Чтение онлайн

на главную - закладки

Жанры

Занимательный космос. Межпланетные путешествия
Шрифт:

Выполняя вычисление, получаем

Продолжительность явления должна действительно возрасти, но, как видим, всего на одну 72-миллионную. Это значит, что космическое путешествие, длящееся для земного наблюдателя целый год, будет для ракетного пилота длиться на треть секунды больше. Такая прибавка не может иметь для астронавигации ровно никакого значения.

Примерно того же ничтожного порядка и влияние различия полей тяготения Земли и звездолета.

Другое дело, если бы звездолет несся со скоростью десятков тысяч километров в секунду – эффекты теории относительности сказались бы тогда ощутительно. Но я в моей книге в подобные фантазии не вдаюсь.

О них уместно будет завести речь лишь в том случае, если шансы на овладение внутриатомной энергией сделаются технически реальными.

Заключение

Мы видели, что проблема звездоплавания – если не в полном объеме, то в существенной своей

части – может считаться разрешенной уже в наши дни. Разрешенной не в техническом, конечно, смысле, а в механическом и физическом: найдены в инвентаре современной науки те физико-механические принципы, на которых может быть построен звездолет будущего. Таким принципом является закон противодействия, и прообразом звездолета является ракета. Сам Ньютон, провозгласивший закон противодействия, пророчески сказал, что если удастся когда-нибудь людям летать в пустом пространстве, то сделано это будет только с помощью аппаратов, основанных на этом начале. Теперь уже нет сомнения, что человечеству суждено вступить когда-нибудь в прямое сообщение с другими планетами, начать новый, «вселенский» период своей истории, и осуществится этот шаг при помощи исполинских ракет – единственного средства, разрешающего проблему межпланетных путешествий.

Гений Ньютона открыл человечеству закон действия могучей силы, приковывающей нас к Земле. Но тот же гений провозгласил и другой закон природы, опираясь на который, человек свергнет иго тяжести и вырвется из земного плена на простор Вселенной, в необъятный мир миров.

Приложения

1. Сила тяготения

Приведенные в главе 2 примеры действия силы тяготения могут быть проверены несложными расчетами, основанными на законе Ньютона и элементах механики. Читатели, имеющие начальные сведения из алгебры, без затруднения проследят за ними. Напомним, что за единицу измерения силы в механике принята сила, которая, будучи приложена к свободному телу массою в 1 грамм, ежесекундно увеличивает его скорость на 1 сантиметр в секунду. Эта единица силы называется диной. Так как сила земного притяжения ежесекундно увеличивает скорость свободно падающего грамма почти на 1000 см/сек (9,8 м/с), то сила, с какой притягивается к Земле 1 г, больше дины почти в 1000 раз, т. е. равна (почти) 1000 дин. Другими словами: вес гирьки в 1 г (сила ее притяжения к Земле) равен почти 1000 дин. Это дает представление о величине дины в единицах веса: дина равна примерно 1000-й доле грамма.

Далее: установлено, что два шарика, по 1 грамму каждый, расстояние между центрами которых равно 1 сантиметру, притягиваются между собою с силою в одну 15-миллионную долю дины. Эту величину называют «постоянной тяготения».

После сказанного нетрудно, на основании закона Ньютона, вычислить силу взаимного притяжения двух человеческих тел, разделенных промежутком в 1 м (или 100 м). Принимая вес человеческого тела в 65 кг (65 000 г) и имея в виду, что взаимное притяжение прямо пропорционально произведению масс и обратно пропорционально квадрату расстояния (закон Ньютона), – имеем для силы взаимного притяжения

Итак, два человеческих тела на расстоянии 1 м притягиваются взаимно с силою 0,028 дины (около 40-й доли миллиграмма).

Таким же образом может быть вычислена сила взаимного притяжения и двух линейных кораблей, разделенных расстоянием в 1 км. Масса каждого корабля равна 25 000 т = 25 000 000 000 г; расстояние равно 100 000 см. Поэтому взаимное притяжение равно:

Так как 1000 дин = 1 г, то 4200 дин равны примерно 4 г.

