Чтение онлайн

на главную

Жанры

Шрифт:

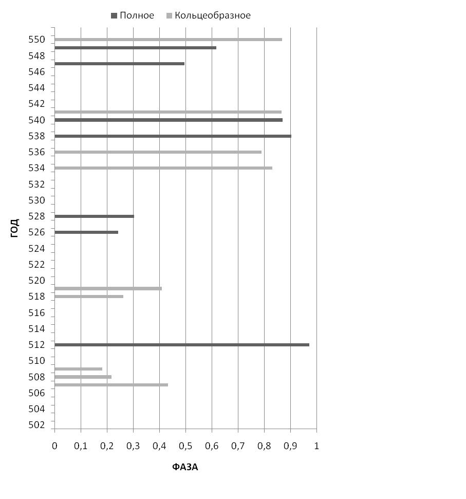
Затмений, идеально удовлетворяющих всем выше перечисленным критериям, я не обнаружил. Однако мне удалось найти одно довольно близкое решение (смотрите рисунки 8-10 и таблицу 11).

Рисунок 8 – Солнечные затмения в Афинах 502-551 гг.

Рисунок 9 –

Солнечные затмения в Афинах 452-501 гг.

Рисунок 10 – Солнечные затмения в Афинах 402-451 гг.

Из графиков видно, что в течение всего пятого и начала шестого столетия, вплоть до 534 года, не было затмений, сравнимых по частоте и фазе с затмениями 534-541 годов (5 затмений за 8 лет). Однако в данном случае второе солнечное затмение приходится аж на середину августа и время между ним и лунным затмением составляет не 11, а 12 лет.

Попробуем установить на основании записей Фукидида, на какое время года могло приходиться второе солнечное затмение. В зависимости от перевода текста на русский язык, говориться, что это затмение случилось либо в начале «лета», либо в начале военной кампании. Если считать, что затмение случилось в начале лета, время наступления которого из года в год неизменно, то это время легко установить. Согласно тексту «Истории», в некоторые годы войны начало летней кампании приходится на период созревания хлебов, что соответствует месяцу маю.

Четвёртый год войны

В следующую летнюю кампанию, в ту пору, когда хлеб начинает созревать, пелопоннесцы вместе с союзниками совершили поход в Аттику (428 г.). [III, 1]

Седьмой год войны

В следующую летнюю кампанию, в ту пору, когда хлеб начинает колоситься (425 г.), десять сиракусских кораблей и столько же локрских вышли в море и по приглашению самих мессенян заняли Мессену, что в Сицилии. [IV, 1]

Поскольку ни в одном из найденных вариантов затмений второе затмение не приходилось на май, значит, речь в книге идёт именно о военных кампаниях, которые в разные годы могли начинаться в разное время. И это вполне логично, ведь ведение военных действий зависело не только от природных факторов, но и от боеготовности собственных войск, действий со стороны союзников или противников, предсказаний оракулов и прочих разных вещей. Поэтому совсем не обязательно считать, что второе солнечное затмение случилось именно весной.

Теперь о том, что касается лунного затмения. «История» Фукидида дошла до нас в восьми книгах, краткое содержание которых сведено в таблицу 12.

Из таблицы 12 видно, что содержание книг выстроено по годам только в первых пяти книгах. В чём тут дело? Оказывается, именно в зимнюю кампанию шестнадцатого года войны афиняне приняли судьбоносное решение о походе на Сицилию, закончившемся для них катастрофой. Именно этим моментом начинается повествование в книге шестой. Начало этой кампании и выделил автор таким образом. Аналогично выделен и конец. Книга седьмая оканчивается описанием событий, произошедших на Сицилии после разгрома афинской армии. А вот окончание книги шестой выглядит на фоне столь грамотно выстроенного повествования довольно непонятно.

