Чтение онлайн

на главную - закладки

Жанры

Фейнмановские лекции по физике. 6. Электродинамика
Шрифт:

где Q=rdV. Такой потенциал j удовлетворяет уравнению

Следуя тем же расчетам, мы должны были бы сказать, что ш из выражения (21.10) удовлетворяет уравнению

(21.11)

где s связано с f формулой

при

Единственная

разница в том, что в общем случае s, а, стало быть, и S может оказаться функцией времени.

Далее очень важно то, что если ш удовлетворяет (21.11) при малых r, то оно удовлетворяет также и (21.7). По мере приближения к началу координат зависимость шот r типа 1/r приводит к тому, что пространственные производные ста­новятся очень большими. А производные по времени остаются теми же. [Это просто производные f(t) по времени.] Так что, когда r стремится к нулю, множителем d2ш/dt2в уравнении (21.7) по сравнению с С2ш можно пренебречь, и (21.7) становится эквивалентным уравнению (21.11).

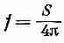
Подытоживая, можно сказать, что если функция источника s(t) из уравнения (21.7) сосредоточена в начале координат и ее общая величина равна

(21.12)

то решение уравнения (21.7) имеет вид

(21.13)

Влияние слагаемого с d2ш/dt2в (21.7) сказывается лишь на появ­лении запаздывания (t-r/с) в потенциале кулонова типа.

§ 3. Общее peшeниe уравнений Максвелла

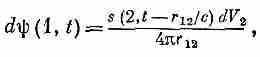
Мы нашли решение уравнения (21.7) для «точечного» источ­ника. Теперь встает новый вопрос: Каков вид решения для рас­средоточенного источника? Ну, это решить легко; всякий источ­ник s(x, у, z, t) можно считать состоящим из суммы многих «точечных» источников, расположенных поодиночке в каждом элементе объема dV и имеющих силу s(x, у, z, t)dV. Поскольку (21.7) линейно, суммарное поле представляет собой суперпози­цию полей от всех таких элементов источника.

Используя результаты предыдущего параграфа [см. (21.13)], мы получим, что в момент t поле dшв точке 1, y1, z1) [или, короче, в точке (1)], создаваемое элементом источника sdV в точке 2> у2, z2) [или, короче, в точке (2)],выражается форму­лой

где r12расстояние

от (2) до (1). Сложение вкладов от всех частей источника означает, конечно, интегрирование по всей области, где s№0, так что мы имеем

(21.14)

Иначе говоря, поле в точке (1) в момент времени t представляет собой сумму всех сферических волн, испускаемых в момент t-r12/c всеми элементами источника, расположенного в точке (2). Выражение (21.14) является решением нашего волнового уравнения для любой системы источников.

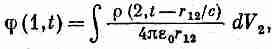
Теперь мы видим, как получать общее решение уравнений Максвелла. Если подразумевать под шскалярный потенциал j, то функция источника s превращается в r/e0. А можно считать, что ш представляет одну из трех компонент векторного потен­циала А; тогда s означает соответствующую компоненту j/e0c2. Стало быть, если во всех точках известна плотность нарядов r(х, у, z, t) и плотность тока j(х, у, z, t), то решения уравнении (21.4) и (21.5) можно выписать немедленно:

(21.15)

(21.16)

Поля Е и В получатся дифференцированием потенциалов [используются выражения (21.2) и (21.3)]. Кстати, можно про­верить явно, что j и А, полученные из (21.15) и (21.16), дей­ствительно удовлетворяют равенству (21.6).

Мы решили уравнения Максвелла. В любых обстоятель­ствах, если только заданы токи и заряды, из этих интегралов можно определить потенциалы, а затем, продифференцировав их, получить поля. Тем самым с теорией Максвелла покончено. И это позволяет нам также замкнуть круг и вернуться к нашей теории света, потому что достаточно только подсчитать элек­трическое поле движущегося заряда, чтобы связать все это с нашей прежней теорией света. Все, что нам остается сделать,— это взять движущийся заряд, вычислить из этих интегралов его потенциал и затем из -Сj-dA/dt, дифференцируя, найти Е. Мы должны получить формулу (21.1). Работы придется проде­лать много, но принцип ясен.

