Чтение онлайн

на главную - закладки

Жанры

Залоговик. Все о банковских залогах от первого лица
Шрифт:

3. – «Оценка здания офисного типа».

В залог предложено 5-этажное здание офисного назначения. Класс здания «В». Земельный участок на праве собственности. Залоговик оценил объект сравнительным подходом.

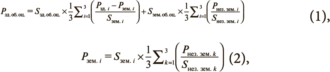
Применяя сравнительный подход, специалист подобрал три аналога, при этом учел класс объекта оценки, функциональный профиль здания и район месторасположения. Для оценки земли под зданием подобраны незастроенные земельные участки со сходным месторасположением и аналогичной категорией земель. Стоимость объекта оценки рассчитана как:

где Pзд.

об. оц. – стоимость здания – объекта оценки, руб.;

Sзд. об. оц. – площадь здания – объекта оценки, кв. м;

Pзд. i – стоимость здания-аналога, руб.;

Pзем. i – стоимость земельного участка под зданием-аналогом, руб.;

Sзд. i – площадь здания-аналога, кв. м;

Sзем. об. оц. – площадь здания – объекта оценки, сот.;

Pнез. зем. k – стоимость незастроенного земельного участка – аналога, руб.;

Sнез. зем. k – площадь незастроенного земельного участка – аналога, сот.;

Sзем. i – площадь земельного участка под зданием-аналогом, сот.

Перейдем к анализу допущенных ошибок. База оценки, то есть стоимости зданий-аналогов, до момента их корректировки была завышена. Причина в том, что специалист, подобрав три аналога, не провел анализ цен на рынке. Найденные аналоги оказались в верхнем ценовом диапазоне.

Вторая ошибка произошла при позиционировании класса оцениваемого здания. Мнение о классе объекта оценки было построено специалистом на основании качества отделки входной группы, состояния первого и последнего этажа. Детализация проекта выявила, что остальные этажи соответствовали по качеству отделки классу «С». Для оценки площади этих этажей требовалось подобрать дополнительные аналоги класса «С». Технические помещения для целей оценки следовало распределить пропорционально полезной площади помещений класса «B» и «С».

Резюме. Отсутствие анализа рынка объекта оценки и учета его индивидуальных особенностей, выявляемых залоговиком в ходе всего цикла залоговой экспертизы, способны превратить методологический выверенный расчет в фикцию.

1.3.4. Составляющие ликвидности предмета залога

Разговор двух кредитчиков:

– Слушай, с этими залоговиками невозможно работать. У них все имущество – неликвид.

– Да нет, есть у них ликвид. Вот то, что можно руками оторвать и около метро продать, – это ликвид.

Термин «ликвидность» в отношении предмета залога характеризует возможность и скорость реализации имущества в случае обращения взыскания. Проблемной зоной в заключениях залоговиков является категоризация ликвидности [41] и объяснение причин присвоенной категории. Обобщая практику работы, можно сформулировать следующие составляющие ликвидности:

41

В общем случае приводят три категории ликвидности: среднюю, удовлетворительную и малоудовлетворительную. Срок реализации залога в двух первых категориях может быть в пределах 180 дней, в третьей категории превышает 180 дней.

• емкость рынка, «типичность» сделки, время реализации;

• наличие административных барьеров;

• функциональные особенности и ограничения;

• социальная значимость

обеспечения.

Для простоты восприятия приведу практические примеры составляющих «ликвидности».

Емкость рынка, «типичность» сделки

Исследуется соответствие объема закладываемого имущества условиям типовых сделок на рынке. Залоговик изучает готовность локального рынка «поглотить» объем имущества, предлагаемого в залог. Выясняется временной ресурс, необходимый для реализации рассматриваемого объема имущества на рыночных условиях.

Пример

1. В Томском филиале банка «Т» в залог предложена водка. Что может быть ликвиднее бутылки водки в Сибири? Ничего. Так же думал залоговик, оформляя договор залога. При обращении взыскания прояснился объем залога. Реализовать потребовалось товарный состав водки. Такой объем алкоголя город не мог выпить за полгода, даже если бы употреблять спиртное стали все жители города, включая младенцев. Региональная акцизная марка и локальный торговый бренд не позволяли продать спиртное в другом регионе.

Резюме. Ликвидность бутылки водки не равна ликвидности товарного состава с водкой, ограниченной региональным акцизом и торговой маркой.

2. В банке «O» рассматривался залог главного производственного цеха ОАО «Промтрактор». Предприятие входит в четверку мировых лидеров по производству бульдозерной техники. Площадь цеха превышала несколько десятков тысяч кв. м. Рассчитывая рыночную стоимость цеха, региональный залоговик применил сравнительный подход. Проверка стоимости в головном офисе выявила завышение в шесть раз. Оказалось, что залоговик подбирал аналоги, доступные на рынке, то есть здания складов с площадью несколько сотен кв. м. Определить стоимость цеха удалось после консультации с Минимуществом Республики Чувашия.

