Чтение онлайн

на главную - закладки

Жанры

Занимательный космос. Межпланетные путешествия
Шрифт:

Чтобы получить продолжительность падения снаряда от нейтральной точки до Луны, нужно, как мы уже знаем, найденный сейчас период его обращения (7,77) разделить на

, т. е. на 5,6; получим 1,4 суток, а точнее – 33,5 часа [48] .

Итак, весь перелет пушечного снаряда от Земли до Луны должен был бы длиться 4,1 + 1,4 суток = 5,5 суток.

Однако это не вполне точный результат: здесь не принято во внимание то обстоятельство, что и при полете от Земли до нейтральной точки снаряд подвергается притягательному действию Луны, которое ускоряет его движение; с другой стороны, при падении на Луну он испытывает на себе замедляющее действие земного притяжения. Последнее действие должно быть особенно заметно и, как показывает более точное вычисление (по формуле, приведенной ниже), примерно вдвое увеличило бы продолжительность падения снаряда от нейтральной точки до Луны. Благодаря этим поправкам общая продолжительность перелета снаряда от Земли до Луны с 5,5 суток возрастает до 7 суток. В романе продолжительность перелета определена «астрономами

Кэмбриджской обсерватории» в 97 час 13 мин 20 с, т. е. в 4 с небольшим суток, вместо 7 суток. Жюль Верн ошибся на трое суток. Ошибка произошла от того, что романист (или лицо, производившее для него расчеты) преуменьшил время падения снаряда от нейтральной точки до Луны: оно определено всего в 13 час 53 мин, между тем как это падение должно было совершиться гораздо медленнее и отнять 67 часов.

Если тело падает без начальной скорости с весьма большого расстояния Н не до центра притяжения, а до некоторого расстояния h, то продолжительность t (в секундах) такого падения вычисляется по следующей формуле, которая выводится в курсах интегрального исчисления:

Здесь H и h имеют указанные выше значения, R — радиус планеты, а — ускорение тяжести на ее поверхности. По этой формуле вычисляется также продолжительность взлета тела от расстояния h до расстояния Н, где оно должно утратить всю свою скорость.

Для примера вычислим продолжительность взлета тела, брошенного с земной поверхности на высоту земного радиуса. В этом случае Н = 2R; h = R; а = g = 9,8; R= 6370.

Имеем продолжительность взлета:

Значит, ракета, пущенная вверх на расстояние земного радиуса, должна возвратиться через 69 минут.

3. Динамика ракеты

Для понимания дальнейшего необходимо отчетливо уяснить себе некоторые теоремы механики, относящиеся к «количеству движения» и к «центру тяжести». Предпосылаем поэтому нашему изложению небольшую главу из «Курса физики» Гримзеля, где положения эти разъяснены весьма наглядно и с достаточной полнотой.

___________________________________

Импульс. Количество движения

Сохранение движения центра тяжести

«Сила Р сообщает свободной массе т ускорение а, которое определяется из уравнения Р = та. Если сила Р постоянна, то и ускорение, постоянно, т. е. движение – равномерно-ускоренное. Если постоянная сила Р действует на массу т в течение времени t, то она сообщает ей скорость V = at. Чтобы оценить действие силы Р за время t, мы умножим выражение силы Р = та на t. Мы получим равенство Р · t = т · v.

Произведение Р · t называется импульсом силы Р за время t. Произведение т · v называется количеством движения массы т, движущейся со скоростью v. Импульс силы равен количеству движения массы, приведенной в движение этой силой.

Если действует сила переменная, то, строго говоря, этот закон можно прилагать лишь к малым промежуткам времени t, в течение которых силу можно считать неизменяющейся. Тогда предыдущее равенство принимает вид:

P · Δt = т · Av.

Понятие импульса и количества движения постоянно применяются в случаях, когда проявляются действие и противодействие.

