Чтение онлайн

на главную - закладки

Жанры

Микробиология: словарь терминов
Шрифт:

АФЛАТОКСИНЫ – ядовитые вещества (производные кумаринов), вырабатываемые плесневыми грибами, главным образом аспергиллами (Aspergillus flavus, A. parasiticus и др.). Вызывая нарушения в процессе синтеза белка у эукариот, оказывают токсическое действие на многие виды млекопитающих, птиц, рыб; являются потенциальными канцерогенами (в том числе и для человека). Содержатся в продуктах питания и кормах, зараженных плесневыми грибами. Предельно допустимая доза А. в пище – 30 мкг на 1 кг продукта.

АЦЕТАТНОЕ БРОЖЕНИЕ – см. брожение гомоацетатное.

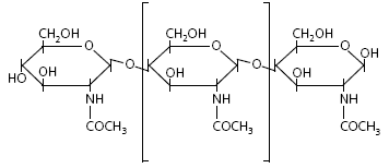
N–АЦЕТИЛГЛЮКОЗАМИН – мономер хитина – главного структурного компонента клеточной стенки грибов

Вместе

с N–ацетилмурамовой кислотой входит в состав структурного комплекса клеточной стенки бактерий – муреина.

n–АЦЕТИЛМУРАМОВАЯ КИСЛОТА – N–ацетилглюкозамин–лактат, соединение, вместе с N–ацетилглюкозамином входящее в состав структурного компонента клеточной стенки эубактерий гетерополимера муреина. Отличается от N–ацетилглюкозамина наличием остатка молочной кислоты, через который посредством тетрапептидного «хвоста» (состоит из L–аланина, D–глутамина, мезо–ди–аминопимелиновой кислоты или L–лизина и D–аланина) происходит сшивка гетерополимерных цепей муреина в гигантскую молекулу и образование структурного компонента клеточной стенки бактерий, так называемого муреинового мешка.

АЦЕТОГЕНЫ – бактерии, образующие уксусную кислоту в анаэробных условиях (см. брожение, карбонатное дыхание).

АЦЕТОНОВЫЙ ПОРОШОК – белковый препарат, получаемый при выделении белков (обычно ферментов). В процессе его изготовления замороженный материал гомогенизируется в ацетоне при температуре ниже минус 30 °C, что предотвращает автолиз и/или инактивацию ферментов.

АЦИДОФИЛИН – кисломолочный продукт, получаемый заквашиванием пастеризованного молока чистой культурой молочнокислых бактерий Lactobacillus acidophilus. Обладает лечебными свойствами.

АЦИДОФИЛЫ – микроорганизмы, нормально развивающиеся на кислых средах (рН 2–4). Облигатные А. могут расти при значениях рН среды 1,0–5,0; факультативные – 1,0–9,0. К А. относятся дрожжи, молочнокислые бактерии, тионовые бактерии и некоторые др.

АЭРАЦИЯ – подача воздуха при проведении аэробного выращивания микроорганизмов. Может осуществляться путем выращивания микроорганизмов на поверхности твердых, уплотненных, полужидких сред, в тонком слое жидких питательных сред, в жидких средах с активным перешиванием их на качалках или путем продувания воздуха через питательные среды.

АЭРОБНОЕ ДЫХАНИЕ – см. дыхание аэробное.

АЭРОБЫ, АЭРОБНЫЕ ОРГАНИЗМЫ – организмы, нуждающиеся в молекулярном кислороде. Облигатные А. получают энергию только за счет аэробного дыхания, при котором кислород играет роль терминального окислителя. Облигатные А., нуждающиеся в пониженной концентрации кислорода в среде (порядка 2 %), получили название микроаэрофилы. Факультативные А. способны существовать как в кислородных, так и в бескислородных условиях, переключаясь с аэробного дыхания на брожение или анаэробное дыхание (дрожжи, энтеробактерии).

