Чтение онлайн

на главную - закладки

Жанры

Занимательный космос. Межпланетные путешествия
Шрифт:

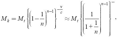
Преобразуем последнее выражение:

потому что

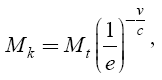
Выражение:

при бесконечно большом п (т. е. при переходе от толчков к непрерывному вытеканию газа) равно, как известно, 1/e где е = 2,718. Тогда преобразуемое выражение получает вид:

откуда

получаем уравнение ракеты:

Укажем теперь более строгий вывод того же основного уравнения. Обозначим массу ракеты в некоторый момент через М и предположим, что до горения ракета была неподвижна. Вследствие горения ракета отбрасывает бесконечно малую часть dM своей массы с постоянною скоростью с (по отношению к ракете). При этом остальная часть массы ракеты (М– dM) получает некоторую бесконечно малую прибавку скорости dv. Сумма количества движения обеих частей ракеты должна быть, по законам механики (см. выше), та же, что и до горения, т. е. должна равняться нулю:

cdM + (М– dM)dv = О,

или, по раскрытии скобок,

cdM + Mdv – dMdv = 0.

Отбросив член dMdv как бесконечно малую второго порядка (произведение двух бесконечно малых величин), имеем уравнение:

cdM + Mdv = 0,

которое представляем в виде

Интегрируя это диференциальное уравнение, получаем:

или

Мы пришли к уравнению ракеты или ко «второй теореме Циолковского», которую он формулирует так:

«В среде без тяжести окончательная скорость (v) ракеты не зависит от силы и порядка взрывания, а только от количества взрывчатого материала (по отношению к массе ракеты) и от устройства взрывной трубы».

При всех этих вычислениях не учитывалось земное притяжение, влияние которого мы сейчас вкратце рассмотрим.

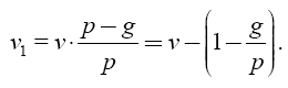
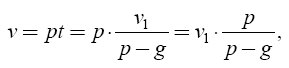
б) Движение ракеты в условиях тяжести. Ускорение а, приобретаемое ракетой при отвесном подъеме с Земли, равно, очевидно, разности между собственным ускорением ракеты р и ускорением земной тяжести g:

a = p – g.

Так как приобретаемая при этом ракетой окончательная скорость v1= at1 то продолжительность горения равна v1/ a , т. е.

Из этого равенства и из соотношения v= pt мы выводим, что при одинаковой продолжительности горения (t = t1):

откуда

Значит,

т. е. окончательная скорость ракеты в среде тяжести меньше, чем в среде без тяжести, на такую же долю, какую ускорение (g) тяжести составляет от собственного ускорения (р) ракеты.

Далее, зная из предыдущего, что в среде без тяжести

получаем,

что окончательная скорость v1 ракеты в условиях тяжести

или

Формула (2) позволяет вычислить окончательную скорость, приобретаемую ракетой в поле тяготения, если известно отношение

 масс заряженной и незаряженной ракеты и ее собственное ускорение р. Это последнее, мы знаем, не должно превышать 4-кратного ускорения земной тяжести, чтобы быть безвредным для человеческого организма. При p = 4g имеем

Формулы эти не принимают, конечно, в расчет сопротивления воздуха.

Полезное действие свободной ракеты и ракетного экипажа

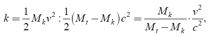
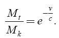
Подсчитаем, какую долю энергии потребляемого горючего ракета переводит в полезную механическую работу.

Обозначим, как прежде, массу свободной ракеты до взрывания через М t , после взрывания – через Mt , после взрывания – через Mk ; масса израсходованного горючего выразится тогда через Mt – Mk , скорость вытекания газа – с. Живая сила вытекающих газов, т. е. кинетическая энергия, равна

Это – полное количество энергии, какое способно развить находящееся в ракете горючее. Получаемая же полезная работа, т. е. кинетическая энергия ракеты при скорости V, равна

Отношение второй величины к первой и есть коэфициент k полезного действия свободной ракеты:

или

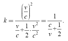
Из формулы (2) имеем, что

Значит в среде без тяжести полезное действие ракеты:

Оно достигает наибольшей величины при v/c = 1,6 и равно тогда 65 %.

