Чтение онлайн

на главную - закладки

Жанры

Фейнмановские лекции по физике. 6. Электродинамика
Шрифт:

Это не случайность. Это следствие закона, с которым мы уже знакомы. Полная сила, действующая на каждый из заря­дов в проводе, равна

Скорость, с которой производится работа, равна

(15.12)

Если электрического поля нет, то остается только второе слага­емое, а оно всегда равно нулю. Позже мы увидим, что изменение магнитных

полей создает электрические поля, так что наши рас­суждения применимы лишь к проводам в постоянных магнит­ных полях.

Но тогда почему же принцип виртуальной работы дает правильный ответ? Потому, что пока мы не учитывали полную энергию Вселенной. Мы не включали в рассмотрение энергию тех токов, которые создают магнитное поле, с самого начала присутствующее в наших рассуждениях.

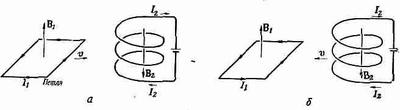
Но представим себе полную систему, наподобие изображен­ной на фиг. 15.3,а, где петля с током I вдвигается в магнитное поле B1 созданное током I2 в катушке. ТокI1, текущий по петле, тоже будет создавать какое-то магнитное поле В2 близ катушки. Если петля движется, то поле В2 изменяется. В следующей главе мы увидим, что изменяющееся магнитное поле создает поле Е, и это поле действительно начнет действовать на заряды в катушке. Эту энергию мы обязаны включить в наш сводный баланс энергий.

Мы, конечно, могли бы подождать говорить об этом новом вкладе в энергию до следующей главы, но уже сейчас можно оценить его, если применить соображения принципа относи­тельности.

Фиг. 15.3. Вычисление энергии маленькой петли в магнитном поле.

Приближаем петлю к неподвижной катушке и знаем, что электрическая энергия петли в точности равна и противо­положна по знаку произведенной механической работе. Иначе говоря,

Теперь предположим, что мы смотрим на происходящее с другой точки зрения: будем считать, что петля покоится, а катушка приближается к ней. Тогда катушка движется в поле, создан­ном петлей. Те же рассуждения приведут к выражению

Механическая энергия в обоих случаях одна и та же — она определяется только силой, действующей между двумя конту­рами.

Сложение двух уравнений дает

Полная энергия всей системы равна, конечно, сумме двух элект­рических энергий и взятой один раз механической энергии. В итоге выходит

Полная энергия всей системы — это на самом деле Uмех со знаком минус. Если нам нужна, скажем, полная энергия магнитного диполя, то следует писать

И

только тогда, когда мы потребуем, чтобы все токи оставались постоянными, можно использовать лишь одну из частей энергии Uмех (всегда равную истинной анергии со знаком минус) для вычисления механических сил. В более общих задачах надо соблюдать осторожность, чтобы не забыть ни одной из энергий. Сходное положение наблюдалось и в электростатике. Мы показали там, что энергия конденсатора равна Q2/2C. Когда мы применяем принцип виртуальной работы, чтобы найти силу, действующую между обкладками конденсатора, то изменение энергии равно Q2/2, умноженному на изменение в 1/С, т. е.

(15.14)

А теперь предположим, что нам надо было бы подсчитать работу, затрачиваемую на сближение двух проводников, но при другом условии — что напряжение между ними остается постоянным. Тогда правильную величину силы мы могли бы получить из принципа виртуальной работы, если бы поступили немного искусственным образом. Раз Q = CV, то полная энер­гия равна 1/2 CV2. Но если бы мы ввели условную энергию, равную —1/2CV2, то принцип виртуальной работы можно было бы применить для получения сил, полагая изменение этой условной энергии равным механической работе (это при условии, что напряжение V

считается постоянным). Тогда

(15.15)

а это то же самое, что написано в уравнении (15.14). Мы полу­чаем правильный ответ, хотя пренебрегаем работой, которую электрическая система тратит на постоянное поддержание напряжения. И здесь опять электрическая энергия ровно вдвое больше механической и имеет обратный знак.

