Чтение онлайн

на главную - закладки

Жанры

Базы данных: конспект лекций
Шрифт:

Сначала составим презентационную диаграмму:

Теперь построим более подробную – ключевую диаграмму:

Рассмотрим пример, наглядно иллюстрирующий такой вид связи, как иерархическая рекурсивная связь. Пусть нам дан следующий класс сущностей, состоящий, как и предыдущий пример, из атрибутов «Код Предка» и «Код Узла». Сначала покажем табличную форму

представления этого класса сущности:

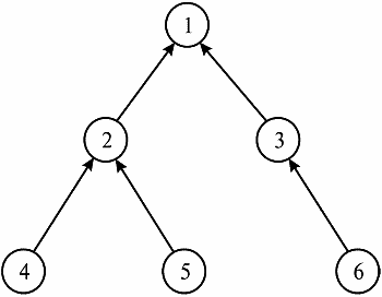
А теперь построим диаграмму, представляющую этот класс сущностей. Для этого выделим из таблицы все необходимые для этого сведения: предка у узла с кодом «единица» не существует или не определен, из этого делаем вывод, что узел «единица» является вершиной. Этот же самый узел «единица» является предком для узлов с кодом «два» и «три». В свою очередь, у узла с кодом «два» имеются два потомка: узел с кодом «четыре» и узел с кодом «пять». А у узла с кодом «три» – только один потомок – узел с кодом «шесть».

Итак, с учетом всего вышесказанного построим древовидную структуру, отражающую информацию о данных, заложенную в предыдущей таблице:

Итак, мы увидели, что представлять древовидные структуры действительно удобно при помощи иерархической рекурсивной связи.

2. Сетевая рекурсивная связь

Сетевая рекурсивная связь классов сущностей между собой является как бы многомерным аналогом уже пройденной нами иерархической рекурсивной связи.

Только если иерархическая рекурсия определялась как рекурсивная связь типа «не более одного ко многим», то сетевая рекурсия представляет собой такую же рекурсивную связь, только уже типа «многие ко многим». Из-за того что в этой связи с каждой стороны участвует много классов сущностей, ее и называют сетевой.

Как уже можно догадаться по аналогии с рекурсией иерархической, связи вида сетевой рекурсии предназначены для представления графовых структур данных (тогда как иерархические связи применяются, как мы помним, исключительно для реализации древовидных структур).

Но, так как в связи вида сетевой рекурсии заданы связи типа именно «многие ко многим», без их дополнительной детализации не обойтись. Поэтому для уточнения всех имеющихся в схеме связей типа «многие ко многим» становится необходимым создать новый самостоятельный класс сущностей, содержащий все ссылки на предка или потомка связи «Предок – Потомок». Такой класс в общем случае называется классом ассоциативных сущностей.

В нашем частном случае (в базах данных, подлежащих рассмотрению в нашем курсе) ассоциативная сущность не имеет собственных дополнительных атрибутов и называется именующей, так как именует связи «Предок – Потомок» путем ссылок на них. Таким образом, первичный ключ класса сущностей, представляющего узлы сети, должен дважды мигрировать в классы ассоциативных сущностей. В этом классе мигрировавшие ключи в совокупности должны образовывать составной первичный ключ.

Из всего вышесказанного можно сделать вывод, что устанавливающие связи при использовании сетевой рекурсии должны быть не полностью идентифицирующими и никакими другими.

Так же как и при использовании иерархической рекурсивной связи, при применении в качестве связи сетевой рекурсии ни один атрибут не может появляться дважды в одном классе сущностей под одним и тем же именем. Поэтому, как и в прошлый раз, специально оговаривается,

что все атрибуты мигрирующего ключа обязательно должны получить имя роли.

Для иллюстрирования работы сетевой рекурсивной связи, построим презентационную и ключевую диаграммы, реализующие сетевую рекурсию в реляционной модели данных.

Сначала представим презентационную диаграмму:

А теперь построим более подробную ключевую диаграмму:

Что мы здесь видим? А видим мы, что обе связи, имеющиеся в данной ключевой диаграмме, являются связями вида «многие к одному». Причем кратность «0… » или кратность «много» стоит на конце связи, обращенной к именующему классу сущностей. Действительно, ведь ссылок много, а ссылаются они все на какой-то один код узла, являющийся первичным ключом класса сущностей «Узлы».

И, наконец, рассмотрим пример, иллюстрирующий работу такого вида связи классом сущностей как сетевая рекурсия. Пусть нам дано табличное представление некоторого класса сущностей, а также именующий класс сущностей, содержащий информацию о ссылках. Приведем эти таблицы.

