Чтение онлайн

на главную - закладки

Жанры

Фейнмановские лекции по физике. 6. Электродинамика
Шрифт:

Сейчас мы хотим взглянуть в общем виде на поведение элек­трических и магнитных полей в пустом пространстве вдалеке от источников, т. е. от токов и зарядов. Очень близко от них (так близко, что источники за время запаздывания передачи не успевают сильно измениться) поля очень похожи на те, которые получились у нас в электростатике или магнитостати­ке. Но если перейти к таким большим расстояниям, что запаз­дывание станет заметным, то природа полей может радикально отличаться от тех решений, которые мы нашли. Когда поля значительно удаляются ото всех источников, они начинают в некотором смысле приобретать свой собственный характер. Так что мы вправе приступить к обсуждению поведения полей в области, где нет ни токов, ни зарядов.

Предположим, что нас

интересует род полей, которые могут существовать в областях, где и r и j равны нулю. В гл. 18 мы видели, что физику уравнений Максвелла можно также выразить на языке дифференциальных уравнений для скаляр­ного и векторного потенциалов:

(20.4)

(20.5)

Если r и j равны нулю, то эти уравнения упрощаются:

(20.6)

(20.7)

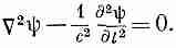
Стало быть, в пустом пространстве и скалярный потенциал j, и каждая компонента векторного потенциала А удовлетворяют одному и тому же математическому уравнению. Пусть буквой y (пси) мы обозначили любую из четырех величин j, Ах, Ау, Аг; тогда нам нужно изучить общие решения уравнения

(20.8)

Его называют трехмерным волновым уравнением — трехмер­ным потому, что функция y может в общем случае зависеть от х, у и z и следует учитывать изменения по каждой из этих координат. Это становится ясным, если мы выпишем явно три члена оператора Лапласа:

(20.9)

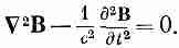
В пустом пространстве электрические и магнитные поля Е и В тоже удовлетворяют волновому уравнению. Так, поскольку B=СXА, дифференциальное уравнение для В можно получить, взяв ротор от уравнения (20.7). Раз лапласиан — это скаляр­ный оператор, то порядок операций вычисления лапласиана и ротора можно переставлять:

Точно так же можно переставлять и вычисление rot и d/dt:

Из этого мы получаем следующее дифференциальное уравнение

для В:

(20.10)

Тем самым выясняется, что компонента магнитного поля В удовлетворяет трехмерному волновому уравнению. Подобно этому, из того факта, что Е=-Сj-dAJdt, следует, что электрическое поле Е в пустом пространстве удовлетворяет трех­мерному волновому уравнению

(20.11)

Все наши электромагнитные поля подчиняются одному и тому же уравнению (20.8). Можно еще спросить: каково самое общее решение этого уравнения? Однако прежде, чем решать этот трудный вопрос, сначала посмотрим, что можно сказать в общем случае о тех решениях, в которых по у и по z ничего не меняется. (Всегда сначала беритесь за простые случаи, чтобы было видно, чего следует ожидать, а уж потом можете перехо­дить к случаям посложней.) Предположим, что величина полей зависит только от х, так

что по у и по z поля не меняются. Мы, следовательно, опять рассматриваем плоские волны и должны ожидать, что получатся те же результаты, что и в пре­дыдущей главе. И мы действительно получим в точности те же самые ответы. Вы можете спросить: «Но зачем снова делать то же самое?» Это важно, во-первых, потому, что мы не доказа­ли, что найденные нами волны представляют собой самое общее решение для плоских волн, и, во-вторых, потому что наши поля произошли от источника тока особого вида. Сейчас мы хотели бы выяснить такой вопрос: каков самый общий вид одномер­ной волны в пустом пространстве? Мы не узнаем этого, если будем рассматривать тот или иной источник особого вида, нам нужна большая общность. Кроме того, на этот раз мы бу­дем работать не с интегральной формой уравнений, а с диффе­ренциальной. Хотя итог одинаков, это прекрасный случай поупражняться в выкладках и убедиться в том, что не имеет значения, каким путем идти. Вы должны уметь действовать любым путем, потому что, наткнувшись на трудную задачу, вы часто обнаруживаете, что годится лишь один из многих способов расчета.

