Чтение онлайн

на главную - закладки

Жанры

Региональное управление и территориальное планирование
Шрифт:

обеспечение целостности макросистемы;

совершенствование мезосреды (благоустройство территории для проживания населения, размещения производств, совершенствование инфраструктуры).

В территориальном аспекте регионы в целях управления их развитием могут быть классифицированы, исходя из двух вышеуказанных функций.

По выполнению функции обеспечения целостности макросистемы (система национального уровня – страна) критерий классификации – близость к центру («нулевому километру»)/к границе. В этой связи целесообразно выделять приграничные, нейтральные, центральные регионы.

По выполнению функции совершенствования

мезосреды (среды субнационального уровня – регионов, отраслей) целесообразно использовать критерий – наличие неиспользованного природного потенциала и ресурсов. В соответствии с этим критерием регионы могут быть классифицированы следующим образом: резервный, осваиваемый, освоенный.

В административном пространстве регион выполняет следующие функции:

установление формальных правил (разрабатываются и принимаются нормативные акты), направленных на регулирование социально-экономических процессов, обеспечивающих внутренние связи в регионе и движение по «открытым каналам» ресурсов и результатов производства (инвестиций, трудовых ресурсов, продукции, услуг и др.), и контроль за их исполнением;

создание условий для формирования эффективных неформальных правил;

оказание государственных услуг юридическим и физическим лицам, зарегистрированным на территории региона и за его пределами.

Критериальную базу для классификации регионов в административном пространстве целесообразно формировать исходя из полномочий органов власти и управления региона в соответствии со ст. 5 Конституции РФ, где субъекты РФ определены следующим образом: республика, край, область, город федерального значения, автономная область и автономный округ.

В экономическом пространстве регион выполняет следующие функции:

предложение – производство товаров для внутреннего потребления и для вывоза за его пределы. При этом реализуются и функции систем более высокого порядка. Например, производя продукцию в рамках доктрины продовольственной безопасности, регион участвует в реализации общегосударственной функции – обеспечение продовольственной безопасности страны. При производстве военно-технической продукции регион участвует в выполнении функции национальной безопасности. Степень развития данной функции определяет экономическое положение региона в макросреде;

участие в национальном разделении труда – предприятия региона формируют спрос на определенные товары, работы, услуги, произведенные внутри региона и за его пределами;

участие в международном разделении труда – движении факторов производства (трудовых ресурсов, капитала, земли, предпринимательских способностей), продукции, работ, услуг.

В соответствии с данными функциями классификацию регионов в экономическом пространстве целесообразно формировать следующим образом:

первый критерий (уровень экономического развития): развитые, развивающиеся, стагнирующие, отсталые;

второй критерий (отраслевая специализация): индустриальный, сельскохозяйственный, сырьевой, рекреационно-туристский, научно-исследовательский;

третий критерий (открытость экономики): производящий продукцию для внутреннего пользования, экспортоориентированный, импортозамещающий.

В процессе разработки механизма регионального управления по

уровню экономического развития целесообразно выделять четыре группы регионов:

развитые – имеют показатели экономического развития выше среднероссийского и стабильные (более 100 %) темпы роста по основным показателям за последние 3 года;

развивающиеся – имеют показатели ниже среднероссийских, но более высокие темпы роста за последние 3 года;

стагнирующие – имеют показатели и темпы роста ниже среднероссийских за последние 3 года;

кризисные – имеют наряду с низкими (ниже среднероссийского) показателями экономического развития отрицательную динамику (темпы роста менее 100 %) по показателям за последние 3 года.

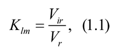
По второму критерию в рамках экономического пространства – «отраслевая специализация» – целесообразно использовать показатели локализации, душевого производства, специализации. Применительно к отраслям промышленности целесообразно использовать три коэффициента.

где: Klm – коэффициент локализации отдельных производств;

Vir – объем производства i– ой отрасли в регионе;

Vic – объем производства i– ой отрасли в РФ;

Vr – объем промышленного производства в регионе;

Vc – объем промышленного производства в РФ.

где: Крр – коэффициент душевого промышленного производства;

Vir, Vic – как в формуле 1.1;

Pr – численность населения региона;

Pc – численность населения РФ.

где: Ksp – коэффициент специализации региона на i-ой отрасли;

Поделиться:
Популярные книги

Варяг

Мазин Александр Владимирович
1. Варяг
Фантастика:
альтернативная история
9.10
рейтинг книги
Варяг

Метатель

Тарасов Ник
1. Метатель
Фантастика:
боевая фантастика
попаданцы
рпг
фэнтези
фантастика: прочее
постапокалипсис
5.00
рейтинг книги
Метатель

Убивать чтобы жить 3

Бор Жорж
3. УЧЖ
Фантастика:
героическая фантастика
боевая фантастика
рпг
5.00
рейтинг книги
Убивать чтобы жить 3

Черный Маг Императора 9

Герда Александр
9. Черный маг императора
Фантастика:
юмористическое фэнтези
попаданцы
аниме
5.00
рейтинг книги
Черный Маг Императора 9

Андер Арес

Грехов Тимофей
1. Андер Арес
Фантастика:
рпг
аниме
фэнтези
фантастика: прочее
5.00
рейтинг книги
Андер Арес

Идеальный мир для Лекаря 19

Сапфир Олег
19. Лекарь
Фантастика:
юмористическое фэнтези
аниме
5.00
рейтинг книги
Идеальный мир для Лекаря 19

Адвокат империи

Карелин Сергей Витальевич
1. Адвокат империи
Фантастика:
городское фэнтези
попаданцы
фэнтези
5.75
рейтинг книги
Адвокат империи

Идеальный мир для Лекаря 11

Сапфир Олег
11. Лекарь
Фантастика:
фэнтези
аниме
5.00
рейтинг книги
Идеальный мир для Лекаря 11

Неудержимый. Книга XVI

Боярский Андрей
16. Неудержимый
Фантастика:
фэнтези
попаданцы
аниме
5.00
рейтинг книги
Неудержимый. Книга XVI

Неофит

Листратов Валерий
3. Ушедший Род
Фантастика:
попаданцы
аниме
фэнтези
5.00
рейтинг книги
Неофит

Адвокат Империи 7

Карелин Сергей Витальевич
7. Адвокат империи
Фантастика:
городское фэнтези
попаданцы
альтернативная история
аниме
фантастика: прочее
5.00
рейтинг книги
Адвокат Империи 7

Отмороженный 13.0

Гарцевич Евгений Александрович
13. Отмороженный
Фантастика:
боевая фантастика
попаданцы
рпг
фантастика: прочее
фэнтези
5.00
рейтинг книги
Отмороженный 13.0

Цеховик. Книга 2. Движение к цели

Ромов Дмитрий
2. Цеховик
Фантастика:
попаданцы
альтернативная история
5.00
рейтинг книги
Цеховик. Книга 2. Движение к цели

Я до сих пор не князь. Книга XVI

Дрейк Сириус
16. Дорогой барон!
Фантастика:
юмористическое фэнтези
попаданцы
аниме
5.00
рейтинг книги
Я до сих пор не князь. Книга XVI