Чтение онлайн

на главную - закладки

Жанры

Занимательный космос. Межпланетные путешествия
Шрифт:

ft = (M-Mk)c ,

где M t – масса автомобиля до взрывания, Mk – его масса после взрывания; с – скорость вытекания газа. Для удобства обозначим Mt – Mk , т. е. запас горючего, через Q , тогда

Полезная же работа автомобиля равна:

так как путь s = vt , где v – скорость автомобиля.

Энергия, затраченная при этом, составляется из двух частей: 1) из той, которая была израсходована на приведение горючего в равномерное движение со скоростью v; эта часть равна-1/2Q v 2; 2) из той, которая расходуется

на сообщение частицам отбрасываемых газов скорости с ; часть эта равна – 1/2Q c2. Вся затраченная энергия равна

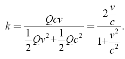
Отсюда искомое полезное действие

Оно достигает наибольшей величины при v = с, т. е. когда автомобиль движется со скоростью вытекания продуктов взрыва. По этой формуле легко вычислить полезное действие ракетного автомобиля; например, для с = 2000 м/с и V = 200 км/ч = 55 м/с:

k = 5,5 %.

Чтобы соперничать в экономичности с обыкновенным автомобилем, полезное действие которого около 20 %, авторакета должна обладать скоростью не ниже 760 км/ч. Но подобная скорость для колесного экипажа практически недопустима, так как сопряжена с опасностью разрыва бандажей колес центробежным эффектом.

4. Начальная скорость и продолжительность перелетов

Начальная скорость

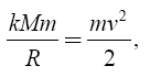
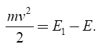
Читатели пожелают, вероятно, узнать, как вычисляется скорость, с которой тело должно покинуть планету, чтобы преодолеть силу ее притяжения. Вычисление основано на законе сохранения энергии. Тело должно получить при взлете запас кинетической энергии, равный той работе, которую ему предстоит совершить. Если масса тела т, а искомая скорость v, то кинетическая энергия («живая сила») тела в момент взлета

mv2/2

Работа же, совершаемая силой при перемещении с поверхности планеты в бесконечность (при отсутствии других центров притяжения), равна, как устанавливает небесная механика,

где М — масса планеты, R — ее радиус, а к — так называемая постоянная тяготения (см. Приложение 1). Абсолютную величину этой работы приравниваем к кинетической энергии:

откуда

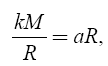
Далее, мы знаем, что вес тела на поверхности планеты, т. е. сила, с какою планета его притягивает, равен, по закону тяготения:

если масса тела т. Механика дает нам также и другое выражение для веса – произведение массы на ускорение, та.

Значит,

откуда

и, следовательно, формула

принимает вид:

V2 = 2 aR,

откуда

Подставляя вместо а — ускорение тяжести на планете, а вместо R — радиус, получаем величину скорости, с какою тело навсегда покидает планету. Например, для Луны а = 1,62 м/с2, R = 1 740 000 м. Поэтому искомая скорость

На том же можно основать вычисление начальной скорости снаряда или ракеты, которые, покинув Землю, должны долететь до точки равного притяжения между Землей и Луной. Масса Земли в 81 раз больше массы Луны, а так как сила притяжения уменьшается пропорционально квадрату удаления, то притяжения Земли и Луны уравниваются на расстоянии от Земли в 9 раз большем, чем от Луны (тогда притяжение Земли ослабеет в 9 × 9, т. е. в 81 раз больше, чем притяжение Луны). Значит, точка равного притяжения лежит в 0,9 расстояния между Землей и Луной; последнее равно 60,3 радиуса R земного шара, так что ядро должно

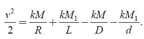
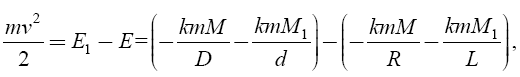
пролететь расстояние D = 0,9 × 60,3 R = 54,3 R. Обозначив искомую скорость, с какою тело должно покинуть Землю, через v, имеем для кинетической энергии тела в момент вылета mv2/2. где т — масса тела. Произведенная же этим телом работа, по законам небесной механики, равна потерянной потенциальной энергии, т. е. разности потенциальной энергии Е 1 и Е и конечной и начальной точках пути. Поэтому

Здесь Е1 есть потенциальная энергия тела в конечной точке пути по отношению к Земле и к Луне. Первая часть потенциальной энергии равна:

где k – постоянная тяготения, М — масса Земли, т – масса брошенного тела, D — расстояние тела от центра Земли в конечной точке пути.

Вторая доля равна потенциальной энергии (по отношению к Луне):

где к и т имеют прежние значения, М1 – масса Луны, d – расстояние тела от центра Луны в конечной точке пути.

Величина Е есть потенциальная энергия тела (в точке земной поверхности) по отношению к Земле и Луне. Она равна

где R — радиус Земли, L – расстояние от поверхности Земли до центра Луны, а к, т, М и М1 имеют прежние значения.