2. Падение в мировом пространстве

Полет пушечного снаряда Жюля Верна на Луну можно рассматривать как случай падения тела в мировом пространстве под влиянием силы тяготения. Поэтому, прежде чем рассматривать условия его полета, полезно рассмотреть следующую задачу из области небесной механики.

Во сколько времени упал бы на Солнце земной шар, если бы от какой-нибудь причины прекратилось его движение по орбите?

Задачи подобного рода легко разрешаются на основании третьего закона Кеплера: квадраты времен обращения планет и комет относятся как кубы их средних расстояний от Солнца; среднее же расстояние от Солнца равно длине большой полуоси эллипса. В нашем случае мы можем земной шар, падающий прямо на Солнце, уподобить воображаемой комете, движущейся по сильно вытянутому эллипсу, крайние точки которого расположены: одна – близ земной орбиты, другая – в центре Солнца. Среднее расстояние такой кометы от Солнца, т. е. большая полуось ее орбиты, очевидно, вдвое меньше среднего расстояния Земли. Вычислим, каков должен был бы быть период обращения этой воображаемой кометы. Составим, на основании третьего закона Кеплера, пропорцию:

Период обращения Земли равен 365 суткам; среднее расстояние ее от Солнца примем за единицу, и тогда среднее расстояние кометы выразится через 1/2. Пропорция принимает вид:

Откуда

или

Но

нас интересует не полный период обращения этой воображаемой кометы, а половина периода, т. е. продолжительность полета в один конец – от земной орбиты до Солнца: это и есть искомая продолжительность падения Земли на Солнце. Она равна

Итак, чтобы узнать, за сколько времени Земля упала бы на Солнце, нужно продолжительность года разделить на

, т. е. на 5,6. Легко видеть, что полученное простое правило применимо не к одной только Земле, но и ко всякой другой планете и ко всякому спутнику. Иначе говоря, чтобы узнать, за сколько времени планета или спутник упадут на свое центральное светило, нужно период их обращения разделить на

, т. е. на 5,6. Меркурий, обращающийся за 88 дней, упал бы на Солнце за 15,5 дней; Сатурн, период обращения которого равняется 30 нашим годам, – падал бы на Солнце в течение 5,5 лет. А Луна упала бы на Землю за 27,3: 5,6, т. е. за 4,8 суток. И не только Луна, но и всякое вообще тело, находящееся от нас на расстоянии Луны, падало бы к Земле в течение 4,8 суток (если только ему не сообщена начальная скорость, а падает оно, подчиняясь лишь действию одного земного притяжения).

Здесь мы вплотную подходим к задаче Жюля Верна. Легко понять, что столько же времени должно лететь на Луну всякое тело, брошенное с Земли на Луну с такою скоростью, чтобы пройти как раз расстояние до Луны. Значит, алюминиевый снаряд Жюля Верна должен был бы лететь около 5 суток, если бы его хотели закинуть на расстояние Луны.

Однако члены Пушечного клуба рассчитывали закинуть снаряд не прямо на Луну, а только до той точки между Землей и Луной, где силы притяжения обоих светил уравниваются: отсюда снаряд сам уже упал бы на Луну, притягиваемый ею. Эта «нейтральная» точка находится на 0,9 расстояния от Земли.

Вычисление, следовательно, несколько усложняется. Во-первых, нужно вычислить, за сколько времени снаряд долетел бы до 0,9 расстояния между Землей и Луной, или, что то же самое, за сколько времени тело с этого расстояния упало бы на Землю; во-вторых, надо определить продолжительность падения тела от этой нейтральной точки до Луны.

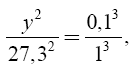
Для решения первой задачи представим себе, что на 0,9 расстояния от Земли до Луны обращается вокруг нашей планеты небесное тело, и вычислим период обращения этого воображаемого спутника Земли. Обозначив неизвестный период обращения через х, составляем, на основании третьего Кеплерова закона, пропорцию

отсюда искомый период обращения

Разделив этот период на

, т. е. на 5,6, мы, согласно выведенному ранее правилу, получим время перелета снаряда от Земли до нейтральной точки: 23,3: 5,6 = 4,1 суток.