Итак, мы дошли до центра электромагнитной вселенной. У нас в руках полная теория электричества, магнетизма и света, полное описание полей, создаваемых движущимися зарядами, и многое, многое другое. Все сооружение, воздвигнутое Максвел­лом, во всей его полноте, красе и мощи сейчас перед нами. Это, пожалуй, одно из величайших свершений физики. И чтобы напомнить о его важности, мы переписываем все формулы вместе и обводим их красивой рамкой.

§ 4. Поля колеблющегося диполя

Мы пока еще не провели обещанного вывода формулы (21.1) для электрического поля движущегося точечного заряда. Даже зная то, что мы уже знаем, этот вывод все равно проделать не­легко. Нам не удалось обнаружить формулы (21.1) нигде, ни в каких книжках и статьях (кроме первых выпусков этих лек­ций). Это свидетельствует о том, что вывод ее не прост. (Поля движущегося заряда записывались неоднократно и в других видах, которые все, конечно, эквивалентны.) Мы ограничимся поэтому здесь тем, что просто покажем на нескольких приме­рах, что (21.15) и (21.16) приводят к тем же результатам, что и (21.1). Первым делом мы покажем, что при том единственном условии, что движение заряженной частицы является нереля­тивистским, (21.1) приводит к правильной величине полей. (Уже этот частный случай покрывает 90% всего того, что было сказано о явлении света.)

Поделиться:
Популярные книги

Настроение – Песец

Видум Инди
7. Под знаком Песца
Фантастика:
альтернативная история
аниме
5.00
рейтинг книги
Настроение – Песец

Бастард Императора. Том 8

Орлов Андрей Юрьевич
8. Бастард Императора
Фантастика:
попаданцы
аниме
фэнтези
5.00
рейтинг книги
Бастард Императора. Том 8

На границе империй. Том 7

INDIGO
7. Фортуна дама переменчивая
Фантастика:
боевая фантастика
космическая фантастика
попаданцы
6.75
рейтинг книги
На границе империй. Том 7

На границе империй. Том 7. Часть 5

INDIGO
11. Фортуна дама переменчивая
Фантастика:
боевая фантастика
космическая фантастика
попаданцы
5.00
рейтинг книги
На границе империй. Том 7. Часть 5

Газлайтер. Том 16

Володин Григорий Григорьевич
16. История Телепата
Фантастика:
боевая фантастика
попаданцы
аниме
5.00
рейтинг книги
Газлайтер. Том 16

Магнат

Шимохин Дмитрий
4. Подкидыш
Фантастика:
попаданцы
альтернативная история
5.00
рейтинг книги
Магнат

Деревенщина в Пекине 2

Афанасьев Семён
2. Пекин
Фантастика:
попаданцы
дорама
фантастика: прочее
5.00
рейтинг книги
Деревенщина в Пекине 2

Страж Кодекса. Книга IV

Романов Илья Николаевич
4. КО: Страж Кодекса
Фантастика:
фэнтези
попаданцы
аниме
5.00
рейтинг книги
Страж Кодекса. Книга IV

Отмороженный 5.0

Гарцевич Евгений Александрович
5. Отмороженный
Фантастика:
боевая фантастика
рпг
5.00
рейтинг книги
Отмороженный 5.0

Секретарша генерального

Зайцева Мария
Любовные романы:
современные любовные романы
эро литература
короткие любовные романы
8.46
рейтинг книги
Секретарша генерального

Солдат Империи

Земляной Андрей Борисович
1. Страж
Фантастика:
попаданцы
альтернативная история
6.67
рейтинг книги
Солдат Империи

Кодекс Охотника. Книга XXII

Винокуров Юрий
22. Кодекс Охотника
Фантастика:
фэнтези
попаданцы
5.00
рейтинг книги
Кодекс Охотника. Книга XXII

Неофит

Вайт Константин
1. Аннулет
Фантастика:
попаданцы
альтернативная история
аниме
5.00
рейтинг книги
Неофит

Весь цикл «Десантник на престоле». Шесть книг

Ланцов Михаил Алексеевич
Десантник на престоле
Фантастика:
альтернативная история
8.38
рейтинг книги
Весь цикл «Десантник на престоле». Шесть книг