Чтение онлайн

на главную - закладки

Жанры

Фейнмановские лекции по физике. 2. Пространство. Время. Движение
Шрифт:

F=d(mv)/dt

Импульс по-прежнему равен mv, но теперь

Это законы Ньютона в записи Эйнштейна. При этом видоиз­менении, если действие и противодействие по-прежнему равны (может, не в каждый момент, но по крайней мере после усред­нения по времени), то, как и раньше, импульс должен со­храняться, но сохраняющейся величиной является не старое mv при постоянном m, а выражение (15.10) с переменной мас­сой. С таким изменением в формуле для импульса сохранение импульса по-прежнему будет существовать.

Посмотрим теперь, как импульс зависит от скорости. В нью­тоновой механике он ей пропорционален. В релятивистской механике в большом интервале скоростей (много меньших с) они также примерно пропорциональны [см. (15.10)], потому что корень мало отличается от единицы.

Но когда v почти равно с, то корень почти равен нулю и импульс поэтому бес­предельно растет.

Что бывает, когда на тело долгое время воздействует по­стоянная сила? В механике Ньютона скорость тела беспрерывно будет возрастать и может превысить даже скорость света. В релятивистской же механике это невозможно. В теории относительности беспрерывно растет не скорость тела, а его импульс, и рост этот сказывается не на скорости, а на массе тела. Со временем ускорение, т. е. изменения в скорости, прак­тически исчезает, но импульс продолжает расти. Поскольку сила приводит к очень малым изменениям в скорости тела, мы, естественно, считаем, что у тела громадная инерция. Но как раз это самое и утверждает релятивистская формула (15.10) для массы тела; она говорит, что инерция крайне велика, когда v почти равно с. Разберем пример. Чтобы откло­нить быстрые электроны в синхротроне Калифорнийского Технологического института, необходимо магнитное поле, в 2000 раз более сильное, чем следует из законов Ньютона. Иными словами, масса электронов в синхротроне в 2000 раз больше их нормальной массы, достигая массы протона! Если m в 2000 раз больше m0, то 1-v22 равно 1/4 000 000, или v от­личается от с на 1/8 000 000, т.е. скорость электронов вплотную подходит к скорости света. Если электроны и свет одновре­менно отправятся в соседнюю лабораторию (находящуюся, скажем, в 200 м), то кто явится первым? Ясное дело, свет: он всегда движется быстрее. Но насколько быстрее? Трудно сказать, насколько раньше во времени, но зато можно ска­зать, на какое расстояние отстанут электроны: на 1/30 мм, т. е. на 1/3 толщины этого листка бумаги! Масса электронов в этих состязаниях чудовищна, а скорость не выше скорости света.

На чем еще скажется релятивистский рост массы? Рас­смотрим движение молекул газа в баллоне. Если газ нагреть, скорость молекул возрастет, а вместе с нею и их масса. Газ станет тяжелее. Насколько?

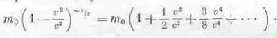
Разлагая т0/Ц(1-v2/c2)=m0(1-v22)– 1/2 в ряд по формуле бинома Ньютона, можно найти приближенно рост массы при малых скоростях. Получается

Из формулы ясно, что при малых v ряд быстро сходится и первых двух-трех членов здесь вполне достаточно. Значит, можно написать

где второй член и выражает рост массы за счет повышения скорости. Когда растет температура, v2 растет в равной мере, значит, увеличение массы пропорционально повышению тем­пературы. Но 1/2т0v2— это кинетическая энергия в старомод­ном, ньютоновом смысле этого слова. Значит, можно сказать, что прирост массы газа равен приросту кинетической энергии, деленной на с2, т. е. Dm=D(к.э.)/с2.

§ 9. Связь массы и энергии

Это наблюдение навело Эйнштейна на мысль, что массу тела можно выразить проще, чем по формуле (15.1), если сказать, что масса равна полному содержанию энергии в теле, деленному на с2. Если (15.11) помножить на с2, получается

mc2=m0с2+1/2m0v2+... . (15.12)

Здесь левая часть дает полную энергию тела, а в последнем члене справа мы узнаем обычную кинетическую энергию. Эйнштейн осмыслил первый член справа (очень большое по­стоянное число т0с2) как

часть полной энергии тела, а именно как его внутреннюю энергию, или «энергию покоя».