Итак, если мы ведем расчет искусственно, пренебрегая тем фактом, что источник потенциала должен тратить работу на то, чтобы напряжение оставалось неизменным, то все равно мы приходим к правильному результату. Это в точности соответ­ствует положению дел в магнитостатике.

§ 3. Энергия постоянных токов

Зная, что Uполн = -Uмех, используем этот факт, чтобы найти истинную энергию постоянных токов в магнитных полях. Начать можно с истинной энергии небольшой токовой петельки. Обозначая Uполнпросто через U, напишем

U = m·В.(15.16)

Хотя эту энергию мы подсчитали только для плоской прямо­угольной петли, все это верно и для плоской петельки произ­вольной формы.

Энергию контура произвольной формы можно найти, пред­ставив себе, что он состоит из небольших токовых петель. Ска­жем, имеется провод в форме петли Г (фиг. 15.4). Натянем на эту петлю поверхность S, а на ней наметим множество петелек, каждую из которых можно считать плоской. Если заставить ток I циркулировать по каждой петельке, то в итоге выйдет то же самое, как если бы ток шел только по петле Г, ибо токи на всех внутренних линиях взаимно уничтожатся. Система не­больших токов физически не будет отличима от исходного контура, и энергия должна быть той же, т. е. должна быть равна сумме энергий всех петелек.

Поделиться:
Популярные книги

Зачисление

Грехов Тимофей
3. Ярар
Фантастика:
фэнтези
аниме
5.00
рейтинг книги
Зачисление

Вернуть невесту. Ловушка для попаданки

Ардова Алиса
1. Вернуть невесту
Любовные романы:
любовно-фантастические романы
8.49
рейтинг книги
Вернуть невесту. Ловушка для попаданки

Эволюционер из трущоб. Том 8

Панарин Антон
8. Эволюционер из трущоб
Фантастика:
попаданцы
аниме
фэнтези
фантастика: прочее
5.00
рейтинг книги
Эволюционер из трущоб. Том 8

Темный Лекарь

Токсик Саша
1. Темный Лекарь
Фантастика:
фэнтези
аниме
5.00
рейтинг книги
Темный Лекарь

Отверженный. Дилогия

Опсокополос Алексис
Отверженный
Фантастика:
фэнтези
7.51
рейтинг книги
Отверженный. Дилогия

Вторая жизнь майора. Цикл

Сухинин Владимир Александрович
Вторая жизнь майора
Фантастика:
героическая фантастика
боевая фантастика
попаданцы
5.00
рейтинг книги
Вторая жизнь майора. Цикл

Ведунские хлопоты

Билик Дмитрий Александрович
5. Бедовый
Фантастика:
юмористическое фэнтези
городское фэнтези
мистика
5.00
рейтинг книги
Ведунские хлопоты

Дважды одаренный. Том II

Тарс Элиан
2. Дважды одаренный
Фантастика:
городское фэнтези
альтернативная история
аниме
5.00
рейтинг книги
Дважды одаренный. Том II

Седьмой Рубеж VI

Бор Жорж
6. 5000 лет темноты
Фантастика:
фэнтези
попаданцы
5.00
рейтинг книги
Седьмой Рубеж VI

Кодекс Охотника. Книга XXVI

Винокуров Юрий
26. Кодекс Охотника
Фантастика:
попаданцы
5.00
рейтинг книги
Кодекс Охотника. Книга XXVI

Инженер Петра Великого

Гросов Виктор
1. Инженер Петра Великого
Фантастика:
попаданцы
альтернативная история
5.00
рейтинг книги
Инженер Петра Великого

Тайные поручения

Билик Дмитрий Александрович
6. Бедовый
Фантастика:
юмористическое фэнтези
городское фэнтези
мистика
5.00
рейтинг книги
Тайные поручения

Война

Валериев Игорь
7. Ермак
Фантастика:
боевая фантастика
альтернативная история
5.25
рейтинг книги
Война

Последний Герой. Том 1

Дамиров Рафаэль
1. Последний герой
Фантастика:
попаданцы
альтернативная история
фантастика: прочее
5.00
рейтинг книги
Последний Герой. Том 1