Чтение онлайн

на главную - закладки

Жанры

Фейнмановские лекции по физике. 6. Электродинамика
Шрифт:

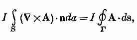
Если площадь каждой петельки Dа, то ее энергия равна IDаBn, где Bn — компонента В, нормальная к Dа. Полная энергия равна U = SIBnDа.

Фиг. 15.4. Энергию большой петли в магнитном поле можно считать суммой энергий маленьких петелек.

В

пределе, когда петли становятся бесконечно малыми, сумма превращается в интеграл, и

(15.17)

где n — единичная нормаль к da,

Если мы положим В = СXA, то поверхностный интеграл можно будет связать с контурным (по теореме Стокса):

(15.18)

где ds — линейный элемент вдоль Г. Итак, мы получили энер­гию контура произвольной формы:

(15.19)

В этом выражении А обозначает, конечно, векторный потен­циал, возникающий из-за токов (отличных от тока / в про­воде), которые создают поле В близ провода.

Далее, любое распределение постоянных токов можно считать состоящим из нитей, идущих вдоль тех линий, по кото­рым течет ток. Для любой пары таких контуров энергия дается выражением (15.19), где интеграл взят вокруг одного из кон­туров, а векторный потенциал А создан другим контуром. Пол­ная энергия получается сложением всех таких пар. Если вместо того, чтобы следить за парами, мы полностью просуммируем по всем нитям, то каждую энергию мы засчитаем дважды (та­кой же эффект мы наблюдали в электростатике), и полную энергию можно будет представить в виде

(15.20)

Это соответствует полученному для электростатической энергии выражению

(15.21)

Значит, мы можем считать А, если угодно, своего рода потен­циальной энергией токов в магнитостатике. К сожалению, это представление не очень полезно, потому что оно годится только для статических полей. В действительности, если поля со временем меняются, ни выражение (15.20), ни выражение (15.21) не дают правильной величины энергии.

§ 4. B или А?

В этом параграфе нам хотелось бы обсудить такой вопрос: что такое векторный потенциал — просто полезное для расче­тов приспособление (так в электродинамике полезен скалярный потенциал) или же он как поле вполне «реален»? Или же «реаль­но» лишь магнитное поле, так как только оно ответственно за силу, действующую на движущуюся частицу?

Для начала нужно сказать, что выражение «реальное поле» реального смысла не имеет. Во-первых, вы вряд ли вообще полагаете, что магнитное поле хоть в какой-то степени «реаль­но», потому что и сама идея поля — вещь довольно отвлеченная. Вы не можете протянуть руку и пощупать это магнитное поле. Кроме того, величина магнитного поля тоже не очень опреде­ленна; выбором подходящей подвижной системы координат можно, к примеру,

добиться, чтобы магнитное поле в данной точке вообще пропало.

Под «реальным» полем мы понимаем здесь вот что: реальное поле — это математическая функция, которая используется нами, чтобы избежать представления о дальнодействии. Если в точке Р имеется заряженная частица, то на нее оказывают влияние другие заряды, расположенные на каком-то удалении от Р. Один прием, которым можно описать взаимодействие,— это говорить, что прочие заряды создают какие-то «условия» (какие — не имеет значения) в окрестности Р. Если мы знаем эти условия (мы их описываем, задавая электрическое и маг­нитное поля), то можем полностью определить поведение части­цы, нимало не заботясь после о том, что именно создало эти условия.

Иными словами, если бы эти прочие заряды каким-то обра­зом изменились, а условия в Р, описываемые электрическим и магнитным полем в точке Р, остались бы прежними, то движение заряда тоже не изменилось бы. «Реальное» поле тогда есть сово­купность чисел, заданных так, что то, что происходит в некото­рой точке, зависит только от чисел в этой точке и нам больше не нужно знать, что происходит в других местах. Именно с таких позиций мы и хотим выяснить, является ли векторный потен­циал «реальным» полем.