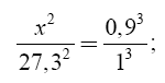
Вторую задачу решаем сходным образом. Чтобы вычислить, за сколько времени снаряд упал бы с расстояния нейтральной точки до Луны, нужно сначала определить, за сколько времени снаряд, находясь на том же расстояний от Луны, совершил бы вокруг нее полный оборот. Радиус орбиты этого воображаемого спутника Луны равен 0,1 радиуса лунной орбиты, а масса центрального светила (в данном случае Луны), в 81 раз меньше массы Земли. Если бы масса Луны равнялась земной, то спутник, обращаясь на среднем расстоянии вдесятеро меньшем, чем лунное, совершил бы полный оборот в период у, легко вычисляемый по закону Кеплера:

откуда

Но так как масса, а следовательно, и притягательное действие центрального светила в данном случае в 81 раз меньше, чем в системе Земли, то время обращения снаряда спутника будет дольше. Во сколько раз? Из механики мы знаем, что центростремительное ускорение пропорционально квадрату скорости. Здесь это ускорение (производимое притяжением Луны) меньше в 81 раз, – следовательно, скорость движения снаряда по орбите должна быть меньше в

раз, т. е. в 9 раз. Другими словами, снаряд в роли лунного спутника должен обегать кругом Луны в 9 раз медленнее, чем он обходил бы на таком же расстоянии вокруг Земли. Значит, искомое время обращения равняется:

Поделиться:
Популярные книги

Тринадцатый IV

NikL
4. Видящий смерть
Фантастика:
боевая фантастика
попаданцы
5.00
рейтинг книги
Тринадцатый IV

Кодекс Крови. Книга VI

Борзых М.
6. РОС: Кодекс Крови
Фантастика:
фэнтези
попаданцы
аниме
5.00
рейтинг книги
Кодекс Крови. Книга VI

Мама для крошки-дракошки, или жена Хранителя Севера

Рыжехвост Светлана
Любовные романы:
любовно-фантастические романы
7.50
рейтинг книги
Мама для крошки-дракошки, или жена Хранителя Севера

Гримуар темного лорда VII

Грехов Тимофей
7. Гримуар темного лорда
Фантастика:
боевая фантастика
попаданцы
аниме
фэнтези
5.00
рейтинг книги
Гримуар темного лорда VII

Наследник павшего дома. Том IV

Вайс Александр
4. Расколотый мир
Фантастика:
фэнтези
попаданцы
аниме
5.00
рейтинг книги
Наследник павшего дома. Том IV

Прометей: повелитель стали

Рави Ивар
3. Прометей
Фантастика:
фэнтези
7.05
рейтинг книги
Прометей: повелитель стали

Ваше Сиятельство 4т

Моури Эрли
4. Ваше Сиятельство
Любовные романы:
эро литература
5.00
рейтинг книги
Ваше Сиятельство 4т

Отмороженный 7.0

Гарцевич Евгений Александрович
7. Отмороженный
Фантастика:
рпг
аниме
5.00
рейтинг книги
Отмороженный 7.0

Виконт. Книга 1. Второе рождение

Юллем Евгений
1. Псевдоним `Испанец`
Фантастика:
фэнтези
боевая фантастика
попаданцы
6.67
рейтинг книги
Виконт. Книга 1. Второе рождение

Кодекс Крови. Книга ХVI

Борзых М.
16. РОС: Кодекс Крови
Фантастика:
попаданцы
аниме
фэнтези
5.00
рейтинг книги
Кодекс Крови. Книга ХVI

Призыватель нулевого ранга. Том 2

Дубов Дмитрий
2. Эпоха Гардара
Фантастика:
попаданцы
аниме
фэнтези
5.00
рейтинг книги
Призыватель нулевого ранга. Том 2

Восход. Солнцев. Книга VIII

Скабер Артемий
8. Голос Бога
Фантастика:
фэнтези
попаданцы
аниме
5.00
рейтинг книги
Восход. Солнцев. Книга VIII

Испытание славой

Распопов Дмитрий Викторович
5. 30 сребреников
Фантастика:
попаданцы
альтернативная история
фэнтези
фантастика: прочее
5.00
рейтинг книги
Испытание славой

Инженер Петра Великого

Гросов Виктор
1. Инженер Петра Великого
Фантастика:
попаданцы
альтернативная история
5.00
рейтинг книги
Инженер Петра Великого