Чтение онлайн

на главную - закладки

Жанры

Фейнмановские лекции по физике. 6. Электродинамика
Шрифт:

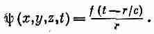
Фиг. 21.1. Поля в точке (1) в момент t зависят от того положения (2'), которое заряд q занимал в момент (t — r'/с).

Штрихи здесь напоминают вам, что r' — это так называемое «запаздывающее расстояние» от точки (2') к точке (1), а вовсе не теперешнее расстояние между точкой (2) — положением за­ряда в момент t — и точкой поля (1) (фиг. 21.1). Заметьте, что сейчас по-иному определяется направление единичного век­тора еr. В

гл. 28 и 34 (вып. 3) мы уславливались, что r (и, стало быть, еr) будет показывать на источник. Теперь же мы следуем определению, используемому в формулировке закона Кулона, по которому r направлено от заряда [в точке (2)] к точке (1) поля. Единственное отличие в том, что новое r (и еr) противо­положно старому.

Мы видели также, что если скорость заряда v всегда много меньше с и если рассматриваются только точки, сильно удален­ные от заряда, так что в (21.1) существенно лишь последнее слагаемое, то поля можно также записать в виде

и

Рассмотрим более детально, что дает полное уравнение (21.1). Вектор еr — это единичный вектор, направленный от «запаздывающей» точки (2') к точке (1). Тогда первое слагаемое дает то, чего следовало бы ожидать, если бы заряд в своем «запаздывающем» положении создавал кулоново поле,— это можно назвать «запаздывающим кулоновым полем». Электри­ческое поле обратно пропорционально квадрату расстояния и направлено от «запаздывающего» положения заряда (т. е. по вектору еr').

Но это только первое слагаемое. Остальные напоминают нам, что законы электричества не утверждают, что все поля, оста­ваясь, как и были, статическими, начинают просто запаздывать (а такое утверждение порой приходится слышать). К «запазды­вающему кулонову полю» надо добавить два других слагаемых.

Второе говорит, что к запаздывающему кулонову полю надо сделать «поправку», равную быстроте изменения запаздываю­щего кулонова поля, умноженной на r'/с, т. е. на само запазды­вание. Этот множитель как бы стремится скомпенсировать за­паздывание в первом. Два первых слагаемых соответствуют вы­числению «запаздывающего кулонова поля» и затем экстрапо­ляции его в будущее, на время r'/с, т. е. как раз к моменту t! Экстраполяция линейна, как если бы мы предположили, что «запаздывающее кулоново поле» будет по-прежнему изменяться со скоростью, рассчитанной для заряда в точке (2'). Если поле меняется медленно, эффект запаздывания почти полностью сводится на нет поправочным слагаемым, и оба слагаемых вмес­те приводят к величине электрического поля, очень близкой к «мгновенному кулонову полю» заряда, находящегося в точ­ке (2).

Наконец, в формуле (21.1) имеется еще третье слагаемое — вторая производная единичного вектора еr'. Изучая явление света, мы по существу использовали тот факт, что вдали от за­ряда два первых слагаемых убывают как обратный квадрат расстояния и на больших расстояниях оказываются слишком слабыми по сравнению с третьим, которое убывает как 1/r. Поэтому мы сосредоточили наше внимание на последнем сла­гаемом и показали, что оно (опять-таки на больших расстоя­ниях) пропорционально компоненте ускорения заряда, попе­речной к линии зрения. (Кроме того, почти всюду ранее мы рас­сматривали только случай, когда заряды двигались нереляти­вистски. Релятивистские эффекты рассматривались только в гл. 34, вып. 3.)

Теперь нужно попробовать связать эти две вещи. У нас есть уравнения Максвелла и есть формула (21.1) для поля точечного заряда. Естественно спросить, эквивалентны ли они? Если мы сможем вывести (21.1) из уравнений Максвелла, то действи­тельно поймем связь света с электромагнетизмом. Вывод ее и есть главная цель этой главы.

Выясняется, что полного вывода мы сделать не можем — чересчур сложные математические детали не позволят нам выйти с поля боя без потерь. Но все же мы подойдем к цели до­статочно близко, так что вы легко поймете, как может быть установлена интересующая нас связь. Мы опустим лишь неко­торые математические детали. Математика этой главы может показаться некоторым из вас довольно сложной, и, возможно, вам даже станет скучно

следить внимательно за выводом. Но мы все же считаем, что очень важно связать то, что вы учили раньше, с тем, что вы изучаете сейчас, или по крайней мере продемонстрировать, как эта связь может быть установлена. Если вы не забыли прежние главы, то обратите внимание на то, что всякий раз, как мы принимали некоторое высказывание за исходную точку обсуждения, мы заботливо объясняли, является ли это высказывание новым «допущением», т. е. отражает ли оно основной закон природы или же его можно в конечном счете вывести из каких-то других законов. Дух этих лекций обя­зывает нас обсудить связь менаду светом и уравнениями Мак­свелла. Может быть, вам будет кое-где и трудно — с этим уж ничего не поделаешь: другого пути не существует.