Рис. 57. Баллистический маятник

Примером практического применения этих понятий может служить баллистический маятник, употребляемый для измерения скорости снаряда. Он состоит из большой, но податливой массы М (например, ящика с песком), которая подвешена на стержне, могущем вращаться около некоторой оси (рис. 57). В маятник стреляют снарядом, имеющим массу т, снаряд входит в песок и сообщает общей массе М + т некоторую скорость. Маятник отклоняется, и высоту его подъема h измеряют. По высоте подъема вычисляют начальную скорость маятника

.

Количество движения, приобретенное маятником (вправо), есть Mvx1; количество движения, приобретенное снарядом влево (или потерянное им, при счете вправо), равно:

т v – т v1

или

m (v – v1).

Итак,

M v1 = m (v — v1),

или

mv = (M+ m) v1.

Отсюда можно вычислить v.

В

левой части последнего уравнения (mv) стоит количество движения всей системы (маятник и снаряд) до выстрела, в правой части – количество движения системы после выстрела. Таким образом, количество движения системы не изменяется, если только в эту систему включены все взаимодействующие тела. Такая система называется замкнутой . Итак, в замкнутой системе количество движения остается неизменным, какие бы процессы внутри нее ни происходили. Это закон сохранения количества движения .

Другой пример представляет изображенный на рис. 58 двусторонний пистолет. На штативе горизонтально лежит медная трубка, на один конец которой навинчен массивный металлический цилиндр. Другой такой же цилиндр имеет насадку, плотно входящую в трубочку [49] . В трубке сделано отверстие для поджигания с полочкой для пороха. Насыпав на полочку и в трубку немного пороха, вставляют снаряд и кладут пистолет на штатив. Затем при помощи раскаленной проволоки поджигают порох, насыпанный на полочку; порох в трубке взрывается – оба цилиндра с насадками получают ускорения в противоположные стороны и упадут на стол в одинаковых расстояниях от штатива. Действие взрыва одинаково в обе стороны и сообщает обоим цилиндрам одинаковые скорости.

Рис. 58. Двусторонний пистолет

Повторяют опыт с различными массами. Пусть цилиндр, скрепленный с трубочкой, весит 50 г, а вставляющийся в нее – 100 г. После взрыва первый отлетает вдвое дальше второго, хотя давление взрывных газов в обе стороны одинаково.

В каком бы отношении ни находились снаряды, всегда начальные скорости снарядов обратно пропорциональны их массам и, значит, произведения масс снарядов на начальные скорости одинаковы.

Движение снарядов можно определить таким правилом: если до взрыва весь пистолет был в равновесии относительно некоторой оси вращения, то это равновесие сохраняется в каждый момент после взрыва, – причем путь обоих снарядов рассматривается как соединяющая их невесомая проволока, а вся система – как рычаг.

В самом деле, горизонтальные расстояния обоих снарядов от оси вращения в каждый момент движения обратно пропорциональны соответствующим массам, а это отвечает условию равновесия рычага. Воображаемая ось всегда проходит поэтому через центр тяжести обеих частей пистолета, так что положение центра тяжести остается неизменным (закон сохранения центра тяжести). Закон этот справедлив и для того случая, когда пистолет перед взрывом не был в покое, а двигался с постоянной скоростью. В этом случае после взрыва его части движутся так, что их общий центр тяжести продолжает свое прежнее движение с той же скоростью ( сохранение движения центра тяжести ). То же самое будет, конечно, при распаде на несколько частей – например, при движении осколков разорвавшейся гранаты или обломков распавшихся космических тел».

Движение ракеты

Рассмотрим теперь движение ракеты – сначала в среде, свободной от тяжести, а затем – в условиях тяжести.

а) Движение ракеты в среде без тяжести . Ввиду фундаментального значения «уравнения ракеты» для всей теории звездоплавания приводим далее два ее вывода: один – элементарный, для незнакомых с высшей математикой, и другой – более строгий, с применением интегрального исчисления.

