Чтение онлайн

на главную - закладки

Жанры

Фейнмановские лекции по физике. 6. Электродинамика
Шрифт:

Мы знаем, что плотность энергии в волне зависит от квадрата амплитуды волны. По мере того как волна разбегается, ее энергия расплывается на все большую и большую площадь, пропорциональную квадрату радиуса волны. Если полная энер­гия сохраняется, плотность энергии должна убывать как 1/r2, а амплитуда — как 1/r. Поэтому формула (20.35) для сфери­ческой волны вполне «разумна».

Мы игнорировали другое возможное решение одномерного волнового уравнения

или

Это

тоже сферическая волна, но бегущая внутрь, от больших r к началу координат.

Тем самым мы делаем некоторое специальное предположе­ние. Мы утверждаем (без какого-либо доказательства), что волны, создаваемые источником, всегда бегут только от него. Поскольку мы знаем, что волны вызываются движением заря­дов, мы настраиваемся на то, что волны бегут от зарядов. Было бы довольно странно представлять, что прежде чем заряды были приведены в движение, сферическая волна уже вышла из бесконечности и прибыла к зарядам как раз в тот момент, когда они начали шевелиться. Такое решение возможно, но опыт по­казывает, что, когда заряды ускоряются, волны распростра­няются от зарядов, а не к ним. Хоть уравнения Максвелла предоставляют обеим волнам равные возможности, мы привле­каем добавочный факт, основанный на опыте, что «физическим смыслом» обладает только расходящаяся волна.

Нужно, однако, заметить, что из этого добавочного пред­положения вытекает интересное следствие: мы теряем при этом симметрию относительно времени, которая есть у уравнений Максвелла. Как исходные уравнения для Е и В, так и вытекающие из них волновые уравнения при изменении знака t не ме­няются. Эти уравнения утверждают, что любому решению, ко­торое отвечает волне, бегущей в одну сторону, отвечает столь же правильное решение для волны, бегущей в обратную сторону. И утверждая, что мы намерены брать в расчет только расходя­щиеся сферические волны, мы делаем тем самым важное допол­нительное предположение. (Очень тщательно изучалась такая электродинамика, в которой обходятся без этого дополнитель­ного предположения. Как это ни удивительно, но во многих обстоятельствах она не приводит к физически абсурдным ре­зультатам. Однако обсуждение этих идей теперь увлекло бы нас чересчур в сторону. Мы поговорим об этом подробнее в гл. 28.)

Нужно упомянуть еще об одном важном факте. В нашем решении для расходящейся волны (20.35) функция ш в начале ко­ординат бесконечна. Это как-то необычно. Мы бы предпочли иметь такие волновые решения, которые гладки повсюду. Наше решение физически относится к такой ситуации, когда в начале координат располагается источник. Значит, мы нечаянно сде­лали одну ошибку: наша формула (20.35) не является решением свободного волнового уравнения (20.33) повсюду; уравнение (20.33) с нулем в правой части решено повсюду, кроме начала координат. Ошибка вкралась оттого, что некоторые действия при выводе уравнения при r=0 «незаконны».

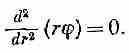
Покажем, что ту же самую ошибку легко сделать и в элект­ростатике. Допустим, что нам нужно решить уравнение элек­тростатического потенциала в пустом пространстве С2j=0. Лапласиан равен нулю, потому что мы предположили, что ни­каких зарядов нигде нет. Но как обстоит дело со сферически симметричным решением уравнения, т. е. с функцией j, зависящей только от r? Используя для лапласиана формулу (20.32), получаем

Умножив это выражение на r, приходим к уже интегрировав­шемуся уравнению

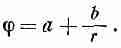
Проинтегрировав один раз по r, мы увидим, что первая про­изводная rj равна постоянной, которую мы обозначим через а;

Еще

раз проинтегрировав, мы получим для rj формулу

где bдругая постоянная интегрирования. Итак, мы обна­ружили, что решение для электростатического потенциала в пустом пространстве имеет вид

Что-то здесь явно не так. Мы же знаем решение для электро­статического потенциала в области, где нет электрических за­рядов: потенциал всюду постоянен. Это соответствует первому слагаемому в решении. Но имеется еще и второй член, подска­зывающий нам, что в потенциал дает вклад нечто, меняющееся как 1/r. Мы знаем, однако, что подобный потенциал соответ­ствует точечному заряду в начале координат. Стало быть, хоть мы и думали, что нашли решение для потенциала в пустом про­странстве, наше решение фактически дает нам также поле то­чечного источника в начале координат. Вы замечаете сходство между тем, что сейчас произошло, и тем, что произошло тогда, когда мы искали сферически симметричное решение волнового уравнения? Если бы в начале координат действительно не было ни зарядов, ни токов, то не возникли бы и сферически расходя­щиеся волны. Сферические волны должны вызываться источни­ками в начале координат. В следующей главе мы исследуем связь между излучаемыми электромагнитными волнами и вызы­вающими их токами и напряжениями.

