Чтение онлайн

на главную - закладки

Жанры

Юный техник, 2001 № 01
Шрифт:

12. В закрытом сосуде объема V = 22,4 дм3 находится v1= 1 моль воды и кислород. При температуре t = 100 °C давление в сосуде равно Р = 22· 105 Па. Определить количество кислорода, находящегося в сосуде. (10 класс)

13. Моль

идеального одноатомного газа совершает замкнутый цикл, состоящий из адиабатического расширения, изотермического сжатия и изохорического нагревания. Какая работа была совершена газом в адиабатическом процессе, если в процессе изохорического нагревания газу подвели тепло Q = 10 кДж. (10 класс)

14. Два одинаковых заряженных шарика, подвешенных на нитях одинаковой длины, опускают в керосин. Какова должна быть плотность материала шариков , чтобы угол расхождения нитей в воздухе и в керосине был один и тот же? Диэлектрическая проницаемость керосина = 2, плотность о = 0,8 г/см\ (10 класс)

ВСТУПИТЕЛЬНОЕ ЗАДАНИЕ ПО МАТЕМАТИКЕ

1. Школьники отправились в туристический поход из пункта А в пункт В. В первый день они шли 6 часов и прошли 1/3 всего пути; во второй день они прошли на 10 % меньше. В третий день школьники были в пути только 3 часа и шли со средней скоростью, с которой они шли в первый день. В четвертый день они прошли оставшиеся 9 км. Чему равно расстояние между пунктами А и B?

2. Имеется восемь шариков для подшипника. Один шарик оказался, при равных размерах с остальными, сделанным из более легкого сплава. Как найти этот «легкий» шарик, если имеются весы без гирь, взвешивая шарики только два раза?

3. Сумма цифр двузначного числа равна 14. Если к этому числу прибавить 46, то получится число, произведение цифр которого равно 6. Найти двузначное число.

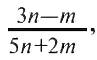
4. Пусть m и n — натуральные числа, причем m/n — правильная несократимая дробь. На какие натуральные числа можно сократить дробь

если известно, что она сократима?

5. Даны два отрезка m и с. С помощью циркуля и линейки построить прямоугольный треугольник, если с — длина гипотезы, m — сумма длин катетов.

6. Аквариум частично заполнен водой. За месяц 40 % воды испарилось. При этом объем воздуха увеличился на 60 %. Какую часть объема аквариума занимала вода в конце месяца?

7. Решить уравнение

8. Группа студентов сдавала экзамен по математике. Число студентов, сдавших экзамен, оказалось в интервале от 96,8 % до 97,6 %. Каково наименьшее возможное число студентов в группе?

9. В равнобедренном треугольнике AВС основание АВ является диаметром окружности, которая пересекает боковые стороны АС и СВ в точках D и Е соответственно. Найти периметр треугольника ABC, если AD = 2, АЕ = 8/3.

10. Найти

все значения параметра а, при которых ровно один корень уравнения х2 + 2(а — 1)x + 3a + 1 = 0 удовлетворяет неравенству х <— 1.

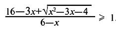
11. Решить неравенство

12. Решить систему

13. В ромбе ABCD из вершины В на сторону AD опущен перпендикуляр BE. Найти углы ромба, если

.

14. Найти все значения параметра а, при которых функция

y = xcos 2х + а cos 6x 7ах строго убывает на всей числовой оси.

ЧИТАТЕЛЬСКИЙ КЛУБ

Вопрос — ответ

«Иногда смотрю в магазине на кассовый аппарат… Кто и когда придумал это устройство?»

Вероника Смольская, 12 лет,

г. Санкт-Петербург

Современный электронный кассовый аппарат, конечно же, ничего общего не имеет с тем первым, изобретенным в 1878 году владельцем салуна из американского города Дейтона Джеймсом Риттн. Мысль об аппарате, регистрирующем количество полученных барменом денег, пришла ему в путешествии на пароходе в Европу. От нечего делать Ритти зашел как-то в машинное отделение парохода и стал наблюдать за действиями механизмов. Его внимание привлек счетчик оборотов винта. Изобретателя осенило: ведь можно сделать прибор, который при нажатии клавиш с цифрами будет печатать чек, делать запись на контрольной ленте и суммировать выручку за день.

