Чтение онлайн

на главную - закладки

Жанры

Ответы на экзаменационные билеты по эконометрике

Яковлева Ангелина Витальевна

Шрифт:

12. Оценивание неизвестных коэффициентов модели регрессии методом наименьших квадратов. Теорема Гаусса – Маркова

Определение коэффициентов модели регрессии осуществляется на третьем этапе схемы построения эконометрической модели. В результате этой процедуры рассчитываются оценки (приближенные значения) неизвестных коэффициентов спецификации модели.

Спецификация линейной эконометрической модели из изолированного уравнения с гомоскедастичными возмущениями имеет вид:

Рассмотрим метод наименьших квадратов на примере оценивания

эконометрических моделей в виде моделей парной регрессии (изолированных уравнений с двумя переменными).

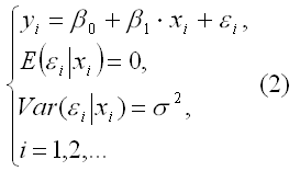
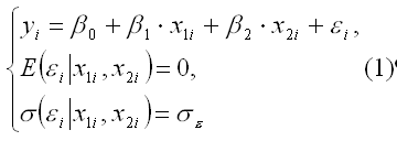
Если уравнение модели содержит две экономические переменные – эндогенную yiи предопределенную xi, то модель имеет вид:

Данная модель называется моделью линейной парной регрессии и содержит три неизвестных параметра:

0 , 1 , . (3)

Предположим, что имеется выборка: (х1, y1), (х2, y2),… (хn , yn) (4)

Тогда в рамках исследуемой модели данные величины связаны следующим образом:

y1 = a0 + a1 * x1 + u1,

y2 = a0 + a1 * x2 + u2, (5)

yn= a0 + a1 * x n + u n.

Данная система называется системой уравнений наблюдения объекта в рамках исследуемой линейной модели или схемой Гаусса-Маркова.

Компактная запись схемы Гаусса-Маркова:

где

– вектор-столбец известных значений эндогенной переменной yiмодели регрессии;

– вектор-столбец неизвестных значений случайных возмущений i;

– матрица известных значений предопределенной переменной xi модели;

= (0 1 )Т (10) – вектор неизвестных коэффициентов модели регрессии.

Обозначим оценку вектора неизвестных коэффициентов модели регрессии как

Данная оценка вычисляется на основании выборочных данных (7) и (9) с помощью некоторой процедуры:

где P (X, ) – символ процедуры.

Процедура (12) называется линейной относительно вектора (7) значений эндогенной переменной yi, если выполняется условие:

где

(14) – матрица коэффициентов, зависящих только от выборочных значений (9) предопределенной переменной хi.

Теорема Гаусса-Маркова. Пусть матрица Х коэффициентов уравнений наблюдений (6) имеет полный ранг, а случайные возмущения (8) удовлетворяют четырем условиям:

E(1) = E(2) = … = E(n) = 0, (15)

Var(1) = Var(2) = … = Var(n) = 2(16)

Cov(i, j) = 0

при i/=j(17)

Cov(xi,j) = 0 при всех значениях i и j (18)

В этом случае справедливы следующие утверждения:

а) наилучшая линейная процедура (13), приводящая к несмещенной и эффективной оценке (11), имеет вид:

б) линейная несмещенная эффективная оценка (19) обладает свойством наименьших квадратов:

в) ковариационная матрица оценки (19) вычисляется по правилу:

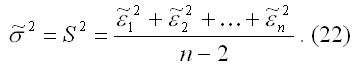
г) несмещенная оценка параметра 2 модели (2) находится по формуле:

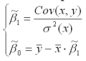
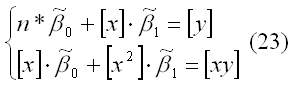
Следствие теоремы Гаусса-Маркова. Оценка

доставляемая процедурой (19) метода наименьших квадратов, может быть вычислена в процессе решения системы двух линейных алгебраических уравнений:

Данная система называется системой нормальных уравнений. Ее коэффициенты и свободные члены определяются по правилам:

[x] = x1 + x2 +…+ xn,

[y] = y1 + y2 +…+ yn, (24)

x2] = x12 + x22 +…+ xn2,

[xy] = x1*y1 + x2*y2 + … + xn*yn.