Узлы:

Ссылки:

Действительно, вышеприведенное представление исчерпывающе: оно дает всю необходимую информацию для того, чтобы без труда воспроизвести зашифрованную здесь графовую структуру. Например, мы без всяких препятствий можем увидеть, что у узла с кодом «один» имеются три потомка соответственно с кодами «два», «три» и «четыре». Также мы видим, что у узлов с кодами «два» и «три» потомков не имеется вообще, а у узла с кодом «четыре» имеются (также как и у узла «один») три потомка с кодами «один», «два» и «три».

Изобразим граф, заданный классами сущностей, приведенными выше:

Итак, только что построенный нами граф и является теми данными, для связывания классов сущностей которых и использовалась связь вида сетевой рекурсии.

3. Ассоциация

Из всех видов связей, входящих в рассмотрение нашего конкретного курса лекций, рекурсивными связями являются только две. Мы их уже успели рассмотреть, это соответственно иерархическая и сетевая рекурсивные связи.

Все остальные виды связей, которые нам предстоит рассмотреть, не являются рекурсивными, а представляют собой, как правило, связь нескольких родительских и нескольких дочерних классов сущностей. Причем, как можно догадаться, родительские и дочерние классы сущностей теперь уже никогда не будут совпадать (действительно, ведь речь уже не идет о рекурсии).

Связь, о которой пойдет речь в этом параграфе лекции, называется ассоциацией и относится как раз к нерекурсивному виду связей.

Итак, связь, называемая ассоциацией, реализуется как взаимосвязь между несколькими родительскими классами сущностей и одним дочерним классом сущностей. И при этом, что любопытно, эта взаимосвязь описывается связями различных типов.

Поделиться:
Популярные книги

Росток

Ланцов Михаил Алексеевич
2. Хозяин дубравы
Фантастика:
попаданцы
альтернативная история
фэнтези
7.00
рейтинг книги
Росток

Знойные ветры юга ч.2

Чайка Дмитрий
9. Третий Рим
Фантастика:
попаданцы
альтернативная история
5.00
рейтинг книги
Знойные ветры юга ч.2

Бастард Императора

Орлов Андрей Юрьевич
1. Бастард Императора
Фантастика:
фэнтези
аниме
5.00
рейтинг книги
Бастард Императора

Печать Пожирателя

Соломенный Илья
1. Пожиратель
Фантастика:
попаданцы
аниме
сказочная фантастика
фэнтези
5.00
рейтинг книги
Печать Пожирателя

Тринадцатый XIII

NikL
13. Видящий смерть
Фантастика:
городское фэнтези
аниме
фэнтези
попаданцы
5.00
рейтинг книги
Тринадцатый XIII

Доктор. Заново

Афанасьев Семён
1. Доктор
Фантастика:
фэнтези
альтернативная история
5.86
рейтинг книги
Доктор. Заново

Купец из будущего 2

Чайка Дмитрий
2. Третий Рим
Фантастика:
попаданцы
альтернативная история
5.00
рейтинг книги
Купец из будущего 2

Мастер 4

Чащин Валерий
4. Мастер
Фантастика:
героическая фантастика
боевая фантастика
попаданцы
5.00
рейтинг книги
Мастер 4

Неофит

Вайт Константин
1. Аннулет
Фантастика:
попаданцы
альтернативная история
аниме
5.00
рейтинг книги
Неофит

Точка Бифуркации VII

Смит Дейлор
7. ТБ
Фантастика:
фэнтези
попаданцы
аниме
5.00
рейтинг книги
Точка Бифуркации VII

Идеальный мир для Лекаря 19

Сапфир Олег
19. Лекарь
Фантастика:
юмористическое фэнтези
аниме
5.00
рейтинг книги
Идеальный мир для Лекаря 19

Барон Дубов 2

Карелин Сергей Витальевич
2. Его Дубейшество
Фантастика:
юмористическое фэнтези
аниме
сказочная фантастика
фэнтези
5.00
рейтинг книги
Барон Дубов 2

Кротовский, не начинайте

Парсиев Дмитрий
2. РОС: Изнанка Империи
Фантастика:
городское фэнтези
попаданцы
альтернативная история
5.00
рейтинг книги
Кротовский, не начинайте

Ружемант

Лисицин Евгений
1. Ружемант
Фантастика:
попаданцы
рпг
аниме
5.00
рейтинг книги
Ружемант