Чтение онлайн

на главную - закладки

Жанры

Фейнмановские лекции по физике. 4. Кинетика. Теплота. Звук
Шрифт:

Давайте посмотрим, что случится, если ящик разделен на две части движущимся поршнем и каждое отделение заполне­но разным газом, как это показано на фиг. 39.2 (для простоты предположим, что имеются два одноатомных газа, скажем, гелий и неон).

Фиг. 39. 2. Атомы двух разных одноатомных газов, разделенных подвижным поршнем.

В отделении 1 атомы массы m1движутся со скоростью v1, а в единице объема их насчитывается n1 штук, в отделении 2 эти числа соответственно равны m2, v2 и n2. При каких же условиях достигается равновесие?

Разумеется,

бомбардировка слева заставляет поршень дви­гаться вправо и сжимает газ во втором отделении, затем то же самое происходит справа и поршень ходит так взад и вперед, пока давление с обеих сторон не сравняется, и тогда поршень остановится. Мы можем устроить так, чтобы давление с обеих сторон было одинаковым, для этого нужно, чтобы внутренние энергии, приходящиеся на единичный объем, были одинако­выми или чтобы произведения числа частиц nв единице объе­ма на среднюю кинетическую энергию было одинаковым в обо­их отделениях. Сейчас мы попытаемся доказать, что при рав­новесии должны быть одинаковы и отдельные сомножители. Пока мы знаем только, что равны между собой произведения чисел частиц в единичных объемах на средние кинетические энергии

это следует из условия равенства давлений и из (39.8). Нам пред­стоит установить, что по мере постепенного приближения к равновесию, когда температуры газов сравниваются, выполня­ется не только это условие, а происходит и еще кое-что.

Чтобы было яснее, предположим, что нужное давление слева в ящике достигается за счет очень большой плотности, но малых скоростей. При больших nи малых v можно получить то же самое давление, что и при малых nи больших v. Атомы, если они плотно упакованы, могут двигаться медленно, или атомов может быть совсем немного, но ударяют они о поршень с боль­шей силой. Установится ли равновесие навсегда? Сначала кажется, что поршень никуда не сдвинется и так будет всегда, но если продумать все еще раз, то станет ясно, что мы упустили одну очень важную вещь. Дело в том, что давление на поршень вовсе не равномерное, поршень-то раскачивается точно так же, как барабанная перепонка, о которой мы говорили в начале главы, ведь каждый новый удар не похож на предыдущий. Получается не постоянное равномерное давление, а скорее нечто вроде барабанной дроби — давление непрерывно меня­ется, и наш поршень как бы постоянно дрожит. Предположим, что атомы правого отделения ударяют о поршень более или менее равномерно, а слева атомов меньше, и удары их редки, но очень энергичны. Тогда поршень то и дело будет получать очень сильный импульс слева и отходить вправо, в сторону более медленных атомов, причем скорость этих атомов будет возрастать. (При столкновении с поршнем каждый атом приоб­ретает или теряет энергию в зависимости от того, в какую сто­рону движется поршень в момент столкновения.) После не­скольких столкновений поршень качнется, потом еще, еще и еще..., газ в правом отделении будет время от времени встря­хиваться, а это приведет к увеличению энергии его атомов, и движение их ускорится. Так будет продолжаться до тех пор, пока не уравновесятся качания поршня. А равновесие уста­новится тогда, когда скорость поршня станет такой, что он будет отбирать у атомов энергию так же быстро, как и отдавать. Итак, поршень движется с какой-то средней скоростью, и нам предстоит найти ее. Если нам это удастся, мы подойдем к ре­шению задачи поближе, потому что атомы должны подогнать свои скорости так, чтобы каждый газ получал через поршень ровно столько энергии, сколько теряет.