Явный вид решения системы (23):

13. Система нормальных уравнений и явный вид ее решения при оценивании методом наименьших квадратов линейной модели парной регрессии

Предположим, что в ходе регрессионного анализа была установлена линейная взаимосвязь между исследуемыми переменными х и у, которая описывается моделью регрессии вида:

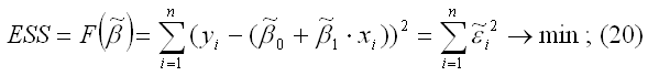
В результате оценивания данной эконометрической модели определяются оценки неизвестных коэффициентов. Классический подход к оцениванию параметров линейной регрессии основан на методе наименьших квадратов (МНК).

Метод наименьших квадратов позволяет получить такие оценки параметров 0 и 1, при которых сумма квадратов отклонений фактических значений результативного признака y от расчетных (теоретических) минимальна:

Поделиться:
Популярные книги

Зачисление

Грехов Тимофей
3. Ярар
Фантастика:
фэнтези
аниме
5.00
рейтинг книги
Зачисление

Вернуть невесту. Ловушка для попаданки

Ардова Алиса
1. Вернуть невесту
Любовные романы:
любовно-фантастические романы
8.49
рейтинг книги
Вернуть невесту. Ловушка для попаданки

Эволюционер из трущоб. Том 8

Панарин Антон
8. Эволюционер из трущоб
Фантастика:
попаданцы
аниме
фэнтези
фантастика: прочее
5.00
рейтинг книги
Эволюционер из трущоб. Том 8

Темный Лекарь

Токсик Саша
1. Темный Лекарь
Фантастика:
фэнтези
аниме
5.00
рейтинг книги
Темный Лекарь

Отверженный. Дилогия

Опсокополос Алексис
Отверженный
Фантастика:
фэнтези
7.51
рейтинг книги
Отверженный. Дилогия

Вторая жизнь майора. Цикл

Сухинин Владимир Александрович
Вторая жизнь майора
Фантастика:
героическая фантастика
боевая фантастика
попаданцы
5.00
рейтинг книги
Вторая жизнь майора. Цикл

Ведунские хлопоты

Билик Дмитрий Александрович
5. Бедовый
Фантастика:
юмористическое фэнтези
городское фэнтези
мистика
5.00
рейтинг книги
Ведунские хлопоты

Дважды одаренный. Том II

Тарс Элиан
2. Дважды одаренный
Фантастика:
городское фэнтези
альтернативная история
аниме
5.00
рейтинг книги
Дважды одаренный. Том II

Седьмой Рубеж VI

Бор Жорж
6. 5000 лет темноты
Фантастика:
фэнтези
попаданцы
5.00
рейтинг книги
Седьмой Рубеж VI

Кодекс Охотника. Книга XXVI

Винокуров Юрий
26. Кодекс Охотника
Фантастика:
попаданцы
5.00
рейтинг книги
Кодекс Охотника. Книга XXVI

Инженер Петра Великого

Гросов Виктор
1. Инженер Петра Великого
Фантастика:
попаданцы
альтернативная история
5.00
рейтинг книги
Инженер Петра Великого

Тайные поручения

Билик Дмитрий Александрович
6. Бедовый
Фантастика:
юмористическое фэнтези
городское фэнтези
мистика
5.00
рейтинг книги
Тайные поручения

Война

Валериев Игорь
7. Ермак
Фантастика:
боевая фантастика
альтернативная история
5.25
рейтинг книги
Война

Последний Герой. Том 1

Дамиров Рафаэль
1. Последний герой
Фантастика:
попаданцы
альтернативная история
фантастика: прочее
5.00
рейтинг книги
Последний Герой. Том 1