Если v/c невелико, можно формулу (4) упростить, исходя из того, что

Тогда

В среде тяжести выражение для k сложнее; для случая вертикального подъема его нетрудно вывести, подставив в формулу (3) соответствующее значение-

из формулы (2).

Иначе выразится коэффициент k полезного действия ракетного экипажа (вообще – несвободной ракеты), где существенную роль играют помехи движению, как трение и сопротивление воздуха. Рассмотрим случай равномерного движения авторакеты, т. е. случай, когда работа ракеты равна работе сопротивлений. Так как импульс силы равен количеству движения, то, обозначая через ƒ силу, выбрасывающую продукты взрыва (она равна силе, увлекающей автомобиль), а через t – продолжительность движения, имеем

Поделиться:
Популярные книги

Тринадцатый IV

NikL
4. Видящий смерть
Фантастика:
боевая фантастика
попаданцы
5.00
рейтинг книги
Тринадцатый IV

Кодекс Крови. Книга VI

Борзых М.
6. РОС: Кодекс Крови
Фантастика:
фэнтези
попаданцы
аниме
5.00
рейтинг книги
Кодекс Крови. Книга VI

Мама для крошки-дракошки, или жена Хранителя Севера

Рыжехвост Светлана
Любовные романы:
любовно-фантастические романы
7.50
рейтинг книги
Мама для крошки-дракошки, или жена Хранителя Севера

Гримуар темного лорда VII

Грехов Тимофей
7. Гримуар темного лорда
Фантастика:
боевая фантастика
попаданцы
аниме
фэнтези
5.00
рейтинг книги
Гримуар темного лорда VII

Наследник павшего дома. Том IV

Вайс Александр
4. Расколотый мир
Фантастика:
фэнтези
попаданцы
аниме
5.00
рейтинг книги
Наследник павшего дома. Том IV

Прометей: повелитель стали

Рави Ивар
3. Прометей
Фантастика:
фэнтези
7.05
рейтинг книги
Прометей: повелитель стали

Ваше Сиятельство 4т

Моури Эрли
4. Ваше Сиятельство
Любовные романы:
эро литература
5.00
рейтинг книги
Ваше Сиятельство 4т

Отмороженный 7.0

Гарцевич Евгений Александрович
7. Отмороженный
Фантастика:
рпг
аниме
5.00
рейтинг книги
Отмороженный 7.0

Виконт. Книга 1. Второе рождение

Юллем Евгений
1. Псевдоним `Испанец`
Фантастика:
фэнтези
боевая фантастика
попаданцы
6.67
рейтинг книги
Виконт. Книга 1. Второе рождение

Кодекс Крови. Книга ХVI

Борзых М.
16. РОС: Кодекс Крови
Фантастика:
попаданцы
аниме
фэнтези
5.00
рейтинг книги
Кодекс Крови. Книга ХVI

Призыватель нулевого ранга. Том 2

Дубов Дмитрий
2. Эпоха Гардара
Фантастика:
попаданцы
аниме
фэнтези
5.00
рейтинг книги
Призыватель нулевого ранга. Том 2

Восход. Солнцев. Книга VIII

Скабер Артемий
8. Голос Бога
Фантастика:
фэнтези
попаданцы
аниме
5.00
рейтинг книги
Восход. Солнцев. Книга VIII

Испытание славой

Распопов Дмитрий Викторович
5. 30 сребреников
Фантастика:
попаданцы
альтернативная история
фэнтези
фантастика: прочее
5.00
рейтинг книги
Испытание славой

Инженер Петра Великого

Гросов Виктор
1. Инженер Петра Великого
Фантастика:
попаданцы
альтернативная история
5.00
рейтинг книги
Инженер Петра Великого