Очень трудно рассчитать движение поршня во всех деталях; хотя все это очень легко понять, оказывается, что проанализи­ровать это несколько труднее. Прежде чем приступить к такому анализу, решим другую задачу: пусть ящик заполнен молеку­лами двух сортов с массами m1и m2, скоростями v1и v2 и т. д.; теперь молекулы смогут познакомиться поближе. Если сначала все молекулы № 2 покоятся, то долго это продолжаться не может, потому что о них будут ударять молекулы № 1 и сооб­щать им какую-то скорость. Если молекулы № 2 могут двигать­ся значительно быстрее, чем молекулы № 1, то все равно рано или поздно им придется отдать часть своей энергии более медленным молекулам. Таким образом, если ящик заполнен смесью двух газов, то проблема состоит в определении относительной скорости молекул обоих сортов.

Это тоже очень трудная задача, но мы все-таки решим ее. Сначала нам придется решить «подзадачу» (опять это один из тех случаев, когда, независимо от того как решается задача, окончательный результат запоминается легко, а вывод требует большого искусства). Предположим, что перед нами две стал­кивающиеся молекулы, обладающие разными массами; во из­бежание осложнений мы наблюдаем за столкновением из сис­темы их центра масс (ц. м.), откуда легче уследить за ударом молекул. По законам столкновений, выведенным из законов сохранения импульса и энергии, после столкновения молекулы могут двигаться только так, что каждая сохраняет величину своей первоначальной скорости, и изменить они могут только направление движения. Типичное столкновение выглядит так, как его изобразили на фиг. 39.3.

Фиг. 39. 3. Столкновение двух неодинаковых молекул, если смот­реть из системы центра масс.

Предположим на минутку, что мы наблюдаем столкновения, системы центра масс которых покоятся. Кроме того, надо предположить, что все молекулы движутся горизонтально. Конечно, после первого же столкнове­ния

часть молекул будет двигаться уже под каким-то углом к исходному направлению. Иначе говоря, если вначале все молекулы двигались горизонтально, то спустя некоторое вре­мя мы обнаружим уже вертикально движущиеся молекулы. После ряда других столкновений они снова изменят направле­ние и повернутся еще на какой-то угол. Таким образом, если кому-нибудь и удастся сначала навести порядок среди моле­кул, то все равно они очень скоро разбредутся по разным на­правлениям и с каждым разом будут все больше и больше распыляться. К чему же это в конце концов приведет? Ответ: Любая пара молекул будет двигаться в произвольно выбранном направлении столь же охотно, как и в любом другом. После этого дальнейшие столкновения уже не смогут изменить распределе­ния молекул.

Что имеется в виду, когда говорят о равновероятном дви­жении в любом направлении? Конечно, нельзя говорить о вероятности движения вдоль заданной прямой — прямая слишком тонка, чтобы к ней можно было относить вероятность, а следует взять единицу «чего-нибудь». Идея заключается в том, что через заданный участок сферы с центром в точке столк­новения проходит столько же молекул, сколько через любой другой участок сферы. В результате столкновений молекулы распределяются по направлениям так, что любым двум равным по площади участкам сферы будут соответствовать равные ве­роятности (т. е. одинаковое число прошедших через эти участки молекул).

Между прочим, если мы будем сравнивать первоначальное направление и направление, образующее с ним какой-то угол 0, то интересно, что элементарная площадь на сфере единичного радиуса равна произведению 2p на sinqdq, или, что то же самое, на дифференциал cosq. Это означает, что косинус угла 9 между двумя направлениями с равной вероятностью принимает лю­бое значение между -1 и +1.

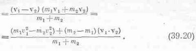
Теперь нам надо вспомнить о том, что имеется на самом деле; ведь у нас нет столкновений в системе центра масс, а сталки­ваются два атома с произвольными векторными скоростями v1 и v2. Что происходит с ними? Мы поступим так: снова перей­дем к системе центра масс, только теперь она движется с «ус­редненной по массам» скоростью vц.м.=(m1v1+m2v2)/(m1+m2). Если следить за столкновением из системы центра масс, то оно будет выглядеть так, как это изображено на фиг. 39.3, только надо подумать об относительной скорости столкновения w. Относительная скорость равна v1– v2. Дело, следовательно, обстоит так: движется система центра масс, а в системе центра масс молекулы сближаются с относительной скоростью w; столк­нувшись, они движутся по новым направлениям. Пока все это происходит, центр масс все время движется с одной и той же скоростью без изменений.