АЭРОСОМЫ – газовые полости, внутрицитоплазматические образования преимущественно водных прокариот, позволяющие клеткам сохранять плавучесть или осуществлять вертикальное перемещение в толще воды.

АЭРОТАКСИС – передвижение микроорганизмов к источнику кислорода (положительный А.) или от него (отрицательный А.). Положительный А. свойствен аэробам, отрицательный – анаэробам.

АЭРОТЕНК – сооружение для биологической очистки сточных вод. Представляет собой систему проточных резервуаров с активной аэрацией. В А. происходит интенсивное окисление органических веществ микроорганизмами активного ила.

Б

БАЕОЦИТЫ, БЕОЦИТЫ – мелкие репродуктивные клетки некоторых цианобактерий. Образуются из увеличенной вегетативной

клетки после ряда быстрых бинарных делений. Число Б. на материнскую клетку может колебаться от 4 до 1000.

БАЗИДИОМИЦЕТЫ – широко распространенная и разнообразная по строению группа грибов, составляющая отдел Базидиомикота (Basidiomycota) в царстве Fungi. При половом процессе на мицелии Б. образуются специальные выросты – пряжки, в которых обособляются 2 гаплоидных ядра с разным половым знаком. После слияния ядер – кариогамии – диплоидное ядро в клетке, отделенной от мицелия, делится редукционно; в результате формируются 4 гаплоидных ядра, которые располагаются в разросшейся клетке – базидии. На последней появляются 4 выроста – стеригмы, куда переходят гаплоидные ядра, по одному в каждую. В результате на каждой стеригме образуется гаплоидная базидиоспора. На соответствующем субстрате 2 базидиоспоры сливаются, образуя дикариотичный (двуядерный) мицелий. Органы размножения Б. – базидиоспоры с базидиями – погружены в плодовые тела, образованные мицелием гриба. Слой базидий, часто разделенный специальными стерильными клетками, называют гимением. Характерной особенностью мицелия Б. является наличие пряжек и так называемой долипоровой септы – перегородки между клетками, утолщающейся по направлению к поре, разделяющей отдельные клетки мицелия. Отдел Базидиомикота делят на 3 класса. Класс Урединиомицеты (Urediniomy–cetes) – ржавчинные грибы – отличается отсутствием плодовых тел, разделенной на 4 части базидией – фрагмобазидией. Сюда относятся облигатные паразиты растений – возбудители ржавчины многих культурных и диких видов. Класс Устилягиномицеты (Ustilaginomy–cetes) – головневые грибы. Виды головневых не образуют плодовых тел. Размножаются темноокрашенными, толстостенными телиоспорами. Гаплоидные базидиоспоры, формирующиеся на базидии, могут давать дрожжеподобный рост на поверхности растений и на некоторых искусственных средах. К головневым относятся возбудители головни многих растений. Наиболее широко известная группа Б. входит в класс Базидиомицеты (Basidiomycetes), который состоит из нескольких порядков. К настоящим Б., отличающимся крупными, хорошо заметными плодовыми телами, относятся хорошо известные ядовитые и съедобные виды грибов, в том числе культивируемые искусственно (шампиньон, вешенка, сиитаке). Плодовые тела этих Б. разнообразной формы, консистенции, окраски и размеров (от нескольких миллиметров до 1,5 м). Многие из них – микоризообразователи, а также сапротрофы – разрушители древесины и растительного опада.

БАЗОФИЛИЯ – способность клеточных структур окрашиваться основными (щелочными) красителями, что обусловлено кислотными свойствами окрашивающихся компонентов клетки.

БАЗОФИЛЫ, БАЗОФИЛЬНЫЕ ОРГАНИЗМЫ – см. алкалофилы.

БАКТ (б) – внесистемная единица бактерицидной активности ультрафиолетового излучения. 1 б равен 1 Вт потока энергии излучения при длине волны 255,5 нм.

