Чтение онлайн

на главную - закладки

Жанры

Фейнмановские лекции по физике. 6. Электродинамика
Шрифт:

записать

(17.46)

Любопытно, что при некоторых ограничениях этот интеграл можно превратить в

(17.47)

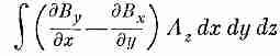
Чтобы увидеть это, выпишем подробно типичный множитель. Предположим, что мы взяли множитель (СXB)zAz, входящий в интеграл (17.46). Выписывая полностью компоненты, полу­чаем

(имеются, конечно, еще два интеграла того же

сорта). Проинте­грируем теперь первый множитель по х, интегрируя по частям,

Теперь предположим, что наша система (имея в виду источники и поля) — конечная, так что, когда мы уходим на большие рас­стояния, все поля стремятся к нулю. Тогда при интегрировании по всему пространству подстановка ByAzна пределах интеграла дает нуль. У нас остается только В (дАг/дх); это, очевидно, есть часть от By(СXA)yи, значит, от В·(СXA). Если вы вы­пишите остальные пять множителей, то увидите, что (17.47) на самом деле эквивалентно (17.46).

А теперь мы можем заменить (СXA) на В и получить

(17.48)

Мы выразили энергию в магнитостатическом случае только через магнитное поле. Выражение тесно связано с формулой, которую мы нашли для электростатической энергии:

(17.49)

Эти две энергетические формулы выделены потому, что иногда ими удобнее пользоваться. Обычно есть и более важная причина: оказывается, что для динамических полей (когда Е и В меняются со временем) оба выражения (17.48) и (17.49) остаются справедливыми, тогда как другие данные нами фор­мулы для электрической и магнитной энергий перестают быть верными — они годятся лишь для статических полей.

Если нам известно магнитное поле В одной катушки, мы можем найти коэффициент самоиндукции, приравнивая выра­жение для энергии (17.48) и 1/2жI2. Посмотрим, что получится в результате для индуктивности длинного соленоида. Раньше мы видели, что магнитное поле в соленоиде однородно и В снаружи равно нулю. Величина поля внутри равна В=nI/e0с2, где n — число витков на единицу длины намотки, а I — ток. Если радиус катушки r, а длина ее L (мы считаем, что L очень велика, чтобы можно было пренебречь краевыми эффектами, т. е. L >>r), то внутренний объем равен pr2L. Следовательно, магнитная энергия равна

что равно 1/2^I2. Или

(17.50)

* Кстати, это не единственный способ установления соответствия между механическими и электрическими величинами.

* Мы пренебрегаем всеми тепловыми потерями энергии в сопротив­лении катушки. Эти потери требуют дополнительных затрат энергии источника, но не меняют энергии, которая тратится на индуктивность.

Глава 18

УРАВНЕНИЯ

МАКСВЕЛЛА

§ 1. Уравнения Максвелла

§ 2. Что дает добавка

§ 3. Все о класси­ческой физике

§ 4. Передвигаю­щееся поле

§ 5. Скорость света

§ 6. Решение уравнений Максвелла; потенциалы и волновое уравнение

§ 1. Уравнения Максвелла

В этой главе мы вернемся к полной системе из четырех уравнений Максвелла, которые мы приняли как отправной пункт в гл. 1 (вып. 5). , До сих пор мы изучали уравнения Максвелла не­большими частями, кусочками; теперь пора уже прибавить последнюю часть и соединить их все воедино. Тогда мы будем иметь полное и точное описание электромагнитных полей, которые могут изменяться со временем произвольным образом. Все сказанное в этой главе, если даже оно и будет противоречить чему-то сказанному ранее, правильно, а то, что говорилось ранее в этих случаях, неверно, потому что все высказанное ранее применялось к таким част­ным случаям, как, скажем, случаи постоянного тока или фиксированных зарядов. Хотя всякий раз, когда мы записывали уравнение, мы весьма старательно указывали ограничения, легко по­забыть все эти оговорки и слишком хорошо заучить ошибочные уравнения. Теперь мы можем изложить всю истину, без всяких ограни­чений (или почти без них).

Все уравнения Максвелла записаны в табл. 18.1 как словесно, так и в математических символах. Тот факт, что слова эквивалентны уравнениям, должен быть сейчас вам уже зна­ком — вы должны уметь переводить одну форму в другую и обратно.

