Чтение онлайн

на главную - закладки

Жанры

Фейнмановские лекции по физике. 6. Электродинамика
Шрифт:

Сейчас мы хотим немного продолжить наш анализ. Мы продемонстрируем связь между квантовомеханической и класси­ческой формулами, чтобы показать, почему оказывается, что при макроскопическом взгляде на вещи все выглядит так, как будто частицы управляются силой, равной произведению qv на ротор А. Чтобы получить классическую механику из кванто­вой, нам нужно рассмотреть случаи, когда все длины волн малы по сравнению с расстояниями, на которых заметно ме­няются внешние условия (например, поля). Мы не будем гнаться за общностью доказательства, а только покажем все на очень простом примере. Обратимся снова к тому же опыту со щелями. Но теперь вместо того, чтобы втискивать все маг­нитное поле в узкий промежуток между щелями, представим себе такое магнитное поле, которое раскинулось позади щелей широкой полосой (фиг. 15.8).

Возьмем идеализированный слу­чай, когда в узкой полосе шириной w, много меньшей L, маг­нитное поле однородно. (Это легко устроить, надо только по­дальше отнести поглотитель.) Чтобы подсчитать сдвиг по фазе, мы должны взять два интеграла от А вдоль двух траекторий (1) и (2).

Фиг. 15.8. Сдвиг интерференционной картины из-за наличия полоски магнитного поля.

Как мы видели, они различаются просто на поток В между этими путями. В нашем приближении поток равен Bwd. Раз­ность фаз для двух путей поэтому равна

(15.37)

Мы замечаем, что в принятом приближении сдвиг фаз не зави­сит от угла. Так что опять-таки эффект сводится к сдвигу всей картины вверх на величину Dх. Из формулы (15.28)

Подставляя d-d = 0) из (15.37), получаем

(15.38)

Такой сдвиг равноценен тому, что все траектории отклоняются на небольшой угол а (см. фиг. 15.8), равный

(15.39)

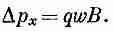
По классическим воззрениям мы тоже должны были ожи­дать, что узкая полоска магнитного поля отклонит все траекто­рии на какой-то маленький угол, скажем a' (фиг. 15.9,а). Когда электроны проходят через магнитное поле, они подвергаются действию поперечной силы qvXВ в течение времени wlv. Изменение их поперечного импульса просто равно ему самому, так что

(15.40)

Фиг. 15.9. Отклонение частицы из-за прохождения ее через маг­нитное поле.

Угловое отклонение (фиг. 15.9,6) равно отношению этого поперечного импульса к полному импульсу р. Мы получаем

: Этот результат можно сравнить с уравнением (15.39), в котором та же вели­чина вычислялась квантовомеханически. Но связь между классической и квантовой механикой в том и состоит, что частице с импульсом р ставится в соответствие квантовая амплитуда, изменяющаяся как волна длиной l. = h/p. В соответствии с этим уравнением а и а' оказываются идентичными; и классические и квантовые выкладки приводят

к одному и тому же.

Из этого анализа мы видим, как получается, что векторный потенциал, который в квантовой механике появляется в явном виде, вызывает классическую силу, зависящую только от его производных. В квантовой механике существенна только ин­терференция между соседними путями; в ней всегда оказывается, что эффект зависит только от того, как сильно поле А меняется от точки к точке, а значит, только от производных А, а не от него самого. Несмотря на это, векторный потенциал А (наряду с сопровождающим его скалярным потенциалом j), по-види­мому, приводит к более прямому описанию физических процес­сов. Чем глубже мы проникаем в квантовую теорию, тем яснее и прозрачней нам это становится. В общей теории — квантовой электродинамике — в системе уравнений, заменяющих собой уравнения Максвелла, векторные и скалярные потенциалы уже считаются фундаментальными величинами. Векторы Е и В постепенно исчезают из современной записи физических зако­нов: их вытесняют А и j.

§ 6. Что истинно в статике, но ложно в динамике?

Наше исследование статических полей близится к концу. В этой главе мы опасно близко подошли к такому пункту, когда уже следует подумывать о том, что случится, если поля начнут меняться со временем. Толкуя о магнитной энергии, нам едва удалось избежать этого, да и то потому, что мы прикрылись релятивистскими соображениями. Даже при этом наша трак­товка проблемы энергии выглядела несколько искусственно и, пожалуй, даже таинственно, потому что мы игнорировали тот факт, что движущиеся катушки должны на самом деле создавать меняющиеся поля. Теперь самое время перейти к изучению полей, меняющихся во времени, к тому, что составляет предмет электродинамики. Мы проделаем это в следующей главе. Однако прежде следует подчеркнуть некоторые моменты.

Хотя мы и начали этот курс с того, что представили полные и точные уравнения электромагнетизма, мы сразу же принялись изучать какие-то вырезанные куски, потому что так было легче. Большим преимуществом является возможность начать с простой теории статических полей и лишь потом перейти к более сложной теории, включающей динамические поля. При этом приходится с самого начала учить меньше нового матери­ала и остается время потренировать мозги, поразмять свои ум­ственные мускулы, прежде чем приступить к задачам потруднее.

