лекарь
Фантастика:
юмористическое фэнтези
аниме
фэнтези
5.00
рейтинг книги
Идеальный мир для Лекаря 28

Законы Рода. Том 4

Андрей Мельник
4. Граф Берестьев
Фантастика:
юмористическое фэнтези
аниме
5.00
рейтинг книги
Законы Рода. Том 4

Контртеррор

Валериев Игорь
6. Ермак
Фантастика:
альтернативная история
5.00
рейтинг книги
Контртеррор

Князь Барсов. Том 4

Петров Максим Николаевич
4. РОС. На мягких лапах
Фантастика:
фэнтези
попаданцы
аниме
5.00
рейтинг книги
Князь Барсов. Том 4

Страж Кодекса. Книга III

Романов Илья Николаевич
3. КО: Страж Кодекса
Фантастика:
фэнтези
попаданцы
5.00
рейтинг книги
Страж Кодекса. Книга III

Вечный. Книга VI

Рокотов Алексей
6. Вечный
Фантастика:
рпг
фэнтези
5.00
рейтинг книги
Вечный. Книга VI

Идеальный мир для Лекаря 9

Сапфир Олег
9. Лекарь
Фантастика:
боевая фантастика
юмористическое фэнтези
6.00
рейтинг книги
Идеальный мир для Лекаря 9

Беглец

Бубела Олег Николаевич
1. Совсем не герой
Фантастика:
фэнтези
попаданцы
8.94
рейтинг книги
Беглец

На границе империй. Том 9. Часть 2

INDIGO
15. Фортуна дама переменчивая
Фантастика:
космическая фантастика
попаданцы
5.00
рейтинг книги
На границе империй. Том 9. Часть 2

Имперец. Том 1 и Том 2

Романов Михаил Яковлевич
1. Имперец
Фантастика:
попаданцы
альтернативная история
аниме
5.00
рейтинг книги
Имперец. Том 1 и Том 2

На границе империй. Том 2

INDIGO
2. Фортуна дама переменчивая
Фантастика:
космическая фантастика
7.35
рейтинг книги
На границе империй. Том 2

Здравствуй, 1985-й

Иванов Дмитрий
2. Девяностые
Фантастика:
альтернативная история
5.25
рейтинг книги
Здравствуй, 1985-й

Расческа для лысого

Зайцева Мария
Любовные романы:
современные любовные романы
эро литература
8.52
рейтинг книги
Расческа для лысого