Глава 21

РЕШЕНИЯ УРАВНЕНИЙ МАКСВЕЛЛА С ТОКАМИ И ЗАРЯДАМИ

§ 1. Свет и электро­магнитные волны

§ 2. Сферические вол­ны от точечного источника

§ 3. Общее решение уравнений Максвелла

§ 4. Поля колеблющегося диполя

§ 5. Потенциалы дви­жущегося заряда; общее реше­ние Льенара и Вихерта

§ 6. Потенциалы заряда, движущегося с постоянной скоростью;

формула Лоренца

Повторить: гл. 28 (вып. 3) «Элект­ромагнитное излучение»; гл. 31 (вып. 3)

«Как возникает показатель преломления»; гл. 34 (вып. 3)

«Релятивистские явления в излучении»

§ 1. Свет и электромагнитные волны

В предыдущей главе мы видели, что среди решений уравнений Максвелла есть электро­магнитные волны. Свету, радио, рентгеновским лучам и т. д. отвечают электромагнитные волны отличающиеся только длиной волны. Мы уже подробно изучали различные явления, связан­ные со светом. В этой главе мы хотим связать оба вопроса и показать, что уравнения Мак­свелла действительно могли служить основой для изучения свойств света.

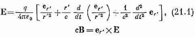
Наше изучение света мы начали с того, что выписали уравнение для электрического поля, создаваемого зарядом, который мог как-то произвольно двигаться. Уравнение имело вид

[см. гл. 28 (вып. 3), выражение (28.3)].

Если заряд движется произвольным обра­зом, то электрическое поле, которое существует в некоторой точке, в настоящий момент за­висит только от положения и движения заряда в более ранний момент времени, отстающий на интервал, необходимый для того, чтобы свет, двигаясь со скоростью с, прошел расстояние r' от заряда до точки поля. Иными словами, если вам нужно знать электрическое поле в точке (1) в момент t, вы должны подсчитать положение (2') заряда и его движение в момент (t-r'1с} [где r' — расстояние до точки (1)] из положения заряда (2') в момент (t—r/с).

Поделиться:
Популярные книги

Мастер...

Чащин Валерий
1. Мастер
Фантастика:
героическая фантастика
попаданцы
аниме
6.50
рейтинг книги
Мастер...

Санек 4

Седой Василий
4. Санек
Фантастика:
попаданцы
альтернативная история
5.00
рейтинг книги
Санек 4

Хозяин Теней 4

Петров Максим Николаевич
4. Безбожник
Фантастика:
попаданцы
аниме
фэнтези
5.00
рейтинг книги
Хозяин Теней 4

Тринадцатый X

NikL
10. Видящий смерть
Фантастика:
попаданцы
аниме
фэнтези
5.00
рейтинг книги
Тринадцатый X

Кукловод

Майерс Александр
4. Династия
Фантастика:
попаданцы
аниме
5.00
рейтинг книги
Кукловод

Дорогами алхимии

Видум Инди
2. Под знаком Песца
Фантастика:
альтернативная история
аниме
5.00
рейтинг книги
Дорогами алхимии

Начальник милиции. Книга 3

Дамиров Рафаэль
3. Начальник милиции
Фантастика:
попаданцы
альтернативная история
5.00
рейтинг книги
Начальник милиции. Книга 3

Чудовищная алхимия. Том 1

Тролль Борис Фёдорович
1. Мир в чужом кармане
Фантастика:
юмористическое фэнтези
попаданцы
фэнтези
5.00
рейтинг книги
Чудовищная алхимия. Том 1

Сын Тишайшего 5

Яманов Александр
5. Царь Федя
Фантастика:
попаданцы
альтернативная история
фэнтези
7.50
рейтинг книги
Сын Тишайшего 5

Магнатъ

Кулаков Алексей Иванович
4. Александр Агренев
Приключения:
исторические приключения
8.83
рейтинг книги
Магнатъ

Медиум

Злобин Михаил
1. О чем молчат могилы
Фантастика:
фэнтези
7.90
рейтинг книги
Медиум

Последний реанорец. Том IX

Павлов Вел
8. Высшая Речь
Фантастика:
фэнтези
попаданцы
аниме
5.75
рейтинг книги
Последний реанорец. Том IX

Запасная дочь

Зика Натаэль
Фантастика:
фэнтези
6.40
рейтинг книги
Запасная дочь

Три `Д` для миллиардера. Свадебный салон

Тоцка Тала
Любовные романы:
современные любовные романы
короткие любовные романы
7.14
рейтинг книги
Три `Д` для миллиардера. Свадебный салон