Пусть первоначальная масса покоящейся ракеты равна Мt . Заменим непрерывное вытекание газа из трубы рядом последовательных толчков; с каждым толчком вытекает 1/ п массы Mt ракеты со скоростью с. После первого толчка масса ракеты уменьшается до

после второго толчка остающаяся масса ракеты равна

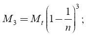
после третьего толчка —

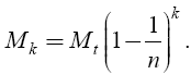
а после k- го —

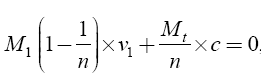
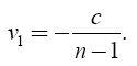
Скорость V1, приобретаемую ракетой после первого толчка, легко вычислить, исходя из того, что общее количество движения всех частей ракеты до и после разъединения одинаково, т. е. равно нулю:

откуда

Скорость v2 после второго толчка можно считать равной 2v1, т. е.

, а после k- го толчка

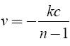
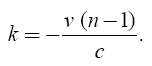
откуда

Подставив это выражение для к в формулу

получаем

Поделиться:
Популярные книги

Законы Рода. Том 6

Андрей Мельник
6. Граф Берестьев
Фантастика:
юмористическое фэнтези
аниме
5.00
рейтинг книги
Законы Рода. Том 6

Предопределение

Осадчук Алексей Витальевич
9. Последняя жизнь
Фантастика:
фэнтези
попаданцы
аниме
5.00
рейтинг книги
Предопределение

Князь II

Вайт Константин
4. Аннулет
Фантастика:
попаданцы
альтернативная история
аниме
5.00
рейтинг книги
Князь II

Скандальный развод, или Хозяйка владений "Драконье сердце"

Милославская Анастасия
Фантастика:
попаданцы
фэнтези
5.00
рейтинг книги
Скандальный развод, или Хозяйка владений Драконье сердце

Идеальный мир для Лекаря 14

Сапфир Олег
14. Лекарь
Фантастика:
юмористическое фэнтези
попаданцы
аниме
5.00
рейтинг книги
Идеальный мир для Лекаря 14

Сфирот

Прокофьев Роман Юрьевич
8. Стеллар
Фантастика:
боевая фантастика
рпг
6.92
рейтинг книги
Сфирот

Эра Мангуста. Том 2

Третьяков Андрей
2. Рос: Мангуст
Фантастика:
фэнтези
попаданцы
аниме
5.00
рейтинг книги
Эра Мангуста. Том 2

Девяностые приближаются

Иванов Дмитрий
3. Девяностые
Фантастика:
попаданцы
альтернативная история
7.33
рейтинг книги
Девяностые приближаются

На границе империй. Том 9. Часть 5

INDIGO
18. Фортуна дама переменчивая
Фантастика:
космическая фантастика
попаданцы
5.00
рейтинг книги
На границе империй. Том 9. Часть 5

Эволюционер из трущоб. Том 2

Панарин Антон
2. Эволюционер из трущоб
Фантастика:
космическая фантастика
попаданцы
5.00
рейтинг книги
Эволюционер из трущоб. Том 2

Хозяин Теней 4

Петров Максим Николаевич
4. Безбожник
Фантастика:
попаданцы
аниме
фэнтези
5.00
рейтинг книги
Хозяин Теней 4

Темный Лекарь 6

Токсик Саша
6. Темный Лекарь
Фантастика:
аниме
фэнтези
5.00
рейтинг книги
Темный Лекарь 6

Метатель. Книга 4

Тарасов Ник
4. Метатель
Фантастика:
боевая фантастика
попаданцы
постапокалипсис
рпг
фэнтези
5.00
рейтинг книги
Метатель. Книга 4

Моя простая курортная жизнь 4

Блум М.
4. Моя простая курортная жизнь
Любовные романы:
эро литература
5.00
рейтинг книги
Моя простая курортная жизнь 4