Математика в занимательных рассказах
Шрифт:
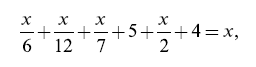
Составив уравнение:
узнаем из его решения (х = 84), что Диофант умер 84 лет, женился 21 года, стал отцом на 38 году и потерял сына на 80 году.
Числовые анекдоты
Барри Пэн [38]
1
— Еще веревочку? — спросила мать, вытаскивая руки из лоханки с бельем. — Можно подумать, что я вся веревочная. Только и слышишь: веревочку да веревочку. Ведь я вчера дала тебе порядочный клубок. На что тебе такая уйма? Куда ты ее девал?
38
Современный английский беллетрист. Английские меры подлинника заменены метрическими, вследствие чего пришлось несколько видоизменить и самые задачи. — Ред.
— Куда девал бечевку? — отвечал мальчуган. — Во-первых, половину ты сама же взяла обратно…
— А чем же прикажешь мне обвязывать пакеты с бельем?
— Половину того, что осталось, взял у меня Том, чтобы удить в канаве колюшек, хотя там и нет никаких колюшек.
— Старшему брату ты всегда должен уступать.
— Я и уступил. Осталось совсем немного, да из того еще папа взял половину для починки подтяжек, которые лопнули у него от смеха, когда случилась беда с автомобилем. А после понадобилось еще сестре взять две пятых оставшегося, чтобы завязать свои волосы узлом…
— Что же ты сделал с остальной бечевкой?
— С остальной? Остальной-то было всего-навсего 30 сантиметров. Вот и устраивай телефон из такого обрывка!
Какую же длину имела бечевка первоначально?
2
Снимая наколенники, спортсмен спросил веселого малого, считавшего очки:
— Сколько у меня, Билл?
— А вот сколько: часы только что пробили по одному разу на каждую пару ваших очков, — затараторил веселый малый. — А если бы у вас было вдвое более того, что у вас есть, то имелось бы у вас втрое против того, что пробьют часы при следующем бое.
Спрашивается: который был час в начале этого разговора?
3
В воскресенье был устроен в школе детский праздник под открытым небом. Пора было звать ребят к чаю. У палатки,
— Да, — сказал пирожник, — будь у нас еще пяток стульев, я мог бы накормить всю компанию в три очереди, по равному числу ребят в каждой. Надо будет поискать, нельзя ли промыслить здесь пять стульев или табуретов.
— Не беспокойтесь, — ответил заведующий, — я распределю их на четыре очереди, в каждой поровну.
— О, тогда на каждую партию придется еще по три лишних стула.
Сколько было детей и сколько стульев?
4
— Зайдите ко мне завтра днем на чашку чая, — сказал старый доктор своему молодому знакомому.
— Благодарю вас. Я выйду в три часа. Может быть, и вы надумаете прогуляться, так выходите в то же время. Встретимся на полпути.
— Вы забываете, что я старик, шагаю в час всего только 3 километра, а вы, молодой человек, проходите, при самом медленном шаге, 4 километра в час. Не грешно бы дать мне немного вперед.
— Справедливо. Так как я прохожу больше вас на 1 километр в час, то, чтобы уравнять нас, я и дам вам этот километр, т. е. выйду на четверть часа раньше. Достаточно?
— Даже очень мило с вашей стороны, — поспешил согласиться старик.
Молодой человек так и сделал: вышел из дому в три четверти третьего и шел со скоростью 4 километра в час. А доктор вышел ровно в три и делал по
3 километра в час. Когда они встретились, старик повернул обратно и направился домой вместе с молодым другом.
Только за чаем сообразил молодой человек, что с льготной четвертью часа вышло не совсем ладно. Он сказал доктору, что из-за этого ему придется в общем итоге пройти вдвое больше, чем доктору.
— Не вдвое, а вчетверо, — возразил доктор, и был прав. Как далеко от дома доктора до дома его молодого знакомого?
5
Возвратившись из театра, где ставили «Фауста», молодой бакалейщик плотно поужинал и лег спать. Возбуждение и переполненный желудок вызвали у него кошмар.
Приснилось ему, что он стоит за прилавком. На прилавке жестянка с чаем, весы и несколько листов оберточной бумаги. Гирь не было.
«Нечем отвешивать, — подумал бакалейщик. — Если забредет покупатель, придется его как-нибудь сплавить».
В ту же минуту появился Мефистофель в красном плаще, застегнутом огромной пряжкой.
— Отвесьте килограмм чаю! — грозно сказал он.
— Слушаюсь, сию минуту пришлем вам на дом… Славная погода нынче, не правда ли? Тепло не по сезону.
— Нечего зубы заговаривать! — рявкнул Мефистофель. — Отвешивайте!
— Простите великодушно… Удивительное происшествие… никогда раньше не случалось… Все наши гири сейчас только отправлены в поверку.
— Вот оно что, — сказал Мефистофель. — А как чашки ваших весов: обе протекают или хоть одна может удержать воду?
— Правая сделана ковшиком, и в нее можно налить воды граммов триста или даже побольше. Левая — совсем плоская.
— Вот и отлично, — сказал Мефистофель, вынимая из-под плаща бутылочку с водой. — В этой бутылочке (сколько она сама весит, я не знаю) ровно 300 граммов воды. Пряжка моего плаща весит 650 граммов. Берите бутылочку и пряжку и отвесьте мне ровно килограмм чаю. Килограмм чистого веса; бумага не в счет.
Совок 14
14. Совок
Фантастика:
попаданцы
рейтинг книги
Шатун. Лесной гамбит
2. Шатун
Фантастика:
боевая фантастика
рейтинг книги
Тигр под елку
4. Наша
Любовные романы:
короткие любовные романы
рейтинг книги
Я уже барон
2. Дорогой барон!
Фантастика:
боевая фантастика
попаданцы
аниме
рейтинг книги
Наследник павшего дома. Том II
2. Расколотый мир [Вайс]
Фантастика:
фэнтези
попаданцы
аниме
рейтинг книги
Хозяйка забытой усадьбы
5. Королевская охота
Любовные романы:
любовно-фантастические романы
рейтинг книги
Последний реанорец. Том I и Том II
1. Высшая Речь
Фантастика:
фэнтези
рейтинг книги
На границе империй. Том 4
4. Фортуна дама переменчивая
Фантастика:
космическая фантастика
рейтинг книги
Огненный наследник
10. Десять Принцев Российской Империи
Фантастика:
попаданцы
аниме
фэнтези
рейтинг книги