Итак,

или

Подставим:

Имеем:

или

откуда

Известно, что

g = 9,8 м/с2;

R = 6370 км.

Выполнив вычисления, получаем искомую скорость

v = 1 107 000 см/с = 11,07 км/с.

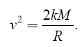
Указанным способом можно вычислить скорость и в других подобных случаях. Например, для определения скорости ракеты, взлетающей с Луны по направлению к Земле, имеем уравнение:

Здесь предполагается, конечно, что ракета должна достичь лишь точки равного притяжения, откуда начнется падение на Землю. Зная, что масса М 1 Луны равна M/ 81, где М – масса Земли, имеем (после сокращения на m ):

откуда v = 2,27 км/с – на сто метров меньше, чем скорость, вычисленная без принятия в расчет притяжения Земли. С такой же скоростью должно удариться о лунную почву тело, падающее на Луну из точки равного притяжения, имея Землю позади себя.

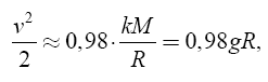
Так производится расчет наличной скорости для артиллерийского снаряда, скорости, имеющей максимальное значение на земной поверхности. В случае ракеты скорость на уровне земной поверхности равна нулю и постепенно растет по мере взлета ракеты, пока не прекратится горение заряда. Следовательно, максимальную свою скорость ракета приобретает на некоторой высоте над Землей, где напряжение тяжести, естественно, меньше, чем на уровне моря. Поэтому максимальная скорость, уносящая ракету в межпланетный полет, меньше, чем для пушечного снаряда. Вычислим ее, сделав предпосылку, что ракета летит с ускорением, равным утроенному ускорению земной тяжести.

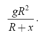
Обозначим высоту, на которой ракета приобретает максимальную скорость v, через х. Известно, что v2 = 2 · 3 g · x = 6gx.

Потенциальная энергия единицы массы ракеты на уровне × равна, согласно предыдущему:

Поделиться:
Популярные книги

Восход. Солнцев. Книга I

Скабер Артемий
1. Голос Бога
Фантастика:
фэнтези
попаданцы
аниме
5.00
рейтинг книги
Восход. Солнцев. Книга I

Мастер...

Чащин Валерий
1. Мастер
Фантастика:
героическая фантастика
попаданцы
аниме
6.50
рейтинг книги
Мастер...

Газлайтер. Том 18

Володин Григорий Григорьевич
18. История Телепата
Фантастика:
попаданцы
аниме
фэнтези
5.00
рейтинг книги
Газлайтер. Том 18

Камень. Книга 4

Минин Станислав
4. Камень
Фантастика:
боевая фантастика
7.77
рейтинг книги
Камень. Книга 4

Кровь на эполетах

Дроздов Анатолий Федорович
3. Штуцер и тесак
Фантастика:
альтернативная история
7.60
рейтинг книги
Кровь на эполетах

Наследник павшего дома. Том IV

Вайс Александр
4. Расколотый мир
Фантастика:
фэнтези
попаданцы
аниме
5.00
рейтинг книги
Наследник павшего дома. Том IV

Отмороженный 13.0

Гарцевич Евгений Александрович
13. Отмороженный
Фантастика:
боевая фантастика
попаданцы
рпг
фантастика: прочее
фэнтези
5.00
рейтинг книги
Отмороженный 13.0

На границе империй. Том 9. Часть 5

INDIGO
18. Фортуна дама переменчивая
Фантастика:
космическая фантастика
попаданцы
5.00
рейтинг книги
На границе империй. Том 9. Часть 5

Испытание морем

Распопов Дмитрий Викторович
4. 30 сребреников
Фантастика:
попаданцы
альтернативная история
фэнтези
фантастика: прочее
5.00
рейтинг книги
Испытание морем

Я уже князь. Книга XIX

Дрейк Сириус
19. Дорогой барон!
Фантастика:
юмористическое фэнтези
попаданцы
аниме
5.00
рейтинг книги
Я уже князь. Книга XIX

Черный Маг Императора 5

Герда Александр
5. Черный маг императора
Фантастика:
юмористическое фэнтези
попаданцы
аниме
5.00
рейтинг книги
Черный Маг Императора 5

Аристократ из прошлого тысячелетия

Еслер Андрей
3. Соприкосновение миров
Фантастика:
фэнтези
попаданцы
аниме
5.00
рейтинг книги
Аристократ из прошлого тысячелетия

Я не князь. Книга XIII

Дрейк Сириус
13. Дорогой барон!
Фантастика:
юмористическое фэнтези
попаданцы
аниме
5.00
рейтинг книги
Я не князь. Книга XIII

Чехов. Книга 2

Гоблин (MeXXanik)
2. Адвокат Чехов
Фантастика:
фэнтези
альтернативная история
аниме
5.00
рейтинг книги
Чехов. Книга 2