В 1879 году Ритти запатентовал свое изобретение, дал ему название «Неподкупный кассир Ритти» и стал выпускать примитивные кассовые аппараты. Вначале торговля шла плохо — владельцы кафе и магазинов не оценили достоинств аппарата. Широко кассы распространились лишь после того, как право на их производство приобрел у изобретателя талантливый бизнесмен Джон Паттерсон. К 1910 году позванивающие кассы стали непременным атрибутом торговли.

А знаете ли вы?

Еще каких-нибудь 25 лет назад кассы фирмы «Нейшенал кэш реджистер» с русской надписью «Националь, изготовленные специально для России после революции, можно было увидеть в наших булочных и бакалеях.

ДАВНЫМ-ДАВНО

Ревностно следя за первыми полетами аэропланов в Европе, военные круги США еще в 1898 г. выделили на исследования в этой области 25 тыс. долларов (огромную сумму по курсу того времени) профессору Смитсоновского института М.Ленгли. Он был известен удачными экспериментами с крупными летающими моделями самолетов (рис. 1).

Они оснащались созданными профессором легкими и мощными паровыми машинами. Размах крыльев одной из последних моделей достигал 4,27 м, а время полета превышало полторы минуты.

Поделиться:
Популярные книги

Седьмой Рубеж VI

Бор Жорж
6. 5000 лет темноты
Фантастика:
фэнтези
попаданцы
5.00
рейтинг книги
Седьмой Рубеж VI

Барон меняет правила

Ренгач Евгений
2. Закон сильного
Фантастика:
фэнтези
попаданцы
аниме
5.00
рейтинг книги
Барон меняет правила

Кодекс Крови. Книга ХIII

Борзых М.
13. РОС: Кодекс Крови
Фантастика:
попаданцы
аниме
фэнтези
5.00
рейтинг книги
Кодекс Крови. Книга ХIII

Адвокат Империи 3

Карелин Сергей Витальевич
3. Адвокат империи
Фантастика:
городское фэнтези
попаданцы
аниме
фэнтези
фантастика: прочее
5.00
рейтинг книги
Адвокат Империи 3

Последний Паладин. Том 7

Саваровский Роман
7. Путь Паладина
Фантастика:
фэнтези
попаданцы
аниме
5.00
рейтинг книги
Последний Паладин. Том 7

Сирота

Ланцов Михаил Алексеевич
1. Помещик
Фантастика:
альтернативная история
5.71
рейтинг книги
Сирота

Кодекс Охотника. Книга XVII

Винокуров Юрий
17. Кодекс Охотника
Фантастика:
фэнтези
попаданцы
аниме
5.00
рейтинг книги
Кодекс Охотника. Книга XVII

Анти-Ксенонская Инициатива

Вайс Александр
7. Фронтир
Фантастика:
боевая фантастика
космическая фантастика
космоопера
5.00
рейтинг книги
Анти-Ксенонская Инициатива

Князь

Мазин Александр Владимирович
3. Варяг
Фантастика:
альтернативная история
9.15
рейтинг книги
Князь

Знойные ветры юга. Часть 1

Чайка Дмитрий
8. Третий Рим
Фантастика:
попаданцы
альтернативная история
5.00
рейтинг книги
Знойные ветры юга. Часть 1

Хозяйка забытой усадьбы

Воронцова Александра
5. Королевская охота
Любовные романы:
любовно-фантастические романы
5.00
рейтинг книги
Хозяйка забытой усадьбы

Кодекс Охотника. Книга VII

Винокуров Юрий
7. Кодекс Охотника
Фантастика:
фэнтези
попаданцы
аниме
4.75
рейтинг книги
Кодекс Охотника. Книга VII

Вперед в прошлое 8

Ратманов Денис
8. Вперед в прошлое
Фантастика:
попаданцы
альтернативная история
5.00
рейтинг книги
Вперед в прошлое 8

Газлайтер. Том 17

Володин Григорий Григорьевич
17. История Телепата
Фантастика:
боевая фантастика
попаданцы
аниме
5.00
рейтинг книги
Газлайтер. Том 17