 

«История» Фукидида (окончание книги VI):

(104) В это время лакедемонянин Гилипп вместе с кораблями из Коринфа был уже около Левкады и желал подать быструю помощь Сицилии. Но так как к Гилиппу приходили тревожные вести, все одинаково ложные, будто Сиракусы уже окончательно заперты окопами, то он не питал более никакой надежды относительно Сицилии и думал только о спасении Италии. Сам Гилипп и коринфянин Пифен с двумя лаконскими и двумя коринфскими кораблями переправились с величайшею поспешностью через Ионийский залив к Таранту; коринфяне должны были прибыть позже, по снаряжении, сверх своих десяти, еще двух левкадских кораблей и трех ампракийских. Из Таранта Гилипп отправил

прежде всего послов в Фурию, основываясь на том, что его отец некогда получил там права гражданства; но он не мог склонить фуриян на свою сторону и, снявшись с якоря, направился вдоль берегов Италии. На пути Гилипп был застигнут в Тарантском заливе сильным ветром, в этих местах постоянно дующим с севера и относящим корабли в открытое море. Захваченный жестокой бурей, Гилипп снова пристал к Таранту, все пострадавшие от бури корабли вытащил на сушу и занялся починкою их. Никий, узнав о приближении Гилиппа, но, подобно фуриянам, пренебрежительно отнесшись к малому числу его кораблей, думал, что они приспособлены скорее для пиратских набегов и с этою целью крейсируют, а потому не принимал никаких мер предосторожности.

(105) Около той же поры этой летней кампании лакедемоняне и их союзники вторглись в пределы Аргоса и опустошили большую часть его полей. Афиняне явились на помощь аргивянам с тридцатью кораблями, чем самым явным образом был нарушен ими мирный договор с лакедемонянами. Действительно, ранее афиняне совершали разбойничьи набеги из Пилоса, но высаживались не в Лаконике, а в других областях Пелопоннеса, участвуя в военных действиях вместе с аргивянами и мантинеянами, и хотя аргивяне неоднократно предлагали афинянам высадиться в Лаконике с оружием в руках и помочь им в опустошении хотя бы малейшей части ее, а затем уйти обратно, но афиняне отказывались. Теперь, под начальством Пифодора, Лесподия и Демарата, афиняне высадились у Эпидавра Лимерского и Прасий, опустошили эти и другие местности и тем давали лакедемонянам уже значительно более удобный предлог к самозащите против афинян. Когда афиняне с кораблями, а равно и лакедемоняне, вышли из пределов Аргоса, аргивяне вторглись в Флиунтскую область, опустошили ее поля, несколько человек убили и возвратились домой.

«История» Фукидида, книга VII (начало):

 (1) Гилипп и Пифен, починив свои корабли, перешли из Таранта к Локрам Эпизефирским. Получая теперь более точные сведения, именно, что Сиракусы еще не совсем заперты окопами, что, напротив, войску можно еще, подойдя к городу через Эпиполы, войти в него, Гилипп и Пифен стали совещаться о том, рискнуть ли им проникнуть в гавань морем, оставив Сицилию справа, или же плыть сначала к Гимере, имея Сицилию с левой стороны, присоединить как самих гимерян, так и другое войско, какое удастся склонить к тому, и подойти к Сиракусам сухим путем. Решено было плыть к Гимере, особенно ввиду того, что у Регия не было еще тех четырех аттических кораблей, которые все-таки отрядил Никий, когда узнал, что пелопоннесцы находятся у Локров. Пелопоннесцы успели переправиться через пролив до появления сторожевых кораблей афинян, пристали к берегу у Регия и Мессены и достигли Гимеры. Там они вытащили свои корабли на сушу, уговорили гимерян принять участие в походе, следовать за ними и доставить вооружение всем тем гребцам, какие его не имели; затем они послали селинунтянам требование встретить их в определенном месте с войском. Кое-какой небольшой отряд обещали прислать им и гелеяне, а также некоторые сикулы, которые теперь готовы были присоединиться к ним с гораздо большим рвением, нежели прежде: незадолго до того умер Архонид, довольно могущественный и к афинянам расположенный царь некоторых сикулов в области Гимеры, и, кроме того, стало видно, с какою поспешностью явился Гилипп из Лакедемона.

