Чтение онлайн

на главную - закладки

Жанры

Фейнмановские лекции по физике. 6. Электродинамика
Шрифт:

Если скорость заряда направлена не к точке наблюдения (1), то легко видеть, что важна только составляющая его скорости в направлении к точке (1). Если обозначить эту составляющую скорости через vr, то поправочный множитель запишется в виде 1/[1-vr/с]зап. Кроме того, проделанный нами анализ в равной степени проходит для распределения заряда любой формы (это

не обязательно должен быть куб). Наконец, поскольку «раз­мер» а заряда не вошел в окончательный итог, то тот же резуль­тат получится, если заряд стянется до любых размеров, вплоть до точки. Общий результат состоит в том, что скалярный потен­циал точечного заряда, движущегося с произвольной скоростью,

(21.32)

Это уравнение часто пишут в эквивалентном виде:

(21.33)

где r — вектор, соединяющий заряд с той точкой (1), в кото­рой вычисляется потенциал j, а все величины в скобках надо вычислять в «запаздывающий» момент времени t'=(t—r'/c).

То же самое получается и тогда, когда по (21.16) вычисляют А для точечного заряда. Плотность тока равна rv, а интеграл от r — тот же, что и в j. Векторный потенциал равен

(21.34)

Потенциалы точечного заряда в этой форме были впервые получены Льенаром и Вихертом. Их так и называют: потенциалы Льенара — Вихерта.

Чтобы замкнуть круг и вернуться к формуле (21.1), теперь нужно только подсчитать Е и В из этих потенциалов (при помо­щи B=СXA и Е=-Сj-dA/dt). Теперь остается одна арифме­тика. Впрочем, арифметика эта довольно запутанна, так что мы не будем приводить здесь детали счета. Придется поверить мне на слово, что формула (21.1) эквивалентна выведенным нами потенциалам Льенара — Вихерта.

*Если у вас достаточно времени и вам не жаль бумаги, то попытай­тесь проделать это самостоятельно. Вот вам парочка советов: во-первых, не забывайте, что производные r' довольно запутанны, ведь они суть функции от t'! Во-вторых, не пытайтесь вывести формулу (21.1); лучше проделайте в ней все дифференцирования и затем сопоставьте то, что у вас получится, с выражением для Е, полученным из потенциалов (21.33) и (21.34).

§ 6. Потенциалы заряда, движущегося с постоянной скоростью; формула Лоренца

Применим теперь потенциалы Льенара — Вихерта к случаю заряда, движущегося по прямой с постоянной скоростью, и вычислим поле этого заряда. Позже мы повторим этот вывод, используя уже принцип относительности. Мы знаем величину потенциалов в той системе, в которой заряд покоится. Когда заряд движется, то все получается простым релятивистским преобразованием от одной системы к другой. Но теория отно­сительности ведет свое начало от теории электричества и магне­тизма. Формулы преобразований Лоренца [см. гл. 15 (вып. 2)]— это открытия, сделанные Лоренцем при исследовании уравне­ний электричества и магнетизма. И для того чтобы вы понимали, откуда все пошло, я хочу показать вам, что уравнения Максвелла действительно приводят к преобразованиям Лоренца. Я начну с вычисления потенциала равномерно движущегося заряда прямо из электродинамики, из уравнений Максвелла. Мы уже показали, что уравнения Максвелла приводят к потен­циалу, полученному в предыдущем параграфе. Стало быть, пользуясь этими потенциалами, мы используем тем самым тео­рию Максвелла.

Пусть имеется заряд, движущийся вдоль оси х со скоростью v (фиг. 21.8). Нас интересуют потенциалы в точке Р(х, у, z). Если (=0 — момент, в который заряд проходит через начало координат, то в момент t заряд окажется в точке x—vt, y=z=0. А нам нужно знать его положение с учетом запаздывания, т. е. положение

в момент

(21.35)

где r' — расстояние от заряда до точки Р в этот запаздываю­щий момент. В это более раннее время t' заряд был в x=vt', так что

(21.36)

Чтобы найти r' или t', это уравнение надо сопоставить с (21.35). Исключим сперва r', решив (21.35) относительно r' и подставив в (21.36). Возвысив затем обе части в квадрат,

т. е. квадратное уравнение относительно t'. Раскрыв скобки и расположив члены по степеням t', получим

Фиг. 21.8. Определение потенциала в точке Р заряда, движущегося равномерно вдоль оси х.

