Чтение онлайн

на главную - закладки

Жанры

Занимательный космос. Межпланетные путешествия
Шрифт:

Потенциальная энергия той же единицы массы на высоте 54,3R (в точке равного притяжения) выражается суммой

Потеря потенциальной энергии при перемещении ракеты с уровня × на уровень 54,3R составляет

и должна, мы знаем, равняться кинетической энергии единицы массы ракеты, т. е. – 1/2v2, или 3 gx. Имеем уравнение

откуда х = 0,2616, R = 0,2616 · 6370 = 1666 км.

Теперь из уравнения v2 = 6gx находим v = 9750 м/с.

Итак,

ракета, отвесно направляющаяся к Луне, достигает наибольшей своей скорости – 93/4 км/с – далеко за пределами земной атмосферы. Число секунд t, в течение которого накапливается эта скорость, определяется из уравнения 9750 = 3·9,8 t, откуда t = 321 с. Можно вычислить, что под действием земной тяжести ракета потеряет 321 · 7,76 = 2490 м своей секундной скорости (7,76 – средняя величина ускорения тяжести на протяжении 1666 км от земной поверхности). В общем итоге запас энергии, каким надо снабдить ракету для отвесного полета на Луну, должен отвечать скорости 9750 + 2490 = 12 240 м/с.

Сходным образом можно установить, что при отвесном подъеме ракеты с Луны она приобретает максимальную скорость (2300 м/с) на высоте 90 км, после 76 с подъема. И обратно: падая от точки равного притяжения на лунную поверхность, ракета должна начать замедление полета на высоте 90 км, чтобы при ускорении (отрицательном) 3g свести свою 2300-метровую скорость к нулю.

Вычисляя скорость, с какою тело должно покинуть Землю для удаления в бесконечность, мы принимали, что Земля – единственный центр, притяжение которого тело должно при этом преодолеть. На самом же деле приходится считаться также и с притяжением Солнца. Чтобы учесть это обстоятельство, установим сначала зависимость между скоростью тела на орбите и другими величинами.

Рис. 59. К расчету скорости полета

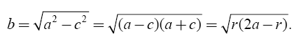
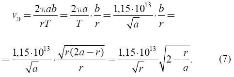
По второму закону Кеплера, площади, описываемые радиусом-вектором в равные времена, равны. Пусть тело (планета) движется вокруг Солнца по эллипсу с полуосями а и Ь; период обращения Т секунд, секундная скорость V, радиус-вектор г; тогда для точек перигелия и афелия имеем равенство

где левая часть есть выражение (приближенное) для площади, описываемой радиусом-вектором за одну секунду,

a πab — площадь эллипса. Имеем:

Пусть теперь тело (звездолет, планета), движущееся вокруг Солнца по круговой орбите радиуса r, должно перейти в точке А своего пути на эллиптическую орбиту с полуосями а и Ь. Определим, какое для этого необходимо изменение скорости.

Из третьего закона Кеплера следует, что отношение квадрата периода обращения планеты к кубу ее среднего расстояния от Солнца (или большой полуоси) есть величина постоянная; для планет солнечной системы эта постоянная равна (в единицах системы см-г-сек)

откуда

Отсюда имеем скорость v кругового движения около Солнца на расстоянии r:

Обращаясь к эллиптической орбите, имеем прежде всего

Из формулы (5) мы знаем, что скорость vЭ движения по эллиптической орбите в точке А

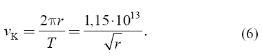
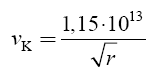
Так как скорость vK, движения по круговой орбите (см. (6))

то из сопоставления формул (6) и (7) имеем

По

этой формуле и вычисляется скорость, какую необходимо сообщить звездолету, чтобы с круговой орбиты он перешел на эллиптическую или удалился в бесконечность. В последнем случае полагаем большую полуось а эллипса равной бесконечности. Имеем:

т. е. для удаления звездолета с круговой орбиты в бесконечность необходимо, чтобы круговая скорость его увеличилась в

раз. Так, для удаления с земной орбиты (соответствующая скорость 29,6 км/с) в бесконечность нужна скорость

т. е. приращение скорости 41,8 – 29,6 = 12,2 км/с.

Теперь мы можем вычислить скорость, какая должна быть сообщена звездолету для преодоления притяжения Земли и Солнца и, следовательно, для свободного удаления с Земли в бесконечность. Чтобы преодолеть притяжение, нужна начальная скорость 11,2 км/с, т. е. работа (живая сила) для каждого килограмма веса звездолета.

