Чтение онлайн

на главную - закладки

Жанры

Фейнмановские лекции по физике. 6. Электродинамика
Шрифт:

(21.28)

На первый взгляд кажется (и почти все так и подумают), что ответ состоит в том, что интеграл от r по такому «точечному» заряду равен просто общему заряду q, т. е. что

Через r'12здесь обозначен радиус-вектор от заряда в точке (2) к точке (7), измеренный в более раннее время (t—r12/c). Эта

формула ошибочна.

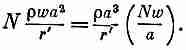
Фиг. 21.5. «Точечный» заряд (рассматриваемый как неболь­шое распределение зарядов в форме куба), движущийся со скоростью v к точке (1).

Правильный ответ такой:

(21.29)

где vr'компонента скорости заряда, параллельная r12, т. е. направленная к точке (1). Сейчас я объясню, почему это так. Чтобы легче было следить за моими доводами, я сперва проведу расчет для «точечного» заряда в форме небольшого заряженного кубика, который движется к точке (1) со ско­ростью v(фиг. 21:5). Сторона куба будет а, это число пусть будет много меньше r12 [расстояния от центра заряда до точки (1)].

Чтобы оценить величину интеграла (21.28), мы вернемся к основному определению: запишем его в виде суммы

(21.30)

где riрасстояние от точки (1) к i-му элементу объема DVi, а ri– — плотность заряда в DVi в момент ti=(t-ri/с). Поскольку все ri>>а, удобно будет выбрать все DVi в виде тонких прямо­угольных ломтиков, перпендикулярных к r12 (фиг. 21.6).

Предположим, что мы начали с того, что взяли элементы объема DVi некоторой толщины w, много меньшей а.

Отдельные элементы объема будут выглядеть так, как по­казано на фиг. 21.7, а. Их нарисовано гораздо больше, чем нужно, чтобы закрыть весь заряд. А сам заряд не показан, и по весьма существенной причине. Где его нужно нарисовать? Ведь для каждого элемента объема DVi надо брать r в свой момент t~(t-r/с). Но раз заряд движется, то для каждого элемента объема DVi он окажется в другом месте!

Начнем, скажем, с элемента объема 1 на фиг. 21.7, а, выбранного так, чтобы в момент tl = (t-r1/с) «задняя» грань заряда пришлась на DVi (фиг, 21.7, б).

Фиг. 21.6, Элемент объема DVi, используемый для вычисления потенциалов.

Фиг. 21.7.

Интегрирование r(t-r'/c)dV для движущегося заряда.

Тогда, вычисляя r2DV2, нужно взять положение заряда в несколько более позд­нее время t2=(t- r2/c) и заряд к этому времени сместится в по­ложение, показанное на фиг. 21.7, в. Так же будет с DV3, DV4 и т. д. Вот теперь можно подсчитывать сумму.

Толщина каждого DVi– равна w, а объем wa2. Поэтому каж­дый элемент объема, накладывающийся на распределение заряда, содержит в себе заряд wa2r, где r — плотность заряда внутри куба (мы считаем ее однородной). Когда расстояние от заряда до точки (1) велико, то можно все ri в знаменателях по­ложить равными некоторому среднему значению, скажем, взятому с учетом запаздывания положению r' центра куба. Сумма (21.30) превращается в

где DVN—тот последний элемент DVi, который еще накла­дывается на распределение зарядов (см. фиг. 21.7, д). Сумма тем самым равна

Но ra3 — просто общий заряд q, a Nw—длина b, показанная на фиг. 21.7, д. Получается

(21.31)

А чему же равно b? Это длина куба зарядов, увеличенная на расстояние, пройденное зарядом за время от t1=(t-r1/с) до tN=(t—rN/с). Это расстояние, пройденное зарядом за время

А поскольку скорость заряда равна v, то пройденное рас­стояние равно vDt = vb/c. Но длина bсамо это расстояние плюс a:

Отсюда

Здесь, конечно, под v подразумевается скорость в «запазды­вающий» момент t' = (t-r'/с); это можно указать, записав [1—v/c]зап; тогда уравнение (21.23) для потенциала прини­мает вид

Это согласуется с тем, что было предположено в (21.29). Поя­вился поправочный множитель. Он появился потому, что в то время, как наш интеграл «проносится над зарядом», сам заряд движется. Когда заряд движется к точке (1), его вклад в ин­теграл увеличивается в bраз. Поэтому правильное значение интеграла равно q/r', умноженному на b/а, т.е. на 1/[1—v/c]зan.

Поделиться:
Популярные книги

Второй кощей

Билик Дмитрий Александрович
8. Бедовый
Фантастика:
юмористическое фэнтези
городское фэнтези
мистика
5.00
рейтинг книги
Второй кощей

Отвергнутая невеста генерала драконов

Лунёва Мария
5. Генералы драконов
Любовные романы:
любовно-фантастические романы
5.00
рейтинг книги
Отвергнутая невеста генерала драконов

Имя нам Легион. Том 17

Дорничев Дмитрий
17. Меж двух миров
Фантастика:
боевая фантастика
рпг
аниме
5.00
рейтинг книги
Имя нам Легион. Том 17

Барон Дубов 8

Карелин Сергей Витальевич
8. Его Дубейшество
Фантастика:
юмористическое фэнтези
аниме
сказочная фантастика
фэнтези
5.00
рейтинг книги
Барон Дубов 8

Наследник и новый Новосиб

Тарс Элиан
7. Десять Принцев Российской Империи
Фантастика:
городское фэнтези
попаданцы
аниме
5.00
рейтинг книги
Наследник и новый Новосиб

Изгой Проклятого Клана

Пламенев Владимир
1. Изгой
Фантастика:
попаданцы
аниме
фэнтези
5.00
рейтинг книги
Изгой Проклятого Клана

Отмороженный 8.0

Гарцевич Евгений Александрович
8. Отмороженный
Фантастика:
постапокалипсис
рпг
аниме
5.00
рейтинг книги
Отмороженный 8.0

Монстр из прошлого тысячелетия

Еслер Андрей
5. Соприкосновение миров
Фантастика:
попаданцы
аниме
фэнтези
5.00
рейтинг книги
Монстр из прошлого тысячелетия

Законник Российской Империи. Том 2

Ткачев Андрей Юрьевич
2. Словом и делом
Фантастика:
городское фэнтези
альтернативная история
аниме
дорама
6.40
рейтинг книги
Законник Российской Империи. Том 2

Князь

Шмаков Алексей Семенович
5. Светлая Тьма
Фантастика:
юмористическое фэнтези
городское фэнтези
аниме
сказочная фантастика
5.00
рейтинг книги
Князь

Око василиска

Кас Маркус
2. Артефактор
Фантастика:
городское фэнтези
попаданцы
аниме
5.00
рейтинг книги
Око василиска

Беглый

Шимохин Дмитрий
2. Подкидыш [Шимохин]
Приключения:
прочие приключения
5.00
рейтинг книги
Беглый

Ваше Сиятельство 6

Моури Эрли
6. Ваше Сиятельство
Фантастика:
попаданцы
аниме
5.00
рейтинг книги
Ваше Сиятельство 6

Вторая жизнь майора. Цикл

Сухинин Владимир Александрович
Вторая жизнь майора
Фантастика:
героическая фантастика
боевая фантастика
попаданцы
5.00
рейтинг книги
Вторая жизнь майора. Цикл