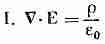
Первое уравнение — дивергенция Е равна плотности заряда, деленной на eо,— правильно всегда. Закон Гаусса справедлив всегда как в динамических, так и в статических полях. Поток Е через любую замкнутую поверхность пропорционален заключенному внутри заряду. Третье уравнение — соответствующий общий закон для магнитных полей.

Уравнения Максвелла

(Поток Е через замкнутую поверх­ность) = (Заряд внутри нее)/e0

(Интеграл от Е по замкнутому кон­туру) = -d/dt(Поток В сквозь контур)

(Поток В через замкнутую поверх­ность) = 0

с2 (Интеграл от В по контуру)=(Ток в контуре) /e0 + d/dt(Поток Е сквозь контур)

(Поток заряда через замкнутую по­верхность) =-d/dt(Заряд внутри нее)

Закон силы

F = q(E+vXB)

Закон движения

(Закон Ньютона, исправлен­ный Эйнштейном}

Гравитация

Поскольку магнитных зарядов нет, поток В через любую замкнутую поверхность всегда равен нулю. Второе уравнение СXE=-dB/dt — это закон Фарадея, и обсуждался он в последних двух главах. Он тоже верен в общем случае. Но последнее уравнение содержит нечто новое. Раньше мы встречались только с частью его, которая годится для постоянных токов. В этом случае мы говорили, что ротор В равен j/e0c2, но правильное общее уравнение имеет новый член, который был открыт Максвеллом.

Поделиться:
Популярные книги

Мы – Гордые часть 8

Машуков Тимур
8. Стальные яйца
Фантастика:
попаданцы
аниме
фэнтези
5.00
рейтинг книги
Мы – Гордые часть 8

Идеальный мир для Лекаря 12

Сапфир Олег
12. Лекарь
Фантастика:
боевая фантастика
юмористическая фантастика
аниме
5.00
рейтинг книги
Идеальный мир для Лекаря 12

Барон переписывает правила

Ренгач Евгений
10. Закон сильного
Фантастика:
попаданцы
аниме
фэнтези
5.00
рейтинг книги
Барон переписывает правила

Неудержимый. Книга X

Боярский Андрей
10. Неудержимый
Фантастика:
фэнтези
попаданцы
аниме
5.00
рейтинг книги
Неудержимый. Книга X

Гранд империи

Земляной Андрей Борисович
3. Страж
Фантастика:
фэнтези
попаданцы
альтернативная история
5.60
рейтинг книги
Гранд империи

Неудержимый. Книга III

Боярский Андрей
3. Неудержимый
Фантастика:
фэнтези
попаданцы
аниме
5.00
рейтинг книги
Неудержимый. Книга III

Адаптация

Уленгов Юрий
2. Гардемарин ее величества
Фантастика:
городское фэнтези
попаданцы
альтернативная история
аниме
5.00
рейтинг книги
Адаптация

Офицер империи

Земляной Андрей Борисович
2. Страж [Земляной]
Фантастика:
боевая фантастика
попаданцы
альтернативная история
6.50
рейтинг книги
Офицер империи

Наследник с Меткой Охотника

Тарс Элиан
1. Десять Принцев Российской Империи
Фантастика:
попаданцы
альтернативная история
аниме
5.00
рейтинг книги
Наследник с Меткой Охотника

Как я строил магическую империю 6

Зубов Константин
6. Как я строил магическую империю
Фантастика:
попаданцы
аниме
фантастика: прочее
фэнтези
5.00
рейтинг книги
Как я строил магическую империю 6

Цеховик. Книга 2. Движение к цели

Ромов Дмитрий
2. Цеховик
Фантастика:
попаданцы
альтернативная история
5.00
рейтинг книги
Цеховик. Книга 2. Движение к цели

С Д. Том 16

Клеванский Кирилл Сергеевич
16. Сердце дракона
Фантастика:
боевая фантастика
6.94
рейтинг книги
С Д. Том 16

Варяг

Мазин Александр Владимирович
1. Варяг
Фантастика:
альтернативная история
9.10
рейтинг книги
Варяг

Дорогами алхимии

Видум Инди
2. Под знаком Песца
Фантастика:
альтернативная история
аниме
5.00
рейтинг книги
Дорогами алхимии