Чтение онлайн

на главную - закладки

Жанры

Фейнмановские лекции по физике. 6. Электродинамика
Шрифт:

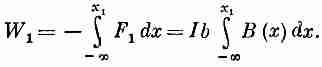
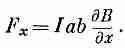
Рассчитаем сначала работу переноса каждой стороны по отдельности, а затем все сложим (вместо того, чтобы складывать силы до интегрирования). Силы, действующие на стороны 3 и 4, направлены поперек движения, так что на эти стороны работа не тратится. Сила, действующая на сторону 2, направлена по xи равна 1bВ(x); чтобы узнать всю работу против действия магнитных сил, нужно проинтегрировать это выражение по xот некоторого значения х, где поле равно нулю, скажем, от х = -Ґ до теперешнего положения х2:

(15.6)

Подобно

этому, и работа против сил, действующих на сторону 1,равна

(15.7)

Чтобы вычислить каждый интеграл, надо знать, как В(х) зависит от х. Но ведь сторона 1при движении рамки распо­ложена все время параллельно стороне 2на одном и том же расстоянии от нее, так что в ее интеграл входит почти вся работа, затраченная на перемещение стороны 2. Сумма (15.6) и (15.7) на самом деле равна

(15.8)

Но, попав в область, где В на обеих сторонах 1 и 2 почти оди­наково, мы имеем право записать интеграл в виде

где В — поле в центре петли. Вся вложенная механическая энергия оказывается равной

Это согласуется с выражением для энергии (15.4), выбранным нами прежде.

Конечно, тот же вывод получился бы, если бы мы до инте­грирования сложили все силы, действующие на петлю. Если бы мы обозначили через В1поле у стороны 1 а через В2— поле у стороны 2, то вся сила, действующая в направлении х, оказа­лась бы равной

Если петля «узкая», т. е. если В2и В1не очень различаются между собой, то можно было бы написать

Так что сила была бы равна

(15.10)

Вся работа, произведенная внешними силами над петлей, рав­нялась бы

а это опять -mВ. Но теперь нам становится понятно, почему получается, что сила, действующая на небольшую токовую петлю, пропорциональна производной магнитного поля, как это следовало ожидать из

Другой наш результат состоит в следующем. Хоть и не исклю­чено, что не все виды энергии вошли в формулу Uмех= m·B (ведь это просто некоторая имитация энергии), ею все же можно пользоваться, применяя принцип виртуальной работы, чтобы узнать, какие силы действуют на петли с постоянным током.

§ 2. Механическая и электрическая энергии

Теперь мы хотим пояснить, почему энергия Uмех, о которой говорилось в предыдущем параграфе, не настоящая энергия, связанная с постоянными токами, почему у нее нет прямой связи с полной энергией всей Вселенной. Правда, мы подчерк­нули, что ею можно пользоваться как энергией, когда вычис­ляешь силы из принципа виртуальной работы, при условии, что ток в петле (и все прочие токи)

не меняется. Посмотрим теперь, почему же все так выходит.

Представим, что петля на фиг. 15.2 движется в направлении +х, а ось z примем за направление В. Электроны проводимости на стороне 2 будут испытывать действие силы, толкающей их вдоль провода, в направлении у. Но в результате их движения по проводу течет электрический ток и имеется составляющая скорости vyв том же направлении, в котором действует сила. Поэтому над каждым электроном каждую секунду будет произво­диться работа Fyvy , где vyкомпонента скорости электрона, направленная вдоль провода. Эту работу, совершаемую над электронами, мы назовем электрической. Оказывается, что когда петля движется в однородном поле, то полная электриче­ская работа равна нулю, потому что на одной части петли работа положительная, а на другой — равная ей отрица­тельная. Но при движении контура в неоднородном поле это не так — тогда остается какой-то чистый избыток одной работы над другой. Вообще-то эта работа стремится изменить поток электронов, но если он поддерживается неизменным, то энергия поглощается или высвобождается в батарейке или в другом источнике, сохраняющем ток постоянным. Вот именно эта энергия и не учитывалась, когда мы вычисляли Uмех в (15.9), потому что в наши расчеты входили только механические силы, действующие на провод.