Вас может удивить тот факт, что векторный потенциал опре­деляется не единственным образом, что его можно изменить, добавив к нему градиент любого скаляра, а силы, действующие на частицы, не изменятся. Однако это не имеет ничего общего с вопросом реальности в том смысле, о котором мы говорили, К примеру, магнитное поле как-то меняется при изменении относительного движения (равно как и Е или А). Но нас ни­сколько не будет заботить, что поле можно изменять таким образом. Нам это безразлично; это никак не связано с вопросом о том, действительно ли векторный потенциал—«реальное» поле, пригодное для описания магнитных эффектов, или же это просто удобный математический прием.

Мы должны еще сделать кое-какие замечания о полезности векторного потенциала А. Мы видели, что им можно пользо­ваться в формальной процедуре расчета магнитных полей заданных токов, в точности как j может применяться для оты­скания электрических полей. В электростатике мы видели, что j давалось скалярным интегралом

(15.22)

Из этого j мы получали три составляющих Е при помощи трех дифференцирований. Обычно это было легче, чем вычислять три интеграла в векторной формуле

(15.23)

Во-первых, их три, а во-вторых, каждый из них вообще-то немного посложнее, чем (15.22).

В магнитостатике преимущества не так ясны. Интеграл для А уже сам по себе векторный:

(15.24)

т. е. здесь написаны три интеграла. Кроме того, вычисляя ро­тор А для получения В, надо взять шесть производных и рас­ставить их попарно. Сразу не ясно, проще ли это, чем прямое вычисление

Поделиться:
Популярные книги

На границе империй. Том 3

INDIGO
3. Фортуна дама переменчивая
Фантастика:
космическая фантастика
5.63
рейтинг книги
На границе империй. Том 3

Сумеречный Стрелок 3

Карелин Сергей Витальевич
3. Сумеречный стрелок
Фантастика:
городское фэнтези
попаданцы
аниме
5.00
рейтинг книги
Сумеречный Стрелок 3

Газлайтер. Том 9

Володин Григорий
9. История Телепата
Фантастика:
фэнтези
попаданцы
5.00
рейтинг книги
Газлайтер. Том 9

Седьмой Рубеж III

Бор Жорж
3. 5000 лет темноты
Фантастика:
фэнтези
попаданцы
5.00
рейтинг книги
Седьмой Рубеж III

Гримуар темного лорда VII

Грехов Тимофей
7. Гримуар темного лорда
Фантастика:
боевая фантастика
попаданцы
аниме
фэнтези
5.00
рейтинг книги
Гримуар темного лорда VII

Тринадцатый

Северский Андрей
Фантастика:
фэнтези
рпг
7.12
рейтинг книги
Тринадцатый

Воевода

Ланцов Михаил Алексеевич
5. Помещик
Фантастика:
альтернативная история
5.00
рейтинг книги
Воевода

Санек

Седой Василий
1. Санек
Фантастика:
попаданцы
альтернативная история
4.00
рейтинг книги
Санек

Я снова не князь! Книга XVII

Дрейк Сириус
17. Дорогой барон!
Фантастика:
юмористическое фэнтези
попаданцы
аниме
5.00
рейтинг книги
Я снова не князь! Книга XVII

Росток

Ланцов Михаил Алексеевич
2. Хозяин дубравы
Фантастика:
попаданцы
альтернативная история
фэнтези
7.00
рейтинг книги
Росток

Законы Рода. Том 13

Андрей Мельник
13. Граф Берестьев
Фантастика:
аниме
фэнтези
5.00
рейтинг книги
Законы Рода. Том 13

Начальник милиции. Книга 3

Дамиров Рафаэль
3. Начальник милиции
Фантастика:
попаданцы
альтернативная история
5.00
рейтинг книги
Начальник милиции. Книга 3

Ключи мира

Кас Маркус
9. Артефактор
Фантастика:
городское фэнтези
аниме
фэнтези
5.00
рейтинг книги
Ключи мира

Идеальный мир для Лекаря 24

Сапфир Олег
24. Лекарь
Фантастика:
городское фэнтези
попаданцы
5.00
рейтинг книги
Идеальный мир для Лекаря 24