БАКТЕРИАЛЬНАЯ ДИЗЕНТЕРИЯ – см. дизентерия бактериальная.

БАКТЕРИАЛЬНАЯ ХРОМОСОМА – см. хромосома бактериальная.

БАКТЕРИАЛЬНОЕ ВЫЩЕЛАЧИВАНИЕ МЕТАЛЛОВ – способность ряда ацидофильных микроорганизмов, окисляющих железо и серу (см. литотрофы), переводить сульфиды и элементарную серу в водорастворимые сульфаты металлов. Используется для добычи меди, цинка, никеля, урана и др. металлов из природных руд. Выщелачивание осуществляют аэробные бактерии Thiobacillus (Acidithiobacillus) thiooxidans и T. ferrooxidans, а также археи рода Sulfolobus.

БАКТЕРИАЛЬНОЕ УДОБРЕНИЕ АМБ – культура природного микробного комплекса плодородных почв (сокр. от автохтонная микрофлора группы Б.). Термин характеризует микрофлору, свойственную зонам распада перегноя; в отличие от автохтонной микрофлоры группы А, присущей зонам образования перегноя. Использовалось для интенсификации микробиол. процессов кислых болотных, дерново–подзолистых почв, а также закрытого грунта, что повышало урожай сельскохозяйственных культур.

Поделиться:
Популярные книги

Двойник Короля

Скабер Артемий
1. Двойник Короля
Фантастика:
попаданцы
аниме
фэнтези
фантастика: прочее
5.00
рейтинг книги
Двойник Короля

Тринадцатый

NikL
1. Видящий смерть
Фантастика:
фэнтези
попаданцы
аниме
6.80
рейтинг книги
Тринадцатый

Заход. Солнцев. Книга XII

Скабер Артемий
12. Голос Бога
Фантастика:
фэнтези
попаданцы
аниме
5.00
рейтинг книги
Заход. Солнцев. Книга XII

Неудержимый. Книга XXVII

Боярский Андрей
27. Неудержимый
Фантастика:
фэнтези
попаданцы
5.00
рейтинг книги
Неудержимый. Книга XXVII

Соло. Книга 1

Маханенко Василий Михайлович
1. Соло
Фантастика:
аниме
фэнтези
5.00
рейтинг книги
Соло. Книга 1

Мастер 10

Чащин Валерий
10. Мастер
Фантастика:
боевая фантастика
попаданцы
аниме
5.00
рейтинг книги
Мастер 10

Кодекс Крови. Книга ХI

Борзых М.
11. РОС: Кодекс Крови
Фантастика:
попаданцы
аниме
фэнтези
5.00
рейтинг книги
Кодекс Крови. Книга ХI

Неудержимый. Книга III

Боярский Андрей
3. Неудержимый
Фантастика:
фэнтези
попаданцы
аниме
5.00
рейтинг книги
Неудержимый. Книга III

Вдова на выданье

Шах Ольга
Любовные романы:
любовно-фантастические романы
5.00
рейтинг книги
Вдова на выданье

Под знаком Песца

Видум Инди
1. Под знаком Песца
Фантастика:
альтернативная история
аниме
5.00
рейтинг книги
Под знаком Песца

Искатель 1

Шиленко Сергей
1. Валинор
Фантастика:
фэнтези
попаданцы
рпг
5.00
рейтинг книги
Искатель 1

Папина дочка

Рам Янка
4. Самбисты
Любовные романы:
современные любовные романы
5.00
рейтинг книги
Папина дочка

Законы Рода. Том 7

Андрей Мельник
7. Граф Берестьев
Фантастика:
юмористическое фэнтези
попаданцы
аниме
5.00
рейтинг книги
Законы Рода. Том 7

Я – Орк. Том 4

Лисицин Евгений
4. Я — Орк
Фантастика:
фэнтези
попаданцы
аниме
5.00
рейтинг книги
Я – Орк. Том 4