Гилипп вооружил и взял с собою своих около семисот человек гребцов и корабельных воинов, тяжело- и легковооруженных гимерян вместе тысячу человек и сто всадников гимерян, небольшое число легковооруженных и конных селинунтян, немного гелеян, всего до тысячи сикулов, и двинулся к Сиракусам.

И зачем таким способом выделять прибытие Гилиппа?. Если это всё же было необходимо, то пункт 104 из книги VI уместно было бы поместить в книгу VII. Логично предположить, что в седьмой книге речь идёт уже о 19-м годе войны. Тогда лунное затмение произошло на 20-м году войны.

Посмотреть, как могло выглядеть лунное затмение 15 июня 531 года из Сиракуз можно с помощью программы «Стеллариум», www.stellarium.org.

Что касается зимней кампании 18-го года, то её описание просто не дожило до наших дней. Вероятно, «История» является более поздней литературной обработкой записей, сделанных Фукидидом. И это, как говорится, в лучшем случае. Но даже такой вариант вряд ли мог дожить до наших дней в оригинале. Доказательства этому видны невооружённым глазом. Повествование в книгах ведётся то от первого, то от третьего лица. Например, в первой главе книги второй читаем:

Поделиться:
Популярные книги

Ваше Сиятельство 4т

Моури Эрли
4. Ваше Сиятельство
Любовные романы:
эро литература
5.00
рейтинг книги
Ваше Сиятельство 4т

Идеальный мир для Лекаря 9

Сапфир Олег
9. Лекарь
Фантастика:
боевая фантастика
юмористическое фэнтези
6.00
рейтинг книги
Идеальный мир для Лекаря 9

Совок 14

Агарев Вадим
14. Совок
Фантастика:
попаданцы
5.00
рейтинг книги
Совок 14

Идеальный мир для Лекаря 25

Сапфир Олег
25. Лекарь
Фантастика:
фэнтези
юмористическое фэнтези
аниме
5.00
рейтинг книги
Идеальный мир для Лекаря 25

Боец с планеты Земля

Тимофеев Владимир
1. Потерявшийся
Фантастика:
боевая фантастика
космическая фантастика
5.00
рейтинг книги
Боец с планеты Земля

Секретарша генерального

Зайцева Мария
Любовные романы:
современные любовные романы
эро литература
короткие любовные романы
8.46
рейтинг книги
Секретарша генерального

Искатель 3

Шиленко Сергей
3. Валинор
Фантастика:
попаданцы
рпг
фэнтези
5.00
рейтинг книги
Искатель 3

Удержать 13-го

Уолш Хлоя
Любовные романы:
остросюжетные любовные романы
эро литература
зарубежные любовные романы
5.00
рейтинг книги
Удержать 13-го

Княжья Русь

Мазин Александр Владимирович
6. Варяг
Приключения:
исторические приключения
9.04
рейтинг книги
Княжья Русь

70 Рублей

Кожевников Павел
1. 70 Рублей
Фантастика:
фэнтези
боевая фантастика
попаданцы
постапокалипсис
6.00
рейтинг книги
70 Рублей

Кодекс Охотника. Книга XXIX

Винокуров Юрий
29. Кодекс Охотника
Фантастика:
попаданцы
аниме
фэнтези
5.00
рейтинг книги
Кодекс Охотника. Книга XXIX

Неудержимый. Книга XIX

Боярский Андрей
19. Неудержимый
Фантастика:
фэнтези
попаданцы
аниме
5.00
рейтинг книги
Неудержимый. Книга XIX

Моя простая курортная жизнь 5

Блум М.
5. Моя простая курортная жизнь
Любовные романы:
эро литература
5.00
рейтинг книги
Моя простая курортная жизнь 5

Ненаглядная жена его светлости

Зика Натаэль
Любовные романы:
любовно-фантастические романы
6.23
рейтинг книги
Ненаглядная жена его светлости