Можно было бы прямо рассмотреть решение волнового урав­нения для какой-нибудь из электромагнитных величин. Вместо этого мы начнем прямо с начала, с уравнений Максвелла для пустого пространства, и вы убедитесь в их тесной связи с элек­тромагнитными волнами. Так что мы отправляемся от уравне­ний (20.1), полагая, что в них токи и заряды равны нулю. Они обращаются в

(20.12)

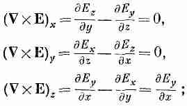
Распишем первое уравнение покомпонентно:

(20.13)

Мы предположили, что по у и z поле не меняется, так что два последних члена равны нулю. Тогда, согласно (20.13),

(20.14)

Решением его является постоянное в пространстве Ех(компо­нента электрического поля в направлении х). Взглянув на уравнение IV в (20.12) и полагая, что В тоже не изменяется вдоль y и z, вы убедитесь, что Ехпостоянно и во времени. Таким по­лем может оказаться постоянное поле от какого-то заряженного конденсатора вдали от этого конденсатора. Нас сейчас не за­нимают такие неинтересные статические поля; мы интересуем­ся лишь динамически изменчивыми полями. А для динамиче­ских полей Ех=0.

Итак, мы пришли к важному результату о том, что при распространении плоских волн в произвольном направлении электрическое поле должно располагаться поперек направления своего распространения. Конечно, у него еще остается возмож­ность каким-то сложным образом изменяться по координате х.

Поперечное поле Е можно всегда разбить на две компонен­ты, скажем на у и z. Так что сначала разберем случай наличия у электрического ноля только одной поперечной компоненты. Для начала возьмем электрическое поле, направленное по у, т. е. с нулевой z-компонентой. Ясно, что, решив эту задачу, мы всегда сможем разобрать и тот случай, когда электрическое поле всюду направлено по z. Общее решение можно всегда представить в виде суперпозиции двух таких полей.

Какими простыми стали теперь наши уравнения! Теперь единственная ненулевая компонента электрического поля — это Еу, и все производные (кроме производных по х) тоже рав­ны нулю. Остатки уравнений Максвелла выглядят чрезвычайно просто.

Рассмотрим теперь второе из уравнений Максвелла [т. е. II из (20.12)]. Расписав компоненты rot E, получаем

Поделиться:
Популярные книги

Контртеррор

Валериев Игорь
6. Ермак
Фантастика:
альтернативная история
5.00
рейтинг книги
Контртеррор

Князь Мещерский

Дроздов Анатолий Федорович
3. Зауряд-врач
Фантастика:
альтернативная история
8.35
рейтинг книги
Князь Мещерский

Первый среди равных. Книга X

Бор Жорж
10. Первый среди Равных
Фантастика:
попаданцы
аниме
фэнтези
фантастика: прочее
5.00
рейтинг книги
Первый среди равных. Книга X

Эволюционер из трущоб. Том 6

Панарин Антон
6. Эволюционер из трущоб
Фантастика:
попаданцы
аниме
фэнтези
5.00
рейтинг книги
Эволюционер из трущоб. Том 6

Ведунские хлопоты

Билик Дмитрий Александрович
5. Бедовый
Фантастика:
юмористическое фэнтези
городское фэнтези
мистика
5.00
рейтинг книги
Ведунские хлопоты

Идеальный мир для Демонолога 2

Сапфир Олег
2. Демонолог
Фантастика:
боевая фантастика
юмористическая фантастика
аниме
5.00
рейтинг книги
Идеальный мир для Демонолога 2

Личный аптекарь императора. Том 5

Карелин Сергей Витальевич
5. Личный аптекарь императора
Фантастика:
городское фэнтези
попаданцы
аниме
сказочная фантастика
фэнтези
7.50
рейтинг книги
Личный аптекарь императора. Том 5

Виктор Глухов агент Ада. Компиляция. Книги 1-15

Сухинин Владимир Александрович
Виктор Глухов агент Ада
Фантастика:
фэнтези
героическая фантастика
боевая фантастика
попаданцы
5.00
рейтинг книги
Виктор Глухов агент Ада. Компиляция. Книги 1-15

Враг из прошлого тысячелетия

Еслер Андрей
4. Соприкосновение миров
Фантастика:
фэнтези
попаданцы
аниме
5.00
рейтинг книги
Враг из прошлого тысячелетия

Я еще не барон

Дрейк Сириус
1. Дорогой барон!
Фантастика:
боевая фантастика
попаданцы
аниме
5.00
рейтинг книги
Я еще не барон

Третий. Том 3

INDIGO
Вселенная EVE Online
Фантастика:
боевая фантастика
космическая фантастика
попаданцы
5.00
рейтинг книги
Третий. Том 3

Инженер Петра Великого 5

Гросов Виктор
5. Инженер Петра Великого
Фантастика:
попаданцы
альтернативная история
фэнтези
4.75
рейтинг книги
Инженер Петра Великого 5

Хозяин Теней

Петров Максим Николаевич
1. Безбожник
Фантастика:
попаданцы
аниме
фэнтези
5.00
рейтинг книги
Хозяин Теней

Идеальный мир для Лекаря 10

Сапфир Олег
10. Лекарь
Фантастика:
юмористическое фэнтези
аниме
5.00
рейтинг книги
Идеальный мир для Лекаря 10