Отсюда найдем

Чтобы получить r', надо это t' подставить в

Теперь мы уже можем найти j из выражения (21.33), имеющего вид

(21.38)

(ввиду того, что v постоянно).

Составляющая v в направлении r' равна v(x-vt')/r', так что v·r' просто равно v(x-vt'), а весь знаменатель равен

Подставляя (1-v2/c2)t' из (21.37), получаем

Это уравнение становится более понятным, если переписать его в виде

Векторный потенциал А — это такое же выражение, но с до­бавочным множителем v/c2:

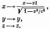
В выражении (21.39) со всей ясностью предстает перед вами начало преобразований Лоренца. Если бы заряд находился в начале координат в своей собственной системе покоя, то его потенциал имел бы вид

Поделиться:
Популярные книги

Эволюционер из трущоб. Том 2

Панарин Антон
2. Эволюционер из трущоб
Фантастика:
космическая фантастика
попаданцы
5.00
рейтинг книги
Эволюционер из трущоб. Том 2

Кодекс Охотника. Книга XVII

Винокуров Юрий
17. Кодекс Охотника
Фантастика:
фэнтези
попаданцы
аниме
5.00
рейтинг книги
Кодекс Охотника. Книга XVII

Шайтан Иван 5

Тен Эдуард
5. Шайтан Иван
Фантастика:
попаданцы
альтернативная история
историческое фэнтези
5.00
рейтинг книги
Шайтан Иван 5

Имперец. Том 4

Романов Михаил Яковлевич
3. Имперец
Фантастика:
попаданцы
альтернативная история
аниме
5.00
рейтинг книги
Имперец. Том 4

Кодекс Охотника. Книга IX

Винокуров Юрий
9. Кодекс Охотника
Фантастика:
боевая фантастика
городское фэнтези
попаданцы
5.00
рейтинг книги
Кодекс Охотника. Книга IX

Дважды одаренный. Том II

Тарс Элиан
2. Дважды одаренный
Фантастика:
городское фэнтези
альтернативная история
аниме
5.00
рейтинг книги
Дважды одаренный. Том II

Город Богов 4

Парсиев Дмитрий
4. Профсоюз водителей грузовых драконов
Фантастика:
юмористическое фэнтези
городское фэнтези
попаданцы
5.00
рейтинг книги
Город Богов 4

Чудовищная алхимия. Том 2

Тролль Борис Фёдорович
2. Мир в чужом кармане
Фантастика:
юмористическое фэнтези
попаданцы
фэнтези
5.00
рейтинг книги
Чудовищная алхимия. Том 2

Кротовский, сколько можно?

Парсиев Дмитрий
5. РОС: Изнанка Империи
Фантастика:
попаданцы
альтернативная история
5.00
рейтинг книги
Кротовский, сколько можно?

Авиатор: назад в СССР

Дорин Михаил
1. Авиатор
Фантастика:
попаданцы
альтернативная история
5.25
рейтинг книги
Авиатор: назад в СССР

Леди Малиновой пустоши

Шах Ольга
Любовные романы:
любовно-фантастические романы
6.20
рейтинг книги
Леди Малиновой пустоши

Кодекс Крови. Книга ХI

Борзых М.
11. РОС: Кодекс Крови
Фантастика:
попаданцы
аниме
фэнтези
5.00
рейтинг книги
Кодекс Крови. Книга ХI

Князь

Мазин Александр Владимирович
3. Варяг
Фантастика:
альтернативная история
9.15
рейтинг книги
Князь

Камень

Минин Станислав
1. Камень
Фантастика:
боевая фантастика
6.80
рейтинг книги
Камень