Чтение онлайн

на главную - закладки

Жанры

Фейнмановские лекции по физике. 6. Электродинамика
Шрифт:

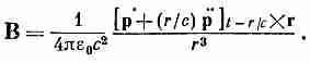
Теперь возвратимся назад и закончим наши расчеты магнит­ного поля. Для Вхмы получили (21.21) и (21.22). Поэтому

(21.1')

С помощью точно таких же выкладок мы придем к

И все это можно объединить в одну красивую векторную фор­мулу:

(21.23)

А теперь взгляните на нее. Прежде всего на больших удале­ниях (когда rвелико)

следует принимать в расчет только р. Направление В дается вектором pXr, перпендикулярным и к радиусу r, и к ускорению (фиг. 21.4). Все сходится с тем, что получилось бы из формулы (21.1').

Теперь посмотрите (к этому мы не привыкли) на то, что про­исходит поблизости от заряда. В гл. 14, § 7 (вып. 5) мы вывели закон Био и Савара для магнитного поля элемента тока. Мы нашли, что элемент тока jdV привносит в магнитное поле сле­дующий вклад:

(21.24)

Вы видите, что эта формула с виду очень похожа на первое слагаемое в (21.23), если только вспомнить, что р — это ток. Но разница все же есть. В (21.23) ток надо подсчитывать в момент (t-r/с), а в (21.24) этого нет. На самом деле, однако, (21.24) для малых r все еще годится, потому что второе слагае­мое в (21.23) стремится уничтожить эффект запаздывания из первого слагаемого. Вместе оба они приводят при малых r к результату, очень близкому к (2124).

Фиг. 21.4. Поля излучения В и Е колеблющегося диполя.

В этом можно убедиться следующим образом. Когда rмало, (t-r/с) не очень отличается от t, и в (21.23) скобки можно раз­ложить в ряд Тэйлора. Первый член разложения дает

n в том же порядке по r

Если их сложить, члены с р уничтожатся и слева останется незапаздывающий ток р, т. е. р(t) плюс члены порядка (r/с)2 и выше [например, 1/2(r/с)2Р"']. Эти члены при достаточно малых r (малых настолько, что за время rток р заметно не меняется) будут очень малы.

Стало быть, (21.23) приводит к полям, очень похожим на те, которые дает теория с мгновенным действием, гораздо более по­хожим на них, чем на поля теории с мгновенным действием и с задержкой; эффекты задержки первого порядка компенсируют­ся вторым членом. Статические формулы очень точны, намного более точны, чем вам могло бы показаться. Конечно, компенса­ция чувствуется только вблизи от заряда. Для далеких точек эти поправки уже ничего не спасают, потому что временное за­паздывание приводит к очень большим эффектам и в конечном счете к важному члену 1/r — к эффекту излучения.

Перед нами все еще стоит задача расчета электрического поля и доказательства того, что оно совпадает с (21.1'). Правда, уже чувствуется, что на больших расстояниях ответ получится такой, как надо. Мы знаем, что вдали от источников, где воз­никает распространяющаяся волна, Е перпендикулярно к В (и к r), как на фиг. 21.4, и что с В=Е. Значит, Е пропорциональ­но ускорению р", как и предсказывалось формулой (21.1').

Чтобы получить электрическое поле на всех возможных рас­стояниях, нужно найти электростатический потенциал. Когда мы подсчитывали интеграл токов для А, желая получить (21.18), то сделали приближение: мы пренебрегли малозамет­ным изменением r в члене с запаздыванием. Для электростати­ческого потенциала этого делать нельзя, потому что тогда у нас получилось бы {/r, умноженное на интеграл от плотности за­ряда, т. е. на константу. Такое приближение чересчур грубо. Надо обратиться к высшим порядкам. И вместо того,

чтобы пу­таться в этих прямых расчетах высших приближений, можно поступить иначе — определить скалярный потенциал из равен­ства (21.6), используя уже найденное значение векторного по­тенциала. Дивергенция А в этом случае просто равна dAJdz, поскольку Ахи Ayтождественно равны нулю. Дифференцируя точно так же, как это делалось выше при вычислении В, получаем

Или в векторных обозначениях

Из равенства (21.6) получается уравнение для j:

Интегрирование по t просто убирает надо всеми р по одной точке:

(Постоянная интегрирования отвечала бы некому наложенному статическому полю, которое, конечно, может существовать, но мы считаем, что у выбранного нами колеблющегося диполя ста­тического поля нет.) Теперь мы можем из

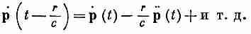
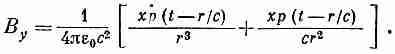
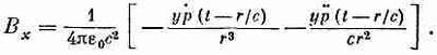
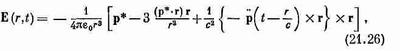
найти электрическое поле Е. После утомительных (хоть и пря­мых) выкладок [при этом нужно помнить, что p(t-r/с) и его производные по времени зависят от х, у и z через запаздывание r/с] мы получаем

где

(21.27)

Это выглядит довольно сложно, но интерпретируется просто. Вектор р* — это дипольный момент с запаздыванием и с «по­правкой» на запаздывание, так что два члена с р* в (21.26) при малых r дают просто статическое поле диполя [см. гл. 6 (вып. 5), выражение (6.14)]. Когда rвелико, то член с р преобладает над остальными, и электрическое поле пропорционально ускорению зарядов в направлении поперек r и само направлено вдоль

проекции р на плоскость, перпендикулярную к r.