§ 2. Сферические волны от точечного источника

В гл. 18 мы установили, что уравнения Максвелла можно решать подстановкой

(21.2)

и

(21.3)

где j и А обязаны удовлетворять уравнениям

(21.4)

и

(21.5)

и, кроме того, условию

(21.6)

Найдем теперь решение уравнений (21.4) и (21.5). Для этого надо уметь решать уравнение

(21.7)

где величина s (которая называется источником) известна. Ясно, что для уравнения (21.4) s соответствует r/e0, a ш—это j, а для уравнения (21.5) s соответствует jx/e0с2, если ш — это Ах, и т. д. Но нас интересует чисто математическая задача решения (21.7) безотносительно к тому, каков физический смысл ш и s. Там, где r и j равны нулю (это место называется «пустотой»), там потенциалы j и А и поля Е и В удовлетворяют трехмерному волновому уравнению без источников; математическая форма этого уравнения такова:

(21.8)

В гл. 20 мы видели, что решения этого уравнения могут пред­ставлять волны разных сортов: плоские волны, бегущие в x-направлении я|;=f(t-x/с); плоские волны, бегущие вдоль у или вдоль z или в любом другом направлении; сферические

(21.9)

(Решения можно записать иначе — например в виде цилиндри­ческих волн, разбегающихся от оси.)

Мы тогда заметили, что физически формула (21.9) отно­сится не совсем к пустоте: в начале координат должны быть какие-то заряды, иначе расходящаяся волна не получилась бы. Иными словами, формула (21.9) есть решение уравнения (21.8) всюду, кроме непосредственной окрестности точки r=0, где (21.9) представляет собой решение полного уравнения (21.7), в правой части которого стоят источники. Давайте те­перь посмотрим, что это за уравнение, т. е. какого рода источ­ник s в уравнении (21.7) должен вызвать волну типа (21.9).

Предположим, что имеется сферическая волна (21.9) и по­глядим, во что она превращается при очень малых r. Тогда запаздыванием -rв f(t-r/с) можно пренебречь, и посколь­ку функция f плавная, ш превращается в

(21.10)

Итак, ш в точности похоже на кулоново поле заряда, располо­женного в начале координат. Мы знаем, что для небольшого сгустка заряда, ограниченного очень малой областью близ на­чала координат и имеющего плотность r,

Поделиться:
Популярные книги

Метатель. Книга 2

Тарасов Ник
2. Метатель
Фантастика:
боевая фантастика
попаданцы
рпг
фэнтези
фантастика: прочее
постапокалипсис
5.00
рейтинг книги
Метатель. Книга 2

Барон Дубов 3

Карелин Сергей Витальевич
3. Его Дубейшество
Фантастика:
юмористическое фэнтези
аниме
сказочная фантастика
фэнтези
5.00
рейтинг книги
Барон Дубов 3

Тринадцатый VI

NikL
6. Видящий смерть
Фантастика:
фэнтези
попаданцы
аниме
5.00
рейтинг книги
Тринадцатый VI

Неправильный красноармеец Забабашкин

Арх Максим
2. Неправильный солдат Забабашкин
Фантастика:
попаданцы
альтернативная история
5.00
рейтинг книги
Неправильный красноармеец Забабашкин

Темный Лекарь 4

Токсик Саша
4. Темный Лекарь
Фантастика:
фэнтези
аниме
5.00
рейтинг книги
Темный Лекарь 4

Имя нам Легион. Том 13

Дорничев Дмитрий
13. Меж двух миров
Фантастика:
боевая фантастика
рпг
аниме
5.00
рейтинг книги
Имя нам Легион. Том 13

Призыватель нулевого ранга

Дубов Дмитрий
1. Эпоха Гардара
Фантастика:
аниме
фэнтези
фантастика: прочее
5.00
рейтинг книги
Призыватель нулевого ранга

Страж Кодекса. Книга III

Романов Илья Николаевич
3. КО: Страж Кодекса
Фантастика:
фэнтези
попаданцы
5.00
рейтинг книги
Страж Кодекса. Книга III

Бывшая жена драконьего военачальника

Найт Алекс
2. Мир Разлома
Любовные романы:
любовно-фантастические романы
5.00
рейтинг книги
Бывшая жена драконьего военачальника

#Бояръ-Аниме. Газлайтер. Том 11

Володин Григорий Григорьевич
11. История Телепата
Фантастика:
фэнтези
попаданцы
аниме
5.00
рейтинг книги
#Бояръ-Аниме. Газлайтер. Том 11

Князь II

Вайт Константин
4. Аннулет
Фантастика:
попаданцы
альтернативная история
аниме
5.00
рейтинг книги
Князь II

Плеяда

Суконкин Алексей
Проза:
военная проза
русская классическая проза
5.00
рейтинг книги
Плеяда

Идеальный мир для Демонолога 3

Сапфир Олег
3. Демонолог
Фантастика:
юмористическое фэнтези
попаданцы
аниме
фэнтези
5.00
рейтинг книги
Идеальный мир для Демонолога 3

Я снова не князь! Книга XVII

Дрейк Сириус
17. Дорогой барон!
Фантастика:
юмористическое фэнтези
попаданцы
аниме
5.00
рейтинг книги
Я снова не князь! Книга XVII