Чтобы преодолеть солнечное притяжение, нужна работа (v = 12 200 м/с)

Общая работа для преодоления совокупного притяжения Земли и Солнца равна

Искомая скорость × получается из уравнения:

откуда

Вычислим теперь начальные скорости, необходимые для достижения планет Марса и Венеры. Для Марса

Поэтому из формулы (8) имеем

т. е. нужна добавочная скорость 32,6 – 29,6 = 3 км/с.

Искомая скорость для преодоления совокупного притяжения Земли и Солнца вычисляется, как сейчас было показано:

Таким же образом определяем, что для достижения Венеры нужна начальная скорость, не меньшая

Рис. 60. Маршрут перелета с Земли (7) на Венеру ( V)

Продолжительность перелетов

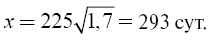
Перелет на Венеру. Продолжительность этого перелета, при условии минимальной затраты горючего, определится, если будет известен период обращения воображаемой планеты по эллипсу TV (рис. 60). Если S — Солнце, то ST= 150 × 106 км, SV= 108 × 106 км; среднее расстояние воображаемой планеты от Солнца равно 1/2(150 + 108) × 106 = 129 × 106 км. По третьему закону Кеплера,

где x – продолжительность обращения воображаемой планеты, а 225 суток – продолжительность обращения Венеры;

Значит, полет в один конец займет 147 суток.

Перелет на Марс. Время перелета определяется из пропорции:

откуда

у = 519 сут.

Значит, перелет в один конец продлится 259 суток.

Поделиться:
Популярные книги

Идеальный мир для Лекаря 13

Сапфир Олег
13. Лекарь
Фантастика:
фэнтези
юмористическое фэнтези
аниме
5.00
рейтинг книги
Идеальный мир для Лекаря 13

Господин из завтра. Тетралогия.

Махров Алексей
Фантастика:
альтернативная история
8.32
рейтинг книги
Господин из завтра. Тетралогия.

Князь Серединного мира

Земляной Андрей Борисович
4. Страж
Фантастика:
фэнтези
попаданцы
5.00
рейтинг книги
Князь Серединного мира

Офицер империи

Земляной Андрей Борисович
2. Страж [Земляной]
Фантастика:
боевая фантастика
попаданцы
альтернативная история
6.50
рейтинг книги
Офицер империи

Вечный. Книга II

Рокотов Алексей
2. Вечный
Фантастика:
боевая фантастика
попаданцы
рпг
5.00
рейтинг книги
Вечный. Книга II

Неправильный солдат Забабашкин

Арх Максим
1. Неправильный солдат Забабашкин
Фантастика:
попаданцы
альтернативная история
5.62
рейтинг книги
Неправильный солдат Забабашкин

Неудержимый. Книга V

Боярский Андрей
5. Неудержимый
Фантастика:
фэнтези
попаданцы
аниме
5.00
рейтинг книги
Неудержимый. Книга V

Газлайтер. Том 2

Володин Григорий
2. История Телепата
Фантастика:
попаданцы
альтернативная история
аниме
5.00
рейтинг книги
Газлайтер. Том 2

Идеальный мир для Лекаря 24

Сапфир Олег
24. Лекарь
Фантастика:
городское фэнтези
попаданцы
5.00
рейтинг книги
Идеальный мир для Лекаря 24

Черный маг императора 2

Герда Александр
2. Черный маг императора
Фантастика:
юмористическая фантастика
попаданцы
аниме
6.00
рейтинг книги
Черный маг императора 2

Метатель. Книга 7

Тарасов Ник
7. Метатель
Фантастика:
боевая фантастика
попаданцы
постапокалипсис
рпг
фэнтези
фантастика: прочее
5.00
рейтинг книги
Метатель. Книга 7

Зеркало силы

Кас Маркус
3. Артефактор
Фантастика:
городское фэнтези
попаданцы
аниме
5.00
рейтинг книги
Зеркало силы

Сержант. Назад в СССР. Книга 4

Гаусс Максим
4. Второй шанс
Фантастика:
попаданцы
альтернативная история
5.00
рейтинг книги
Сержант. Назад в СССР. Книга 4

Князь

Мазин Александр Владимирович
3. Варяг
Фантастика:
альтернативная история
9.15
рейтинг книги
Князь