Ну и что же получится в конце концов? Из предыдущих рассуждений делаем следующий вывод: при равновесии все направления, w равновероятны относительно направления дви­жения центра масс. Это означает, что в конце концов не будет никакой корреляции между направлением относительной ско­рости и движением центра масс. Если бы даже такая корреля­ция существовала вначале, то столкновения ее бы разрушили и она в конце концов исчезла бы полностью. Поэтому сред­нее значение косинуса угла между w и vц.м. равно нулю. Это значит, что

<w·vц.м.>=0. (39.19)

Скалярное произведение w·vц.м. легко выразить через v1 и v2:

Займемся сначала v1·v2; чему равно среднее v1·v2? Иначе го­воря, чему равно среднее проекции скорости одной молекулы на направление скорости другой молекулы? Ясно, что вероят­ности движения молекулы как в одну сторону, так и в проти­воположную одинаковы. Среднее значение скорости v2 в любом направлении равно нулю. Поэтому и в направлении v1 среднее значение v2 тоже равно нулю. Итак, среднее значение v1·v2 равно нулю! Следовательно, мы пришли к выводу, что среднее т1v21должно быть равно т2v22. Это значит, что средние кинети­ческие энергии обеих молекул должны быть равны:

Поделиться:
Популярные книги

Я все еще князь. Книга XXI

Дрейк Сириус
21. Дорогой барон!
Фантастика:
юмористическое фэнтези
попаданцы
аниме
5.00
рейтинг книги
Я все еще князь. Книга XXI

Кукловод

Майерс Александр
4. Династия
Фантастика:
попаданцы
аниме
5.00
рейтинг книги
Кукловод

Прометей: владыка моря

Рави Ивар
5. Прометей
Фантастика:
фэнтези
5.97
рейтинг книги
Прометей: владыка моря

Идеальный мир для Лекаря 5

Сапфир Олег
5. Лекарь
Фантастика:
фэнтези
юмористическая фантастика
аниме
5.00
рейтинг книги
Идеальный мир для Лекаря 5

Секретарша генерального

Зайцева Мария
Любовные романы:
современные любовные романы
эро литература
короткие любовные романы
8.46
рейтинг книги
Секретарша генерального

Дорогами алхимии

Видум Инди
2. Под знаком Песца
Фантастика:
альтернативная история
аниме
5.00
рейтинг книги
Дорогами алхимии

Личный аптекарь императора. Том 5

Карелин Сергей Витальевич
5. Личный аптекарь императора
Фантастика:
городское фэнтези
попаданцы
аниме
сказочная фантастика
фэнтези
7.50
рейтинг книги
Личный аптекарь императора. Том 5

Деревенщина в Пекине 3

Афанасьев Семен
3. Пекин
Фантастика:
попаданцы
дорама
5.00
рейтинг книги
Деревенщина в Пекине 3

Мастер 7

Чащин Валерий
7. Мастер
Фантастика:
фэнтези
боевая фантастика
попаданцы
технофэнтези
аниме
5.00
рейтинг книги
Мастер 7

На крыльях любви. Лебедь

Грин Эмилия
Любовные романы:
5.00
рейтинг книги
На крыльях любви. Лебедь

Графиня с изъяном. Тайна живой стали

Лин Айлин
Фантастика:
фэнтези
героическая фантастика
киберпанк
5.00
рейтинг книги
Графиня с изъяном. Тайна живой стали

Гримуар темного лорда II

Грехов Тимофей
2. Гримуар темного лорда
Фантастика:
фэнтези
попаданцы
аниме
5.00
рейтинг книги
Гримуар темного лорда II

Инженер Петра Великого 4

Гросов Виктор
4. Инженер Петра Великого
Фантастика:
попаданцы
альтернативная история
5.00
рейтинг книги
Инженер Петра Великого 4

На границе империй. Том 2

INDIGO
2. Фортуна дама переменчивая
Фантастика:
космическая фантастика
7.35
рейтинг книги
На границе империй. Том 2