Резюме. Некорректная оценка соответствия оцениваемого объекта типовым лотам на рынке повлияла как на категорию ликвидности, так и на стоимость объекта залога.

Наличие административных барьеров

Сценарий работы с источником информации о залоге предусматривает анализ степени влияния государства на рынок объекта залога (федеральный, региональный, муниципальный уровень). Проверяется необходимость наличия лицензий, спецразрешений, уплаты акцизов/сборов и иных платежей при реализации предлагаемого обеспечения. Ограничением ликвидности может являться необходимость постановки имущества на учет в госорганах, прохождение сертификации.

Пример

1. Крупная торговая сеть обратилась за кредитным продуктом в банк. В качестве залога предложено оборудование нескольких сотен кассовых узлов. Оборудование импортное, новое. Документы основания права собственности, в том числе подтверждающие оплату, в наличии. На первый взгляд – беспроблемный залог.

Залоговая экспертиза выявила особенность оборота данного вида имущества на рынке. При совершении операций купли-продажи с оборудованием требовалось снятие с налогового учета, фискализация, постановка на налоговый учет. Принимая во внимание необходимость обслуживания в «профильных организациях», периодическую поломку блоков ЭКЗЛ [42] и термопринтеров, вторичный рынок практически отсутствовал. Проще купить новый автомат.

Резюме. Оценка залога без анализа ликвидности может привести к неверному определению стоимости. В случае обращения взыскания банк вынужден был бы продавать кассовое оборудование по демпинговым ценам.

2. Классическим примером административных барьеров является имущество акцизной группы: нефтепродукты, табак, спиртосодержащие продукты.

42

Блок ЭКЗЛ – блок памяти с защищенной электронной контрольной лентой. Предназначен для фиксации в памяти кассовой машины денежных сумм.

Поделиться:
Популярные книги

Дареная истинная. Хозяйка лавки «С огоньком»

Дари Адриана
3. Драконы Эльвариама
Фантастика:
попаданцы
сказочная фантастика
фэнтези
5.00
рейтинг книги
Дареная истинная. Хозяйка лавки «С огоньком»

Эволюционер из трущоб. Том 9

Панарин Антон
9. Эволюционер из трущоб
Фантастика:
попаданцы
аниме
фэнтези
фантастика: прочее
5.00
рейтинг книги
Эволюционер из трущоб. Том 9

Изгой

Майерс Александр
2. Династия
Фантастика:
фэнтези
попаданцы
рпг
аниме
5.00
рейтинг книги
Изгой

Тайные поручения

Билик Дмитрий Александрович
6. Бедовый
Фантастика:
юмористическое фэнтези
городское фэнтези
мистика
5.00
рейтинг книги
Тайные поручения

Тепла хватит на всех

Котов Сергей
1. Миры Пентакля
Фантастика:
боевая фантастика
космическая фантастика
5.00
рейтинг книги
Тепла хватит на всех

Неудержимый. Книга XII

Боярский Андрей
12. Неудержимый
Фантастика:
фэнтези
попаданцы
аниме
5.00
рейтинг книги
Неудержимый. Книга XII

Теневой путь. Шаг в тень

Мазуров Дмитрий
1. Теневой путь
Фантастика:
фэнтези
6.71
рейтинг книги
Теневой путь. Шаг в тень

Ваше Сиятельство 4т

Моури Эрли
4. Ваше Сиятельство
Любовные романы:
эро литература
5.00
рейтинг книги
Ваше Сиятельство 4т

Гардемарин Ее Величества. Инкарнация

Уленгов Юрий
1. Гардемарин ее величества
Фантастика:
городское фэнтези
попаданцы
альтернативная история
аниме
фантастика: прочее
5.00
рейтинг книги
Гардемарин Ее Величества. Инкарнация

Я Гордый часть 7

Машуков Тимур
7. Стальные яйца
Фантастика:
попаданцы
аниме
фэнтези
5.00
рейтинг книги
Я Гордый часть 7

Мастер 11

Чащин Валерий
11. Мастер
Фантастика:
боевая фантастика
попаданцы
технофэнтези
аниме
фэнтези
5.00
рейтинг книги
Мастер 11

Мастер...

Чащин Валерий
1. Мастер
Фантастика:
героическая фантастика
попаданцы
аниме
6.50
рейтинг книги
Мастер...

Кодекс Охотника. Книга XII

Винокуров Юрий
12. Кодекс Охотника
Фантастика:
боевая фантастика
городское фэнтези
аниме
7.50
рейтинг книги
Кодекс Охотника. Книга XII

Виконт. Книга 2. Обретение силы

Юллем Евгений
2. Псевдоним `Испанец`
Фантастика:
боевая фантастика
попаданцы
рпг
7.10
рейтинг книги
Виконт. Книга 2. Обретение силы