Вы можете подумать: но сила, действующая на электроны, зависит от того, насколько быстро движется провод; быть мо­жет, если бы провод двигался достаточно медленно, этой элект­рической энергией можно было бы вообще пренебречь. Дейст­вительно, скорость, с какой высвобождается электрическая энер­гия, пропорциональна скорости провода, но все же полная выделенная энергия пропорциональна к тому же еще и времени, в течение которого проявлялась эта скорость. В итоге полная выделенная электрическая энергия пропорциональна произве­дению скорости на время, а это как раз и есть пройденное расстояние. Каждому пройденному в поле расстоянию отвечает заданное, и притом одно и то же, количество электрической работы.

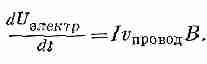
Возьмем кусок провода единичной длины, по которому течет ток I. Провод движется перпендикулярно самому себе и маг­нитному полю В со скоростью v;провод. Благодаря наличию тока сами электроны обладают скоростью дрейфа vдрейфвдоль провода. Компонента магнитной силы, действующей на каждый электрон в направлении дрейфа, равна qe vпровод В. Значит, скорость, с какой производится электрическая работа, равна Fvдрейф = (qevпроводВ)vдрейф. Если на единице длины провода имеется N проводящих электронов, то вся величина электрической работы, производимой в секунду, такова:

Но Nqеvдрейф равно току I в проводе, так что

И поскольку ток поддерживается неизменным, то силы, действующие на электроны проводимости, не ускоряют их; электрическая энергия переходит не к электронам, а к тому источнику, который сохраняет силу тока постоянной.

Но заметьте, что сила, действующая на провод, равна IB; значит, IBvпровод — это механическая работа, выполняемая над проводом в единицу времени, dUмех/dt = IBvпровод. Отсюда мы заключаем, что механическая работа перемещения провода в точности равна электрической работе, производимой над источником тока, так что энергия петли остается постоянной!

Поделиться:
Популярные книги

Воронцов. Перезагрузка

Тарасов Ник
1. Воронцов. Перезагрузка
Фантастика:
попаданцы
альтернативная история
фантастика: прочее
5.00
рейтинг книги
Воронцов. Перезагрузка

Князь Барсов. Том 4

Петров Максим Николаевич
4. РОС. На мягких лапах
Фантастика:
фэнтези
попаданцы
аниме
5.00
рейтинг книги
Князь Барсов. Том 4

Офицер империи

Земляной Андрей Борисович
2. Страж [Земляной]
Фантастика:
боевая фантастика
попаданцы
альтернативная история
6.50
рейтинг книги
Офицер империи

Личный аптекарь императора

Карелин Сергей Витальевич
1. Личный аптекарь императора
Фантастика:
городское фэнтези
попаданцы
аниме
фэнтези
5.00
рейтинг книги
Личный аптекарь императора

"Дальние горизонты. Дух". Компиляция. Книги 1-25

Усманов Хайдарали
Собрание сочинений
Фантастика:
фэнтези
боевая фантастика
попаданцы
5.00
рейтинг книги
Дальние горизонты. Дух. Компиляция. Книги 1-25

Шайтан Иван 4

Тен Эдуард
4. Шайтан Иван
Фантастика:
попаданцы
альтернативная история
8.00
рейтинг книги
Шайтан Иван 4

Измена. Свадьба дракона

Белова Екатерина
Любовные романы:
любовно-фантастические романы
эро литература
5.00
рейтинг книги
Измена. Свадьба дракона

Академия проклятий. Книги 1 - 7

Звездная Елена
Академия Проклятий
Фантастика:
фэнтези
8.98
рейтинг книги
Академия проклятий. Книги 1 - 7

Барон играет по своим правилам

Ренгач Евгений
5. Закон сильного
Фантастика:
попаданцы
аниме
фэнтези
фантастика: прочее
5.00
рейтинг книги
Барон играет по своим правилам

Вечная Война. Книга II

Винокуров Юрий
2. Вечная война.
Фантастика:
юмористическая фантастика
космическая фантастика
8.37
рейтинг книги
Вечная Война. Книга II

Мастер 4

Чащин Валерий
4. Мастер
Фантастика:
героическая фантастика
боевая фантастика
попаданцы
5.00
рейтинг книги
Мастер 4

Системный Алхимик II

Шимуро Павел
2. Алхимик
Фантастика:
рпг
уся
фэнтези
5.00
рейтинг книги
Системный Алхимик II

Отвергнутая невеста генерала драконов

Лунёва Мария
5. Генералы драконов
Любовные романы:
любовно-фантастические романы
5.00
рейтинг книги
Отвергнутая невеста генерала драконов

Офицер

Земляной Андрей Борисович
1. Офицер
Фантастика:
боевая фантастика
7.21
рейтинг книги
Офицер