Чтение онлайн

на главную - закладки

Жанры

Ответы на экзаменационные билеты по эконометрике

Яковлева Ангелина Витальевна

Шрифт:

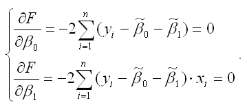
В процессе минимизации функции (1) неизвестными являются только значения коэффициентов 0 и 1, потому что значения результативной и факторной переменных известны из наблюдений. Для определения минимума функции двух переменных вычисляются частные производные этой функции по каждому из оцениваемых параметров и приравниваются к нулю. Результатом данной процедуры будет стационарная система уравнений для функции (2):

.

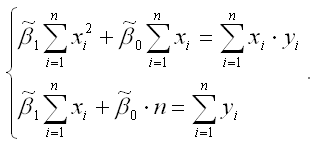
Если разделить обе части каждого уравнения системы на (-2), раскрыть скобки

и привести подобные члены, то получим систему нормальных уравнений для функции регрессии вида yi=0+1xi:

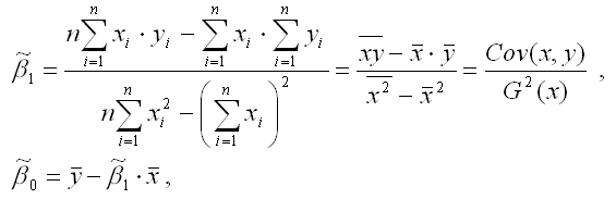
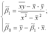
Если решить данную систему нормальных уравнений, то мы получим искомые оценки неизвестных коэффициентов модели регрессии 0 и 1:

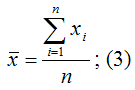
где

– среднее значение зависимой переменной;

– среднее значение независимой переменной;

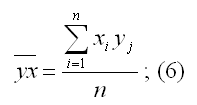
– среднее арифметическое значение произведения зависимой и независимой переменных;

– дисперсия независимой переменной;

Gcov (x, y) – ковариация между зависимой и независимой переменными.

Таким образом, явный вид решения системы нормальных уравнений может быть записан следующим образом:

< image l:href="#"/>

14. Оценка коэффициентов модели парной регрессии с помощью выборочного коэффициента регрессии

Помимо метода наименьших квадратов, с помощью которого в большинстве случаев определяются неизвестные параметры модели регрессии, в случае линейной модели парной регрессии осуществим иной подход к решению данной проблемы.

Линейная модель парной регрессии может быть записана в виде:

где узначения зависимой переменной;

х – значения независимой переменной;

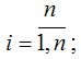
– среднее значение зависимой переменной, которое определяется на основании выборочных данных вычисленное по формуле средней арифметической:

уi– значения зависимой переменной,

n – объём выборки;

– среднее значение независимой переменной, которое определяется на основании выборочных данных вычисленное по формуле средней арифметической:

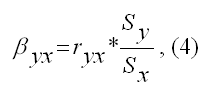
Параметр yx называется выборочным коэффициентом регрессии переменной у по переменной х. Данный параметр показывает, на сколько в среднем изменится зависимая переменная у при изменении независимой переменной х на

единицу своего измерения.

Выборочный коэффициент регрессии переменной у по переменной х рассчитывается по формуле:

где ryx – это выборочный парный коэффициент корреляции между переменными у и х, который рассчитывается по формуле:

– среднее арифметическое значение произведения зависимой и независимой переменных:

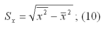
Sy – показатель выборочного среднеквадратического отклонения зависимой переменной у. Этот показатель характеризует, на сколько единиц в среднем отклоняются значения зависимой переменной у от её среднего значения. Он рассчитывается по формуле:

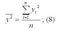
– среднее значение из квадратов значений зависимой переменной у:

– квадрат средних значений зависимой переменной у:

Sx – показатель выборочного среднеквадратического отклонения независимой переменной х. Этот показатель характеризует, на сколько единиц в среднем отклоняются значения независимой переменной х от её среднего значения. Они рассчитывается по формуле:

– среднее значение из квадратов значений независимой переменной х:

– квадрат средних значений независимой переменной х:

При использовании рассмотренного подхода оценивания неизвестных параметров линейной модели парной регрессии, следует учитывать что ryx=rxy, однако yx/=xy.

15. Оценка дисперсии случайной ошибки модели регрессии

При проведении регрессионного анализа основная трудность заключается в том, что генеральная дисперсия случайной ошибки является неизвестной величиной, что вызывает необходимость в расчёте её несмещённой выборочной оценки.

Несмещённой оценкой дисперсии (или исправленной дисперсией) случайной ошибки линейной модели парной регрессии называется величина, рассчитываемая по формуле:

где n – это объём выборочной совокупности;

Поделиться:
Популярные книги

Запечатанный во тьме. Том 1. Тысячи лет кача

NikL
1. Хроники Арнея
Фантастика:
уся
эпическая фантастика
фэнтези
5.00
рейтинг книги
Запечатанный во тьме. Том 1. Тысячи лет кача

Решала

Иванов Дмитрий
10. Девяностые
Фантастика:
попаданцы
альтернативная история
5.00
рейтинг книги
Решала

Матрос империи. Начало

Четвертнов Александр
1. Матрос империи
Фантастика:
героическая фантастика
4.86
рейтинг книги
Матрос империи. Начало

Граф

Ланцов Михаил Алексеевич
6. Помещик
Фантастика:
альтернативная история
5.00
рейтинг книги
Граф

Газлайтер. Том 4

Володин Григорий
4. История Телепата
Фантастика:
попаданцы
альтернативная история
аниме
5.00
рейтинг книги
Газлайтер. Том 4

Низший - Инфериор. Компиляция. Книги 1-19

Михайлов Дем Алексеевич
Фантастика 2023. Компиляция
Фантастика:
боевая фантастика
5.00
рейтинг книги
Низший - Инфериор. Компиляция. Книги 1-19

Темный Лекарь 5

Токсик Саша
5. Темный Лекарь
Фантастика:
фэнтези
аниме
5.00
рейтинг книги
Темный Лекарь 5

Графиня с изъяном. Тайна живой стали

Лин Айлин
Фантастика:
фэнтези
героическая фантастика
киберпанк
5.00
рейтинг книги
Графиня с изъяном. Тайна живой стали

Цикл "Отмороженный". Компиляция. Книги 1-14

Гарцевич Евгений Александрович
Отмороженный
Фантастика:
боевая фантастика
рпг
постапокалипсис
5.00
рейтинг книги
Цикл Отмороженный. Компиляция. Книги 1-14

Как я строил магическую империю 3

Зубов Константин
3. Как я строил магическую империю
Фантастика:
попаданцы
постапокалипсис
аниме
фэнтези
5.00
рейтинг книги
Как я строил магическую империю 3

Мастер 5

Чащин Валерий
5. Мастер
Фантастика:
попаданцы
аниме
5.00
рейтинг книги
Мастер 5

Пушкарь. Пенталогия

Корчевский Юрий Григорьевич
Фантастика:
альтернативная история
8.11
рейтинг книги
Пушкарь. Пенталогия

Барон Дубов 4

Карелин Сергей Витальевич
4. Его Дубейшество
Фантастика:
юмористическое фэнтези
аниме
сказочная фантастика
фэнтези
5.00
рейтинг книги
Барон Дубов 4

Газлайтер. Том 2

Володин Григорий
2. История Телепата
Фантастика:
попаданцы
альтернативная история
аниме
5.00
рейтинг книги
Газлайтер. Том 2