Но в таком процессе кроется одна опасность — пока мы не услышали весь рассказ целиком, в нас может укорениться и выдать себя за полную та неполная истина, которую мы успели усвоить; в голове все перепутается: то, что верно всегда, и то, что справедливо только временами. Поэтому в табл. 15.1 мы даем сводку важнейших формул, которых мы касались, отделяя в ней те, что верны в общем случае, от тех, которые соблю­даются только в статике, но ложны в динамике. Эта сводка со­держит намеки на то, куда мы собственно с вами путь держим; изучая динамику, мы должны будем детально развить то, что пока приходилось описывать без доказательства.

Пожалуй, здесь стоит сделать несколько замечаний по пово­ду самой таблицы. Прежде всего вы должны обратить внимание, что уравнения, с которых мы начали, это правильные уравнения, в этом месте мы вас не вводим в заблуждение. Формула для электромагнитной силы (часто именуемой силой Лоренца) F = q(E+vXВ) также правильна. Ошибочен только закон Кулона; он годится только для статики. Четыре уравнения Максвелла для Е и В тоже правильны. Уравнения, принятые нами в статике, ошибочны, потому что мы выбросили из них все члены с производными по времени.

Закон Гаусса С·E = r/e0 остается, но ротор Е в общем случае не равен нулю. Значит, Е нельзя всегда приравнивать к градиенту скаляра — электростатического потенциала. Мы увидим, что скалярный потенциал все же остается, но это уже величина, которая меняется во времени и должна употребляться для полного описания электрического поля только вместе с век­торным потенциалом. Конечно, уравнения, управляющие этим новым скалярным потенциалом, также оказываются новыми.

Поделиться:
Популярные книги

#Бояръ-Аниме. Газлайтер. Том 11

Володин Григорий Григорьевич
11. История Телепата
Фантастика:
фэнтези
попаданцы
аниме
5.00
рейтинг книги
#Бояръ-Аниме. Газлайтер. Том 11

Мужчина не моей мечты

Ардова Алиса
1. Мужчина не моей мечты
Любовные романы:
любовно-фантастические романы
8.30
рейтинг книги
Мужчина не моей мечты

Идеальный мир для Лекаря 4

Сапфир Олег
4. Лекарь
Фантастика:
фэнтези
юмористическая фантастика
аниме
5.00
рейтинг книги
Идеальный мир для Лекаря 4

Попаданка в деле, или Ваш любимый доктор - 2

Марей Соня
2. Попаданка в деле, или Ваш любимый доктор
Любовные романы:
любовно-фантастические романы
7.43
рейтинг книги
Попаданка в деле, или Ваш любимый доктор - 2

Личный аптекарь императора. Том 5

Карелин Сергей Витальевич
5. Личный аптекарь императора
Фантастика:
городское фэнтези
попаданцы
аниме
сказочная фантастика
фэнтези
7.50
рейтинг книги
Личный аптекарь императора. Том 5

Возвращение

Кораблев Родион
5. Другая сторона
Фантастика:
боевая фантастика
6.23
рейтинг книги
Возвращение

Неправильный красноармеец Забабашкин

Арх Максим
2. Неправильный солдат Забабашкин
Фантастика:
попаданцы
альтернативная история
5.00
рейтинг книги
Неправильный красноармеец Забабашкин

Начальник милиции. Книга 5

Дамиров Рафаэль
5. Начальник милиции
Фантастика:
попаданцы
альтернативная история
5.00
рейтинг книги
Начальник милиции. Книга 5

Отморозок 4

Поповский Андрей Владимирович
4. Отморозок
Фантастика:
попаданцы
фантастика: прочее
5.00
рейтинг книги
Отморозок 4

Печать Пожирателя

Соломенный Илья
1. Пожиратель
Фантастика:
попаданцы
аниме
сказочная фантастика
фэнтези
5.00
рейтинг книги
Печать Пожирателя

Измена дракона. Развод неизбежен

Гераскина Екатерина
Фантастика:
городское фэнтези
фэнтези
5.00
рейтинг книги
Измена дракона. Развод неизбежен

Неправильный лекарь. Том 4

Измайлов Сергей
4. Неправильный лекарь
Фантастика:
городское фэнтези
попаданцы
альтернативная история
аниме
5.00
рейтинг книги
Неправильный лекарь. Том 4

Гром над Тверью

Машуков Тимур
1. Гром над миром
Фантастика:
боевая фантастика
5.89
рейтинг книги
Гром над Тверью

Восход. Солнцев. Книга V

Скабер Артемий
5. Голос Бога
Фантастика:
фэнтези
попаданцы
аниме
5.00
рейтинг книги
Восход. Солнцев. Книга V