Этот результат согласуется с тем, что мы получили бы, применяя формулу (21.1'). Конечно, эта формула — более об­щая; она годится для любого движения, а не только для мало­заметных движений, для которых запаздывание rв пределах всего источника можно считать постоянным [как (21.26)]. Во всяком случае, теперь мы укрепили столбами все наше преж­нее изложение свойств света, за исключением лишь некоторых вопросов из гл. 34 (вып. 3), которые связаны с последней частью выражения (21.26). Мы можем теперь перейти к получению поля быстродвижущихся зарядов. Это приведет нас к релятивист­ским эффектам [гл. 34 (вып. 3)].

§5. Потенциалы движущегося заряда; общее решение Льенара и Вихерта

В предыдущем параграфе мы пошли на упрощение при вы­числении интеграла для А, рассматривая только небольшие скорости. Но при этом мы шли таким путем, которым легко можно прийти и к новым выводам. Поэтому сейчас мы заново предпри­мем расчет потенциалов точечного заряда, движущегося уже, как ему захочется (даже с релятивистской скоростью). Как только мы получим этот результат, у нас в руках окажутся электромагнитные свойства электрических зарядов во всей их полноте. Даже формулу (21.1') можно будет тогда легко полу­чить, взяв только нужные производные. И наш рассказ удастся, наконец, довести до конца. Итак, запаситесь терпе­нием!

Попробуем подсчитать в точке 1, у1, z1) скалярный по­тенциал j(1), создаваемый точечным зарядом (вроде электро­на), движущимся любым, каким угодно образом. Под «точеч­ным» зарядом подразумевается очень маленький заряженный шарик, такой маленький, как только можно себе представить, с плотностью заряда р(х, у, z). Потенциал j можно найти из (21.15):

Поделиться:
Популярные книги

Кротовский, побойтесь бога

Парсиев Дмитрий
6. РОС: Изнанка Империи
Фантастика:
попаданцы
альтернативная история
аниме
5.00
рейтинг книги
Кротовский, побойтесь бога

В лапах зверя

Зайцева Мария
1. Звериные повадки Симоновых
Любовные романы:
остросюжетные любовные романы
эро литература
5.00
рейтинг книги
В лапах зверя

Газлайтер. Том 9

Володин Григорий
9. История Телепата
Фантастика:
фэнтези
попаданцы
5.00
рейтинг книги
Газлайтер. Том 9

Кодекс Охотника. Книга VI

Винокуров Юрий
6. Кодекс Охотника
Фантастика:
фэнтези
попаданцы
аниме
5.00
рейтинг книги
Кодекс Охотника. Книга VI

Неудержимый. Книга IX

Боярский Андрей
9. Неудержимый
Фантастика:
фэнтези
попаданцы
аниме
5.00
рейтинг книги
Неудержимый. Книга IX

Попаданка в деле, или Ваш любимый доктор

Марей Соня
1. Попаданка в деле, или Ваш любимый доктор
Фантастика:
фэнтези
5.50
рейтинг книги
Попаданка в деле, или Ваш любимый доктор

Морской лорд. Том 1

Чернобровкин Александр Васильевич
2. Вечный капитан
Фантастика:
попаданцы
историческое фэнтези
8.12
рейтинг книги
Морской лорд. Том 1

Ваше Сиятельство 6

Моури Эрли
6. Ваше Сиятельство
Фантастика:
попаданцы
аниме
5.00
рейтинг книги
Ваше Сиятельство 6

Защитник

Кораблев Родион
11. Другая сторона
Фантастика:
боевая фантастика
попаданцы
рпг
5.00
рейтинг книги
Защитник

На границе империй. Том 10. Часть 2

INDIGO
Вселенная EVE Online
Фантастика:
космическая фантастика
5.00
рейтинг книги
На границе империй. Том 10. Часть 2

Вечный. Книга I

Рокотов Алексей
1. Вечный
Фантастика:
боевая фантастика
попаданцы
рпг
5.00
рейтинг книги
Вечный. Книга I

Кодекс Охотника. Книга XVIII

Винокуров Юрий
18. Кодекс Охотника
Фантастика:
фэнтези
попаданцы
аниме
5.00
рейтинг книги
Кодекс Охотника. Книга XVIII

Дракон с подарком

Суббота Светлана
3. Королевская академия Драко
Любовные романы:
любовно-фантастические романы
6.62
рейтинг книги
Дракон с подарком

Я Гордый. Часть 4

Машуков Тимур
4. Стальные яйца
Фантастика:
фэнтези
попаданцы
аниме
5.00
рейтинг книги
Я Гордый. Часть 4