К каким следствиям мы придем, если вслед за Эйнштейном предположим, что энергия тела всегда равна тс2? Тогда мы сможем вывести формулу (15.1) зависимости массы от скорости, ту самую, которую до сих пор мы принимали на веру. Пусть тело сперва покоится, обладая энергией т0с2. Затем мы при­кладываем к телу силу, которая сдвигает его с места и постав­ляет ему кинетическую энергию; раз энергия примется воз­растать, то начнет расти и масса (это все заложено в первона­чальном предположении). Пока сила действует, энергия и масса продолжают расти. Мы уже видели (см. гл. 13), что быстрота роста энергии со временем равна произведению силы на скорость

de/dt=F·v. (15.13)

Кроме того, F=d(mv)/dt [см. гл. 9, уравнение (9.1)]. Связав все это с определением Е и подставив в (15.13), получим

Мы хотим решить это уравнение относительно m. Для этого помножим обе части на 2m. Уравнение обратится в

Теперь нам нужно избавиться от производных, т. е. проин­тегрировать обе части равенства. В величине (2m) dm/dt можно узнать производную по времени от m2, а в (2mvd(mv)/dt— производную по времени от (mv)2. Значит, (15.15) совпадает с

Когда производные двух величин равны, то сами величины могут отличаться не больше чем на константу С. Это позво­ляет написать

m2с2=m2v2+C. (15.17)

Определим теперь константу С явно. Так как уравнение (15.17) должно выполняться при любых скоростях, то можно взять v=0 и обозначить в этом случае массу через m0. Подстановка этих чисел в (15.17) дает

m20c2=0+С.

Это значение С теперь можно подставить в уравнение (15.17). Оно принимает вид

m2c2=m2v2+m20c2. (15.18)

Разделим на с2 и перенесем члены с m в левую часть

m2(1-v2/c2)=m20,

откуда

А это и есть формула (15.1), т. е. как раз то, что необходимо, чтобы в уравнении (15.12) было соответствие между массой и энергией.

В обычных условиях изменения в энергии приводят к очень малым изменениям в массе: почти никогда не удается из дан­ного количества вещества извлечь много энергии; но в атомной бомбе с энергией взрыва, эквивалентной 20 000 тонн трини­тротолуола, весь пепел, осевший после взрыва, на 1 г легче первоначального количества расщепляющегося материала. Это потому, что выделилась энергия, которая имела массу 1 г, в согласии с формулой DE=D(mc2). Вывод об эквивалент­ности массы и энергии прекрасно подтвердился в опытах по аннигиляции материи — превращению вещества в энергию. Электрон с позитроном могут взаимодействовать в покое, имея каждый массу покоя m0. При сближении они исчезают, а вместо них излучаются два g-луча, каждый опять с энергией т0с2. Этот опыт прямо сообщает нам о величине энергии, свя­занной с существованием массы покоя у частицы.

Поделиться:
Популярные книги

Неудержимый. Книга XXIX

Боярский Андрей
29. Неудержимый
Фантастика:
попаданцы
аниме
фэнтези
фантастика: прочее
5.00
рейтинг книги
Неудержимый. Книга XXIX

Заход. Солнцев. Книга XII

Скабер Артемий
12. Голос Бога
Фантастика:
фэнтези
попаданцы
аниме
5.00
рейтинг книги
Заход. Солнцев. Книга XII

Идеальный мир для Демонолога

Сапфир Олег
1. Демонолог
Фантастика:
юмористическое фэнтези
попаданцы
аниме
фэнтези
5.00
рейтинг книги
Идеальный мир для Демонолога

(Бес) Предел

Юнина Наталья
Любовные романы:
современные любовные романы
6.75
рейтинг книги
(Бес) Предел

Попаданка в деле, или Ваш любимый доктор - 2

Марей Соня
2. Попаданка в деле, или Ваш любимый доктор
Любовные романы:
любовно-фантастические романы
7.43
рейтинг книги
Попаданка в деле, или Ваш любимый доктор - 2

Беглый

Шимохин Дмитрий
2. Подкидыш [Шимохин]
Приключения:
прочие приключения
5.00
рейтинг книги
Беглый

Первый среди равных. Книга V

Бор Жорж
5. Первый среди Равных
Фантастика:
попаданцы
аниме
фэнтези
5.00
рейтинг книги
Первый среди равных. Книга V

Эволюция мага

Лисина Александра
2. Гибрид
Фантастика:
фэнтези
попаданцы
аниме
5.00
рейтинг книги
Эволюция мага

Потомок бога

Решетов Евгений Валерьевич
1. Локки
Фантастика:
попаданцы
альтернативная история
аниме
сказочная фантастика
5.00
рейтинг книги
Потомок бога

Убивать, чтобы жить

Бор Жорж
1. УЧЖ
Фантастика:
героическая фантастика
боевая фантастика
рпг
5.00
рейтинг книги
Убивать, чтобы жить

Военный инженер Ермака. Дилогия

Воронцов Михаил
1. Военный инженер
Фантастика:
попаданцы
альтернативная история
фантастика: прочее
фэнтези
5.00
рейтинг книги
Военный инженер Ермака. Дилогия

Вишенка на десерт

Лис Алеся
Любовные романы:
любовно-фантастические романы
5.00
рейтинг книги
Вишенка на десерт

Большие Песцовые радости

Видум Инди
8. Под знаком Песца
Фантастика:
альтернативная история
аниме
5.25
рейтинг книги
Большие Песцовые радости

Вечный. Книга VI

Рокотов Алексей
6. Вечный
Фантастика:
рпг
фэнтези
5.00
рейтинг книги
Вечный. Книга VI